CO2 verdünnt die Atmosphäre und verursacht die Erwärmung durch die Sonne, erklärte CDU-Politiker Manuel Hagel Schulkindern.
Er bekam eine „6“.
Der süddeutsche Bundesstaat Baden-Württemberg hält am heute am Sonntag, dem 8. März, Landtagswahlen ab, und CDU-Kandidat und Spitzenkandidat für den Posten des Ministerpräsidenten Manuel Hagel (37) machte kürzlich im Rahmen einer ARD-Fernsehkampagne Halt an einer Schule.
Der Auftritt hätte für Hagel nicht schlechter laufen können, da er seitdem zum Ziel erheblichen öffentlichen Spotts und Kritik geworden ist.
Die Blamage: Hagel versuchte, einer Klasse von Grundschulkindern – im nationalen Fernsehen – wie es nannte, den Treibhaus-gas-effekt zu erklären, zeigte dem Publikum jedoch letztendlich, dass er von diesem Thema überhaupt keine Ahnung hatte.
Während er vor einem Monitor stand, erklärte Hagel den zuschauenden Schülern, dass der Treibhaus-gas- effekt wie folgt funktioniert:
Zwischen der Erde und der Sonne befindet sich die Atmosphäre. Und je dünner diese wird, desto heißer wird die Sonne. Der Grund dafür sind CO2-Emissionen und und und. Und das ist der Treibhauseffekt.
Das Beste daran ist, dass das was er hätte sagen sollen wissenschaftlich ebenso Blödsinn ist wie das was er gesagt hat. https://t.co/qkvi6gRkrJ
— Dr. Markus Krall (@Markus_Krall) March 6, 2026
Verwirrter Kandidat
Wissenschaftliche Kritiker und Nutzer sozialer Medien wiesen schnell darauf hin, dass der Treibhauseffekt tatsächlich durch Gase wie Wasserdampf, CO2 und Methan verursacht wird, die Wärme in der Atmosphäre speichern, und nicht dadurch, dass die Atmosphäre dünner und die Sonne heißer wird.
Selbst die Lehrerin schien nach Hagels Erklärung verblüfft zu sein, schüttelte den Kopf und sagte sarkastisch: „Wunderbar. Bin beeindruckt.“
Es ist nicht sicher, ob Hagel den Treibhauseffekt mit dem Ozonloch und anderen wissenschaftlichen Phänomenen verwechselt hat. Eines ist jedoch sicher: Er ist sehr verwirrt über dieses Thema.
Der Vorfall erregte besonders viel Aufmerksamkeit, weil der Kandidat Hagel als Autoritätsperson auftrat, die Kinder unterrichtete, und die Tatsache, dass er ihnen falsche Informationen vermittelte und nicht wusste, wovon er sprach, ist besonders peinlich. Er ist die Person, die eines der größten Bundesländer Deutschlands, die Heimat von Mercedes Benz, führen soll?
Übersetzt von Christian Freuer für das EIKE















Liebe über 500 Komemntarschreiber.
Unsere Gruppe interssiert sich nicht für irgendwelche Herleitungen und physikalsiches Gesabbel, ob es den Treibhauseffekt gibt oder nicht. Wesentlich ist, er kann in Versuchen in der behaupteten Höhe nicht nachgewiesen werden, und er spielt auch draußen vor der Tür keine Rolle. Nirgendwo ist ein CO2-Signal, CO2 als Temperaturregler erkennbar.
Somit ist die Frage wie kommen wir an solche Politiker ran – und das sind fast alle- die halt glauben, dass CO2 der entscheidende Temperaturregler ist, die Sache aber überhaupt nicht verstehen und auch nicht interessiert sind. Solche Leute kann man oft mit einfachen Argumenten zum Nachdenken bringen.
Einfache Argumente, um die Öffentlichkeit zu überzeugen, dass der CO2-Klimawandel eine Lüge ist. Da werden viel zu wenige genannt und deshalb kann sich dieses Geschäftsmodell mit bezahlten Voodoo-Wissenschaftlern auch solange halten.
Wer fühlt sich berufen mal ein paar Vorschläge zu machen oder aus seinem Umfeld von erfolgreichen Gesprächen berichten?
Admin,
Sie können hier dichtmachen. Die Treibhauseffektleugner und Bildungsverweigerer hier sind völlig aufgelöst und bekommen nur noch inhaltsloses Gesabbel und persönliche Angriffe hin oder mäkeln an Tippfehlern rum.
Alles Zeichen, dass diese sich in einer emotionalen Stresssituation befinden (Übersprungverhalten).
Oder Confirmationbias …..
Den Tipp bekommen meine Enkel, um ihre Schulnoten zu verbessern, indem sie gegen den Lehrer argumentieren, er litte unter „confimation bias“, wenn er immer nach demselben Falsch/Richtig bewertet.
Sind sie gestresst?
Nein, nur intellektuell unterfordert
Ihr Leben gibt also nichts her, und sie suchen hier etwas was sie fordert?
Irgend wie denke ich, haben sie es gefunden, sonst wären sie schon lange weg.
Herr Heinemann,
warum schlagen Sie so mit den Flügeln?
Weil Ihnen nichts gelingt?
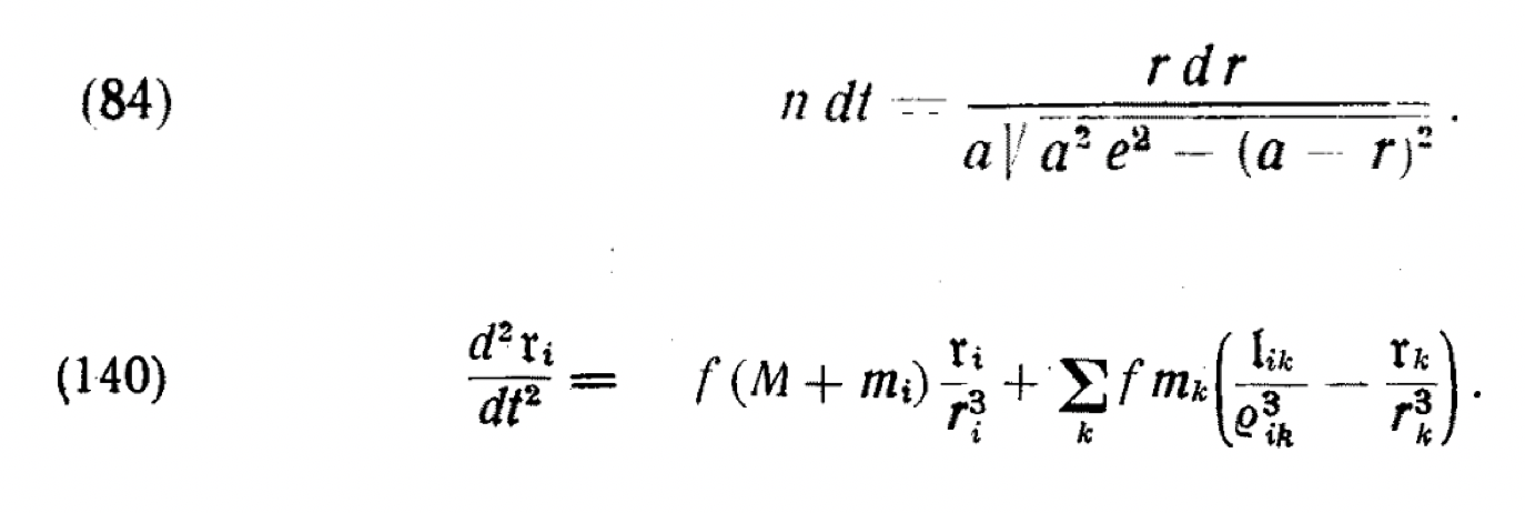
Milankovic hat offensichtlich den Treibhauseffekt bei seinen Berechnungen berücksichtigt. Hier steht‘s auf Seite 451 seines „Kanon der Erdbestrahlung“: https://ibb.co/jP6W0BVJ
Danke an und Pech für Herrn Portius für diesen link zu Milankovics Arbeit.
Die von mir gesuchten (richtigen) Formeln (84) und (140) habe ich übrigens inzwischen auch in dieser Arbeit gefunden. Die Formeln von Milankovic sind richtig. Portius irrt.
Deine Formeln kannst du dir in den Hintern stecken. Die Huronische Eiszeit vor 2,4 Mrd. Jahre fand bei etwa 10% CO2 (100.000 ppm) statt. Nach deiner albernen Strahlenkasperei hätte die Erde glühen müssen, ist aber zugefroren.
Die Milankovic Zyklen beschreiben relativ kurze und geringfügige Schwankungen des Klimas im letzten Wimpernschlag der Erdgeschichte, für die gravierende langfristige Schwankungen bei gleichmäßiger Strahlung und identischen CO2 Wert gibt es nicht den Hauch einer Erklärung.
Man muss nur alles was man nicht weiß abstreiten und ein primitives Bild, vom Niveau her „die Erde ist eine Scheibe “ hochhalten….
Erbärmlich!
Herr Georgiev
Sie sind mit der Situation emotional überfordert. Machen Sie mal Pause.
Sie verstehen davon nichts. Die Klimamodelle für die Erdvergangenheit funktionieren für den Strahlungstransfer genauso wie die fürs heutige Klima.
Da gebildete Menschen wissen, dass das Klima von mehreren Faktoren abhängt (gerade Milankovic hat ja den Einfluß der Erdbahnparameter quantifiziert), ist Ihr Argument, dass die Eiszeit dem CO2-Einfluß widerspräche, logisch nicht schlüssig.
Auch fürs DDR Abi hätte Ihre heutige Denke nicht ausgereicht. Sie sind offenbar seitdem intellektuell stark degeneriert.
Heini, über die Erdgeschichte weißt du exakt NICHTS, ansonsten würdest du nicht Eike zumüllen. Du kapierst ja nicht einmal was Erdvergangenheit ist, paar Tausend Jahre zurück ist erdgechichtlich Gegenwart, es geht um hunderte Millionen Jahre. Darüber gibt es und kann es keine Klimamodelle geben, das ist Spielerei.
Und wenn bei 10% CO2 Erde zufriert, bei den gleichen 10% wieder auftaut, das Gleiche bei 5%, 1%, 0,5% usw. passiert ist, dann kann man sich über Modelle, die eine signifikante Erwärmung durch 0,04% „berechnen“, einfach nur totlachen.
Der einzige Grund für der Klimawandel ist, dass ohne ihn du und deinesgleichen arbeiten gehen müsstet, so spielt ihr am Computer und tut wichtig. Bequem, aber Null Nutzen. Dass ihr mit aller Macht den Status halten wollt ist verständlich. Die Diskussion hier beenden ist nicht verkehrt, aber aus einem ganz anderen Grund.
Glückwunsch! Wo irre ich mich genau?
Was genau hat die Tropopause mit dem GHE zu tun, und was glauben Sie meint Milankovic mit seine letzten Satz in Kapitel XVII mit dem Titel „Zusammenhang zwischen Einstrahlung und Temperatur im Falle eines stationären Bestrahlungszustandes“
„Den Einfluss, den der Wasserdampf bzw. die Kohlensäure auf die ,Absorption der Erdausstrahlung ausüben, haben L. d e Ma r c h i 2) bzw. A r r h e n i u s 3) zur Grundlage ihrer Eiszeitentheorien gemacht. Ich habe diese beiden Theorien im §60 meiner ,,Theorie mathematique“ besprochen und die Gründe ihrer Unzulänglichkeit klargelegt.“
Dann folgt Kapitel XVIII, „Zusammenhang zwischen Einstrahlung und Temperatur im Falle einer variablen Bestrahlung“, auf Seite 463 steht dann:
Kann es sein dass Sie genau wie Müller ein massives Problem damit haben längere Texte zu erfassen und sinnvoll zu ordnen?
P.S.: Da die Formeln Ihrer kritischen Prüfung und ausserordentlichen fachlichen „Expertise“ nach korrekt sind, wie erklären Sie dass es 1941 ~15°C warm war und es 2026 auch ~15°C warm ist, obwohl die CO2 Konzentration heute höher ist als 1941?
Das steht doch im Text. Die Tropopausenhöhe ergibt sich doch aus dem vertikalen Verlauf der GHGs.
Welcher Verlauf soll das sein? 400 ppm oben 400 ppm unten?
Mit dem Zeichen ~15°C meinen Sie „ungefähr“.
Wo steht, dass die Fehlerbalken der beiden Temperaturenangaben so klein sind, dass die beiden Werte von 1941 und 2026 als zu unverändert zu bewerten wären, um den erwarteten CO2 -Effekt von ca. 1-2 K zu zeigen (ist einfache Fehlerbetrachtung, die jeder Naturwissenschaftler/Ingenieur oder Oberschüler/Techniker lernt)?
Wer das nicht kann, ist zu dumm, mit Zahlen korrekt umzugehen. Haben Sie einen Schulabschluß und eine Ausbildung?
Milankovic berechnet eine solare SAT von 15.018 bzw. 15.033°C in 1941, 2026 sind es 15.25°C – und nun schwurbeln Sie Fehlerbalken von 1-2K herbei die dann ganz klar eine Erwärmung durch CO2 zeigen? Jetzt wirds abenteurlich…
Erläutern Sie dann mal warum Arrhenius 1896 mit 15°C gearbeitet hat, oder warum Ekholm in 1901 von beobachteten 15.1°C berichtet, oder Hann der 1906 von 15°C schreibt, mehrfach.
Soso, die Tropopause gibt es wegen den GHGs in der Troposphäre? So früh am morgen und Sie sind schon betrunken; oder haben Sie mal wieder Ihre Medikamnte nicht genommen? Oder schnüffeln Sie heimlich CO2 am Auspuff Ihres PKW? Warum gibt es keine Tropopause auf der Venus, sind immerhin ~96% CO2 dort?
Nein Heinemann, lesen Sie nochmal was in Kapitel XVIII und in dem von mir gezeigten Text als Schlussfolgerung des in dem Kapitel geschriebenen steht. Haben Sie überhaupt schon einmal ein Buch gelesen?
Man kann die Verzweiflung des Alarmisten förmlich riechen.
Fazit: GHE-Apologeten können nicht lesen und halluzinieren Dinge herbei. Fehlt eigentlich nur noch Greta welche bekanntlich sehen kann wie CO2 die Erde zum glühen bringt. Denen ist nicht mehr zu helfen. LMAO
Und auf solche Leute vertrauen unsere Politiker, Schwurbler und Scharlatane.
Marcus Portius 16. März 2026 16:28
Marcus Portius 16. März 2026 15:59
Kann das sein, dass Sie Ihre Aktionen auf mich projizieren?
Nachdem Sie diese Behautung mehrfach aufgestellt hatten, schrieb ich am 5. März 2026 10:45: „Ich habe Ihnen in fast jedem Kommentar bestätigt, dass Wärme von warm nach kalt fliesst, auch in dem Kommentar, auf den Sie gerade geantwortet haben: ‚Auch bei Planck fliesst Wärme von warm nach kalt‘. Sie ziehen sich immer auf Wärme zurück und behaupten, ich würde da was anders sehen. Ich weiss nicht, ob das am Nichtverstehen liegt, oder ob Sie da absichtlich was falsches behaupten.“
Also würde ich jetzt das Resümee ziehen, dass Sie ansichtlich etwas falsches behaupten, wahrscheinlich mit der Intention, die Sie mir unterstellen …
Auch das ist genau das, was Sie hier die ganze Zeit tun. Sie ignoreiren, was Milankovitch zur Energieflussbilanz der Erdoberfläche schreibt, was er zur Transmission der Atmosphäre schreibt, … Sie fokussieren sich auf eine Textstelle, ohne die Zusammenhänge, die Herleitung zu berücksichtigen …
Ja, blablabla, nur darum geht es nicht und das habe ich bereits mehrfach mit Ihnen durchgekaspert. Es geht einzig und allein darum ob dem warmen Körper vom kalten Körper Wärme hinzugefügt wird, also ob der warme die Wärme(starhlung) des kälteren absorbiert. Wie man im Experiment glasklar erkennen kann ist dies NICHT der Fall.
Das haben Sie geschrieben, hier am 9. März 2026 18:24: „Ich wollte lediglich darauf hinweisen, dass auch bei Clausius der kältere Körper dem wärmeren Wärmestrahlung zustrahlt und diese auch vom wärmeren Körper absorbiert wird …“
Schon dreist wie Sie hier rumlügen und mir Unwahrheiten unterstellen. Ein dreister Scharlatan und lausiger Winkeladvokat halt.
Machen Sie sich nicht lächerlich. Sie ignorieren Kapitel XVIII, wieder lügen Sie, immer nach dem selben Muster; müssen Sie verzweifelt sein…
Marcus Portius 16. März 2026 19:18
Mir schon. Wenn Sie wiederholt behaupten, ich würde sagen, „dass ein kälterer Körper einem wärmeren Körper Wärme hinzufügt„, dann ist das einfach eine absichtliche, falsche Behauptung.
Wenn Sie selber schon keinen Unterschied zwischen Wärme und Wärmestrahlung sehen, können Sie dann wenigstens berücksichtigen, dass alle außer Ihnen da einen Unterschied machen? Dass Wärmestrahlung unabhängig von der Temperatur der Quelle absorbiert wird, steht bei Planck explizit (auf Frequenzen, auf denen emittiert wird, wird auch absorbiert) und bei Clausius implizit („gleichzeitig stattfindenden doppelten Wärmeaustausches“).
Ich warte ganz entspannt darauf, dass Sie uns erklären, wie die 15°C bei Milankovitch entstehen.
Leon Schmidt 9. März 2026 18:24: „Ich wollte lediglich darauf hinweisen, dass auch bei Clausius der kältere Körper dem wärmeren Wärmestrahlung zustrahlt und diese auch vom wärmeren Körper absorbiert wird
Wollen Sie etwa behaupten dass der warme Körper die Strahlen des kälteren absorbiert, diesem aber keine Wärme hinzugefügt wird?
Sie haben das Buch vorliegen, da brauche ich nichts weiter zu erklären, zumal ich Ihnen den relevanten Teil mehrfach gezeigt habe. Wenn Sie nicht begreifen können was in Kapitel XVII steht und was der Unterschied zum folgenden Kapitel XVIII ist, dann kann (und will) ich Ihnen auch nicht weiterhelfen, dafür ist mir meine Zeit dann doch zu kostbar, und veralbern lasse ich mich von Ihnen schonmal garnicht. Sie sind, wie bereits erwähnt ein Clown und ein Troll mit dem Textverständnis eines Klippschülers.
Marcus Portius 17. März 2026 16:35
Das versuchen die verschiedensten Leute (auch andere als ich) Ihnen seit geraumer Zeit klar zu machen, z.B. vorgestern erst Herr Steinmetz. Wärme und Wärmestrahlung sind nicht das gleiche.
Wenn sie das jetzt verstehen würden, wäre das ein riesen Fortschritt.
Was glauben Sie passiert wenn man in den Fokus des linken Spiegels in Pictet’s Experiment einen wärmeren Körper platziert?
Marcus Portius 17. März 2026 22:24
Eine Frage, die bereits in dem von Ihnen verlinkten Artikel zu Pictet`s Experiment beantwortet wird und sie wurde auch in den diversen Diskussionen schon oft erklärt.
Wenn Sie in Pictet’s Experiment einen
Spannender wäre, wenn Sie verschieden kalte Körper vergleichen würden, z.B. Eiswürfel und Trockeneis. Die sich einstellende Temperatur wäre in beiden Fällen niedriger als vorher, mit Trockeneis niedriger als mit Eiswürfeln. Einziger Unterschied: die vom Eiswürfel/Trockeneis abgegebene Wärmestrahlung
Bleiben wir erstmal bei meiner Frage: „Was glauben Sie passiert wenn man in den Fokus des linken Spiegels in Pictet’s Experiment einen wärmeren Körper platziert?“
Dem Thermometer wird also Energie über Strahlung, also Wärme zugeführt, die Strahlung wird absorbiert, die Temperatur steigt. Wärme ist also etwas positives und wenn diese durch Strahlung übertragene Energie von einem kälteren Körper absorbiert wird, dann wird der absorbierende Körper wärmer.
Nun das Eis, ein kälterer Körper emittiert auch Energie über Strahlung entsprechend seiner Temperatur. Wenn diese nun von dem wärmeren Körper absorbiert, also hinzugefügt würde, dann müsste die Temperatur steigen, insbeondere da das Thermometer von der es umgebenden Luft durch Wärmeleitung zu Beginn auf einer konstanten Temperatur gehalten wird. Während das Thermometer Wärme an das Eis überträgt und dabei abkühlt wird die wärmere Luft Wärme durch Leitung an das Thermometer übertragen.
Wie man unschwer erkennen kann fügt das Eis dem wärmeren Thermometer nichts hinzu, das Thermometer zeigt einen Temperaturrückgang an, d.h. Wärme wird durch Strahlung wegen der Temperaturdiffernz zum kälteren Objekt übertragen, aber es wird dem Thermometer nichts vom kälteren Körper hinzugefügt, so wie es Clausius mehrfach schreibt.
Was Sie machen ist anzunehmen dass alleine die absorbierte Strahlung des Körpers im Fokus die Temperatur des Thermometers bestimmt, das passt aber nicht zum Versuchsaufbau, was ich auch schon mehrfach erläutert habe.
Der Rest Ihres Kommentars ist mal wieder der übliche Zirkelschluss den Sie nicht erkennen können oder wollen – ich verstehe sehr gut was Sie da erzählen: Das ist Prevost, seine Theorie vom Strahlungsgleichgewicht mir der Sie, wohl weil Sie es nicht wissen, das Strahlungsgleichgewicht erklären, so wie es in dem Text von Evans&Popp gemacht wird.
Sie scheitern, so wie bei Milankovic, mal wieder daran einen Text in Gänze zu verstehen weil ihn nur sehr selektiv wahrzunehmen und Teile die Ihnen nicht in den Kram passen (wie Clausius‘ Kapitel XII oder Milankovic’s Kapitel XVIII) einfach ignoriern. Sattdessen reiten Sie ad nauseam auf einer Textstelle oder Teilen eines Kapitels herum und weigern sich den Rest zur Kenntnis zu nehmen.
Egal wie kalt der Körper ist, das Prinzip ist immer das Gleiche und das ist auch der Grund warum die sog. „reduzierte Abkühlung“ in Ihrem Mehr-Körper-Modell nicht stattfindet. Wenn das chemische Potenzial ≠0 ist wird Energie immer entlang dem Gradienten von hoher zu geringerer Energiedichte, von warm nach kalt fliessen, so wie ein Ball oder Wasser spontan immer bergab rollen bzw. fliessen.
Das sehen wir es: Im Temperaturgleichgewicht ist das chemische Potenzial =0, also findet gem. Definition KEIN Austausch statt, es fehlt der Gradient. Sie aber glauben das was Prevost angenommen hat, das ein permanenter Austausch stattfindet. Sie sollten sich mal mit seiner Theorie und warum diese heute obsolet ist auseinandersetzen und für welchen idealisierten Spezialfall diese Annahme noch gilt.
Es macht im Übrigen keinen Unterschied ob man nun von übertragener Wärme, Wärmestrahlung oder durch Strahlung übertagende Energie redet, ausser man will mit semantischen Spitzfindigkeiten vom Thema ablenken, was ja Ihre Spezialität ist. Es ändert nichts am Ergebnis, egal welches Wort man nutzt, weil es um das Prinzip geht.
Marcus Portius 18. März 2026 20:46
Das, was ich beschrieben habe, finden Sie heute in Physik-Lehrbüchern. Nur spricht man nicht mehr von Prevosts Caloricum-Teilchen, sondern von Photonen und der Dualität von Teilchen und Welle.
Können Sie eine Veröffentlichung/Lehrbuch/… präsentieren, dass Ihren postulierten Zusammenhang von chemischem Potential und Wärmetransport über Wärmestrahlung beschreibt? Chemisches Potential ist stoffgebunden, oder? Wie geht das im All und wie erreicht ein stoffgebundener Transport Lichtgeschwindigkeit?
Herr Schmidt,
ich sehe, dass Sie viel lesen.
Wann fangen Sie an, nachzudenken?
Mit dem Denken ist so eine Sache ……
Arno Kuck 19. März 2026 7:47
Im Gegensatz zu Ihnen lese ich die Dinge, zu denen ich mich äußere und versuche sie zu verstehen bevor ich mich äußere.
Der war gut. Führen Sie gerade ein Selbstgespräch, dass durch Ihre Finger in den Kommentar ging?
Und Sie glauben nur weil man Prevost’s materialle Energiepartikel durch immaterielle Energiepartikel ersetzt wird Prevost’s Theorie plötzlich wieder relevant?
Ist Ihnen denn bekannt wie das mit der Welle und den Teilchen in den Modellen gehandhabt wird?
Wer bin ich, Ihr Bibliothekar? Schon witzig, jeder Krethi und Plethi lernt heute den obsoleten Prevost, aber das chemische Potenzial und der elektrochemischer Gradient tauchen nicht in Ihren Büchern auf?
Das erklärt so einiges, institutionelle Verblödung. Da hat die DPG seit den 1970ern wohl ganze Arbeit geleistet.
Tja, Herr „Löwen-Schmidt“, DAS ist die Krux mit den Begrifflichkeiten, die bei (selbsternannten) „Experten“ oder anderem (selbtsdefinierten) „Fachpersonal“ und Klimarealisten offensichtlich zu ständigen Mißverständnissen führt ….
Ulrich Tengler 18. März 2026 0:13
Ich kann nur hoffen, dass diese Verallgemeinerung auf „Klimarealisten“ falsch ist. Es gibt z.B. Mißverständnisse bei dem Begriff Wärme (Herr Puschner verwechselt innere Energie und Wärme, Georgiev weiss anscheinend gar nicht, was Wärme ist, …). Das sind Begriffe, die im Abi (das Sie so hoch einschätzen) gelehrt wurden (Siehe Physik Buch Klasse 11).
Bei Herrn Portius kommt hinzu, dass diese Dinge in den Texten stehen, auf die er sich bezieht. D.h. er liest die entweder nicht richtig, oder versteht sie nicht. Konkret zu der Aussage steht in dem Text, auf den sich Herr Portius hier bezieht:
Das ist genau das, wonach Herr Portius jetzt verwundert fragt.
Herr Schmidt, sie freuen sich doch immer wenn ich sie zitiere!
Warum greifen sie nicht selber auf dieses Zitat zurueck?
Werner Schulz 18. März 2026 11:55
Weil es hier gerade um den Text von Milankowitch ging und ich daher Bezug darauf nehme, was er geschrieben hat.
Aber Sie können gerne dieses Zitat nehmen und Herr Portius basierend darauf den Wärmefluss zwischen zwei Körpern erklären. Es passt auch gut zu seiner Frage „Wollen Sie etwa behaupten dass der warme Körper die Strahlen des kälteren absorbiert, diesem aber keine Wärme hinzugefügt wird?„
Er hat ihnen das entlockt! Seit dem haben sie mindestens zweimal den Namen geändert und mindestens ein Mitforist ist seit dem verschwunden.
Ich würde von ihnen wissen wollen, wie sie daraus konstruieren wollen, das die Gegenstrahlung eine Erwärmung verursacht.
Werner Schulz 18. März 2026 17:50
Das beschreibe ich Ihnen, nachdem Sie Herrn Portius davon überzeugt haben, dass das in dem Zitat stehende korrekt ist.
Sie meinen das Zitat: „das Gesammtresultat dieses gleichzeitig stattfindenden doppelten Wärmeaustausches besteht immer darin, dass der kältere Körper auf Kosten des wärmeren einen Zuwachs an Wärme erfährt.“?
Warum unterschlagen Sie einen Teil? Der ganze Satz lautet:
„Was ferner die in gewöhnlicher Weise stattfindende Wärmestrahlung anbetrifft, so ist es freilich bekannt, dass nicht nur der warme Körper dem kalten, sondern auch umgekehrt der kalte Körper dem warmen Wärme zustrahlt, aber das Gesamtresultat dieses gleichzeitig stattfindenden doppelten Wärmeaustausches besteht, wie man als erfahrungsgemäß feststehend ansehen kann, immer darin, dass der kältere Körper auf Kosten des wärmeren einen Zuwachs an Wärme erfährt.“
Beide Körper strahlen sich an, diesen Umstand nennt Clausius „gleichzeitig stattfindenden doppelten Wärmeaustausches“. Daraus machen Sie dann das der wärmere die Strahlung des kälteren absorbiert, und behaupten gleichzeitig diesem würde keine Wärme hinzugefügt, während der kältere auf Kosten des wärmeren Körpers wärmer wird, ihm also Wärme durch Strahlung hinzugefügt wird.
Erläutern Sie mal genau wie dieses absorbieren von Wärmestrahlung, aber nicht hinzufügen von Wärme genau gehen soll, das hat was Habeck’sches, oder DDR Vibes, wie überholen ohne aufzuholen.
Was Sie hier beschreiben ist dass „weniger warme Strahlung“, also im Vergleich kalte Strahlung absorbiert wird und der wärmere Körper dadurch kälter wird.
Marcus Portius 18. März 2026 23:37
Nein, ich meine das, was Herr Schulz gerade zitiert hat. Es ist ein Teil eines Kommentars, in dem Clausius zititert wird.
Ich würde das eher „dass nicht nur der warme Körper dem kalten, sondern auch umgekehrt der kalte Körper dem warmen Wärme zustrahlt,“ zuordnen.
Der Begriff Wärme wird heute anders verwendet, als ihn Clausius damals in diesem Text verwendet. Ich bleibe mal in der Begriffswelt von Clausius. Wenn Ihrer Meinung nach nur der kältere Körper die zugestrahlte „Wärme“ des wärmeren Körpers absorbiert, welchen anderen gleichzeitig stattfindenden Wärmeaustausch meint Clausius dann?
Aber Sie brauchen nicht befürchten, dass Herr Schulz versuchen wird, Ihnen das zu erklären
So wie er es geschrieben hat und ich es zitiert habe, beide Körper strahlen sich gegenseitig an. Sie ordnen das genau so zu wie ich es zitiert habe, wieso wollen Sie hier einen Widerspruch konstruieren?
wird die Strahlung des kalten Körpers NICHT vom warmen Körper absorbiert, so wie es im Experiment zu beobachten ist. Habe ich auch schon mehrfach geschrieben. Entweder Sie sind schwer von Begriff oder es ist wieder mal Ihr übliches sich dumm stellen.
Was kommt als nächstes, kauen wir den ganzen Kokolores nochmal von vorne durch?
Wieder habe Sie die Frage nicht beantwortet, also nochmal: Erläutern Sie mal genau wie dieses absorbieren von Wärmestrahlung, aber nicht hinzufügen von Wärme genau gehen soll. Ihnen ist bekannt dass es neben der Absorbtion noch andere Fälle gibt was mit Strahlung passieren kann?
Marcus Portius 19. März 2026 18:51
Schon mehrfach beantwortet. Wärmestrahlung ist nicht das gleiche wie Wärme. Ein Körper kann Wärmestrahlung absorbieren, und trotzdem kann Wärme von ihm wegfliessen: die Differenz zwischen dem, was er absorbiert und emittiert hat, so wie es Herr Schulz oben zitiert hat.
Oder wie Sie es im Lehrbuch finden:
, die Strahlungsleistung eines „schwarzen Körpers“ ist der Fläche A und der 4. Potenz der absoluten Temperatur T proportional (Gesetz von Stefan und Boltzman).
Die Proportionalitätskonstante ist σ = … Ein strahlender „schwarzer Körper“ mit der Temperatur
absorbiert aber gleichzeitig die von der Umgebung mit der Temperatur
auf ihn eingestrahlte Leistung
. So ist die effektiv abgestrahlte Leistung eines „schwarzen Körpers“
. Für einen grauen Körper ist
“
Physik für Ingenieure By Paul Dobrinski, Gunter Krakau, Anselm Vogel, Seite 216: „Die pro Zeit von einer Fläche A abgestrahlte Energie
Das
ist das, was heute unter Wärme verstanden wird bzw im Clausius Kontext was „der kältere Körper auf Kosten des wärmeren Körpers an Wärme gewonnen hat.“
Selten so einen sinnbefreiten Schwachsinn gelesen.
Ein strahlender „schwarzer Körper“ mit der Temperatur absorbiert aber gleichzeitig etc.
Sie glauben also dass die Formel von J. Stefan Q=T1^4 – T2^4 die absolute Menge an Wärme angibt die der kalte Körper T2 dem warmen Körper T1 durch Strahlung hinzufügt?
Marcus Portius 19. März 2026 22:02
Das ist nicht das eigentliche Stefan-Boltzmann-Gesetz, sondern die Anwendung auf zwei Körper, die Wärmestrahlung austauschen. Und Sie haben Sie unvollständig hingeschrieben, die Differenz zweier T^4-Werte kann offensichtlich keine Wärmemenge sein.
Ich „glaube“ das so, wie es da steht. Die Differenz zwischen dem, was der Körper mit der Temperatur T_1 emittiert und was er von der Strahlung des anderen Körpers mit der Temperatur T_2 absorbiert, ist die Energiemenge, die er effektiv abstrahlt. Wenn die Energie komplett zum anderen Körper geht, ist das die Wärme, die übertragen wird. In welche Richtung die Wärme fliesst, hängt von den Temperaturen ab, sind die gleich, fliesst zwar Strahlung in beide Richtungen, aber keine Wärme.
Einfache Erklärung: Wärme geht vom hohem Temperaturniveau zum niederen.
Werner Schulz 19. März 2026 18:55
Das hilft Herrn Portius nicht bei seiner Verwirrung bezüglich der Absorbtion von Wärmestrahlung. Darüber, dass Wärme vom hohem Temperaturniveau zum niederen fliesst besteht ja Einigkeit ,,,
Es hilft auch ihnen nicht zuzugeben, das die Gegenstrahlung eine Folge vom THE ist und nicht seine Ursache.
Sie koenne etwas beschreiben, das, laut dem von Ihnen gesagten, nicht moeglich ist?
Werner Schulz 19. März 2026 9:59
Das ist vielleicht laut Ihrer Interpreation des gesagten nicht möglich. Aber wie gesagt, das können wir diskutieren, nachdem Sie Herrn Portius das von Ihnen zitierte vermittelt haben und er das auch akzeptiert.
Alternativ können Sie mir auch die vor knapp einem Jahr diskutierte Kreditkarte ausstellen und ich zeigen Ihnen dann anhand meiner Abrechnungen den Anstieg des Standes meines Kontos – dem Äquivalent der inneren Energie in dem Beispiel …
Aber ich bin mir sicher, dass Sie niemanden finden werden, der diese Art Kreditkarte[1] ausstellt, da alle auf den ersten Blick sehen, dass dadurch die Ausgaben des Inhabers reduziert werden, er also weniger ausgibt und damit sein Vermögen zunimmt (unter der Annahme, dass sich das Einkaufsverhalten nicht ändert)
[1] 62% des getätigten Ausgaben werden dem Karteninhaber rückerstattet
Das Einkaufsverhalten ändert sich nicht, aber es wird billiger? Was genau soll der Einkauf sein?
Beim Leon fließt im Rhein (oder so ….) Wasser gleichzeitig bergauf und bergab, „netto“ mehr bergab ….. 😉
Na ja, Sie haben keine naturwissenschaftliche Ausbildung und sind unfähig, Milankovics Werte richtig zu lesen. Warum glauben Sie sonst, dass Milankovic die globale Mitteltemperatur von 1941 auf 3 Stellen hinter dem Komma genau angeben kann? Das bekommt man ja selbst heute nicht so genau hin.
Sie sind naiv und haben nicht verstanden, dass diese aus Milankovics Modell stammen.
Wenn Sie nun Milankovics 15 °C mit der empirisch ermittelten globalen Mitteltemperatur vergleichen, so sind Sie reichlich dilettantisch. Überlegen Sie, warum diese Herangehensweise nicht ausreichend ist.
Das sieht man am eigentlichen Wert 15 Grad C und 15 Grad C.
Oder wollen sie sagen, dass die globale Erwaermung nur in den Fehlerbalken stattfindet?
Milankovic erhält die ~15°C nur, indem er die Gegenstrahlung von Wasserdampf und CO2 mit berücksichtigt. Das steht im Widerspruch zu dem, was Sie vertreten. Also irren Sie sich in diesem Punkt.
Das ist unlogisch!
Seite 436: „tatsächlich ergeben die in der Tabelle XVIII mitgeteilten solaren Temperaturen eine für die ganze Erde berechnete mittlere Temperatur der untersten Luftschicht von 15,2°C, die sich von der beobachteten nur um 0,1° unterscheidet.“
Ich irre mich offensichtlich nicht da die Berechnung der solaren (das bedeutet ausschliesslich die einfallende Sonnenstrahlung) Temperatur mit der beobachteten Temperatur nahezu übereinstimmt. Wie Sie sehen hilft Ihre ganze Pöbelei nicht die Realität zu ändern.
Sie erweisen der Wissenschaft mit Ihrer Starrköpfigkeit und Unbelehrbarkeit einen Bärendienst, also machen Sie ruhig so weiter, Sie sind eine grössere Hilfe als es irgendein Buch je sein könnte. Wissen Sie wer Gilbert Plass war?
So früh schon so begeistert?
Wo genau irrt Herr Portius?
Was hat ihre Literaturrecherche wirklich ergeben?
Werner Schulz 16. März 2026 0:05
Darin, dass sich die 15°C allein aus der Sonne ohne Einfluss der Treibhausgase der Atmosphäre ergeben. Sie haben in der Diskussion zwei Stellen des Buches zitiert bekommen:
Beides Dinge, die Herr Portius immer gern ignoriert/als falsch darstellt/nur als Modell bezeichnet, das in der Realität nicht zu finden wäre/[insert random excuse here]/…
Da sie eh alles in Frage stellen, was Herrr Heinemann schreibt: Wie wäre es mit selbst lesen und dann an der DIskussion beteiligen?
Na Müller, mal wieder Probleme beim lesen und verstehen eines Textes? Ihre ganze erbärmliche Strategie besteht darin etwas zu behaupten das nicht dem entspricht was in der Litertaur geschrieben steht, Clausius, Planck, Milankovic, Sie behaupten frech immer genau das Gegenteil von dem was geschrieben steht. Und wenn das nicht reicht verdrehen Sie auch noch die Worte anderer, wie ein lausiger Winkeladvokat.
Na dann beweisen Sie mal dass der GHE nicht nur im Modell existiert! Auch hier stimmt die Literatur nicht mit Ihnen überein, aber das stört einen Troll bekanntlich nicht. Werden Sie eigentlich für die Lügen- und Märchengeschichten die Sie hier seit Jahren verbreiten bezahlt?
Das muessten sie zitieren. Ich sehe diese Behauptung nicht! Sie kreieren hier moeglicherweise einen Strohmann.
Was meinen sie was ich hier tue? Herr Heinemann widerspricht nicht nur Herrn Hess sondern auch noch sich selber. Vielleicht sollten sie an den richtigen Stellen Herrn Heinemann verbessern.
Werner Schulz 16. März 2026 16:29
Wie interpretieren Sie folgendes?
Herr Schulz schreibt weiter:
Keine Ahnung. Sie lesen jedenfalls anscheinend nicht das Buch, um das es gerade geht.
Nicht so hinterträchtig wie sie. Sie haben kein Zitat und was sie behaupten ist ihre Interpretation.
Kein Strahlender Treibhauseffekt heißt, das der Atmosphäreneffekt keine Strahlung als Erklärung braucht.
Werner Schulz 16. März 2026 20:30
Ich wollte wissen, wie Sie die Aussage verstehen. Erfahre ich das noch?
Die heutige Frage von Herrn Portius: „denken Sie die hier sog. „solare Temperatur“ schliesst Treibhausgase, insbesondere CO2, ein“ deckt sich mit meiner Interpretation „dass sich die 15°C allein aus der Sonne ohne Einfluss der Treibhausgase der Atmosphäre ergeben.„. Er hatte also anscheinend an meiner Interpretation seiner Aussagen nichts auszusetzen. Er ist da ja sonst nicht zimperlich …
Wo ist da der Unterschied zu meiner Aussage? Der „Einfluss der Treibhausgase“ ist doch gerade der Einfluss auf Strahlung …
Schulz:
Sie:
So wie wir Herr Schulz kennen, versucht er sich dem anbahnenden Wissenskonsens dadurch zu entziehen, dass er mit „Strahlenden Treibhauseffekt“ einen Treibhauseffekt mit SonnenSTRAHLUNG meint.
Sie meinen, die Erde wird von der Sonne erwärmt? Sie hat eine Geoide Form, dreht sich um eine zur Sonnenbahn geneigten Achse?
Und Nachts wird es kälter und tagsüber wärmer?
… und so weiter.
Der Wissenskonsens besteht in viel mehr Details und vor allem nicht alleine aus naivem Schulstoff, sondern wissenschaftlichen Erkenntnissen – besuchen Sie mal eine Unibibliothek
Ihren Begriff „strahlender Treibhauseffekt“ finden Sie dort allerdings nicht. Aber ich frage nicht nach einer Definition. Ich weiß, was Sie damit treiben wollen.
Was ist naiver Schulstoff? Nicht was man in der Unibibliothek findet?
Dann gibt es ihn vielleicht auch nicht, oder?
Herr Schulz
Didaktisch vereinfachte wissenschaftliche Tatsachen.
Doch, in der Didaktik-/Pädagogikecke.
Wer weiß, es hängt davon ab, wie Sie ihn definieren. Das Kind kann ja identisch sein und nur von Ihnen anderes genannt werden.
Sie können ja mal die genaue Definition vom Treibhauseffekt hier bringen. Genormt wenn es geht.
Dann kann ich ihnen sagen ob der Radiative Treibhauseffekt das gleiche Kind ist.
Gerne, nach Ihnen.
Sehen wir dann, ob Ihre Definition genormt genug ist, dass ich da nur „strahlend“ wegtun muss.
Ich denke nicht dass Müller das mit den Gasen in einem planetaren Gravitationsfeld verstehen wird; es ist übrigens vollkommen egal ob die Atmosphäre ohne GHGs eine uniforme Temperatur hätte, am Boden sind es so oder so 15°C/288K, idealisiert versteht sich.
Die Erde ist, im Durchschnitt, tatsächlich im thermischen, adiabatischen! Gleichgewicht (so wie es schon Schwarzschild festgestellt hat), goldig nicht wahr?
Herr Portius,
Ihre Behauptung hier belegt, dass Sie im Widerspruch zu Milankovics Arbeit stehen.
Schade das Herr Heineman das nicht Quantenmechanisch erklaeren oder widerlegen kann!
Heinemann will nur wieder mit seinne unqualifizierten Kommentaren rumprollen.
Warum sollte das Herr Schmidt machen, wenn alleine Sie Widersprüche sehen? Sie sind ein Witz. Wenn Sie etwas zu kritisieren haben, machen Sie den Mund auf und sagen Sie es klar und deutlich.
Glauben Sie etwa, ich merke Ihre Strategie hier nicht? Sie legen es nur darauf an, dutzende Wortwechsel zu provozieren, alleine nur mit dem Ziel der Ablenkung vom Thema, der Ergebnislosigkeit, Destruktion und Aufreibung an Belanglosigkeiten.
Wenn Sie mir so wie Sie sich hier aufführen in der Realität begegnen würden, würde ich Ihnen die Chance zur Ausprache Ihrer Bedenken geben, Ihnen dann eine deadline setzen und Sie von der Diskussion exkludieren (rauswerfen), wenn Sie nicht überzeugende Gründe anführen können, warum Sie nach Ablauf der deadline zu keinem sinnvollen Beitrag für die Diskussion kamen.
Sie würden einen sinnvollen Beitrag erkennen?
Sie erkennen ja nicht mal, ihre eigenen Widersprüche.
Dafür ist die vorherige Aussprache gedacht. Da kann ich mir ein Bild machen, ob vor mir ein Idiot, ein Einfaltspinsel, Irrer, Dummer oder (um diesen Fall abzuchecken, ist sie da) der seltene Fall eines potentiellen Genies steht
Ich nehme an Sie an, Sie heben auf die Benutzung des Singulurs in „Partikel“ ab. Aber dies ist mir zu blöd, überhaupt zu antworten. Denn der Zusammenhang erklärt widerspruchsfrei, wie ich ihn benutzt habe. Andere Kandidaten für Widersprüche existieren nicht.
Heinemann, auf welchem „Trip“ sind Sie?????
Läuterung in Spätform mit Arroganzkonstanz.
Späte Einsicht? Die Genauigkeit der Sprache gepaart mit Höflichkeit sollte auch die Sprache der Wissenschaft sein. Beherrschen sie diese?
Aber dies ist mir zu blöd, überhaupt zu antworten. Denn der Zusammenhang erklärt widerspruchsfrei, wie ich ihn benutzt habe. Andere Kandidaten für Widersprüche existieren nicht.
Leider war es dieser Satz hier:
Da hatten sie Partikel gesagt und nicht Ansammlung.
Waere eigentlich einfach zu korregieren, anstatt ihrer Reaktion. Der Widerspruch ist also ohne Korrektur weiterhin gegeben!
Herr Schulz,
Ich bedanke mich für Ihre überpedantische Korrektur, und dass Sie nun als Letzter hier zustimmen, dass kein Widerspruch vorliegt, sondern nur ein Rechtschreibfehler.
PS: leider finden sich in unserer Leistungsgesellschaft kaum noch adäquate Einsatzgebiete für die Art selbst- und nutzlose Pedanterie, wie Sie sie hier demonstrieren.
Für WAS halten SIE sich, Heinemann?
(Georgiev hätte an dieser Stelle berechtigterweise gefragt, ob Sie keinen Arzttermin bekommen haben …..)
Er ist hoffentlich in keiner Führungsrolle. Eine solche Organisation würde nicht funktional sein.
Aber er hätte sicher Spass mit mir!
Was kann ich dafür, dass ich Ihnen überlegen bin? Statt zu motzen, nutzen Sie das als Hilfe zur persönlichen Fortentwicklung und Wiedereingliederung.
Es ist schon schlimm, wenn ein „Füsigger-Würstchen“ seine Lage völlig überschätzt 😉 , aber mein Beileid haben Sie gewiß nicht … 😉
Wir sind alle in derselben Lage.
Der Punkt ist alleine, dass Faktenleugner und Bildungsverweigerer (in diesem Fall sich in Physik fortzubilden, die über ein Technikerniveaux hinausgeht) diese Lage falsch einschätzen.
Und da das schade um sie ist, helfe ich gerne.
WER hat SIE „weichgespült“ 😉 ???
Ich werde sie zitieren!
Werfen wir eine Blick in den Text – denken Sie die hier sog. „solare Temperatur“ schliesst Treibhausgase, insbesondere CO2, ein:
Marcus Portius 17. März 2026 1:09
Da geht es nicht darum, was ich oder Sie denken, sondern darum, wie diese Temperaturen von Milankovitch hergeleitet werden. Und das wird in dem Text vorher beschrieben. Ich gehe mal rückwärts:
Was ist Formel 107?
Was ist p_a und p_{a^{‚}}?
p_a ist der Transmissionskoeffizienz für die Sonnenstrahlung, Stelle finde ich gerade nicht. … S.418 (42) …
Welchen Wert haben p_a und p_{ a^{‚} }?
Die von Milankovitch bestimmten Temperaturen basieren also unter anderem
auf einem idealen schwarzen Körper (nur für den gilt
auf aus Beobachtungen abgeleiteten Transmissionskoeffizienten für Sonnenstrahlung und Abstrahlung der Erdoberfläche
Spätesten hier müßte doch auch Ihnen klar sein, dass – ich formuliere mal vorsichtig – die Berechnung von Milankovitch etwas einschliesst, dass zu einer Transmission < 1 für die Abtrahlung der Erdoberfläche führt, so wie es vorher in XVII beschrieben wird. Können wir uns darauf einigen?
Falls ja, was führt Ihrer Meinung nach dazu, wenn es nicht die von CO2, H2O, … sind?
Irgendwie verschwinden gegentlich die Aufzählungen und werden zu einem Textblock. Das sollte wie folgt heissen:
Die von Milankovitch bestimmten Temperaturen basieren also unter anderem
Spätesten hier müßte doch auch Ihnen klar sein, dass …
Herr Schmidt,
ich sehe Gleichungen, aber keine Ergebnisse.
Arno Kuck 17. März 2026 13:14
Wo kucken Sie denn hin?
Es steht doch genau da, wo die Ergebnisse zu finden sind, sowohl in dem Zitat von Herrn Portius (dem Screenshot aus dem Buch) als auch in dem von mir zitierten Text des Buches.
Herr Schmidt,
wichtiger als die Gleichungen sind die Ergebnisse. In Ihrem Text habe ich keine Ergebnisse gefunden.
Arno Kuck 18. März 2026 8:04
Dort stehen auch keine. Aber es steht da, wo Sie die Ergebnisse finden. Woran scheitert es?
Haben Sie Probleme mit dem Lesen und Verstehen?
Schmidt/Müller versucht hier mal wieder Nebelkerzen zu werfen und einen auf besonders schlau zu machen. Es ist sein übliches dummes Spiel um davon abzulenken dass er wie immer falsch liegt.
Er bekommt es nicht in seinen Kopf dass Milankovic in Kapitel XVII zwar das Strahlungsgleichgewichts-Modell bespricht, aber dieses eben nur den stationären Zustand beschreibt (aka flache Erde Modell); im folgenden Kapitel geht es dann mit der variablen Bestrahlung weiter und diese ergibt eine „effektive solare Temperatur“ des Erdbodens von ca. 15°C, womit die angenommenen -18°C der GHE Theorie als untauglich verworfen werden können, somit hat Milankovic bewiesen dass es keiner Gegenstrahlung bedarf und gleichzietig festgestellt dass die von der Sonne auf ~15°C erwärmte Oberfläche die unterste Luftschicht erwärmt.
Mal ganz abgesehen von der Tatsache dass es 1941 wohl ~15°C warm gewesen ist, somit ist die Theorie hier sogar doppelt widerlegt. Kein Wunder dass Müller und Heinemann ausflippen. LOL
Marcus Portius 17. März 2026 16:49
Das Arbeiten mit konkreten Textstellen und das Nachvollziehen der Berechnung ist also Nebelkerzen werfen? Ich würde das eher als „Licht ins Dunkle bringen“ bezeichnen …
Zeigen Sie doch einfach, wo ich mit dem geschriebenen falsch liege. Die Stellen im Buch sind angegeben, die bewegen sich alle im Umfeld von 10 Seiten der von Ihnen referenzierten Textstelle und erklären die Berechnung der von Ihnen referenzierten Werte. Statt sachlich eventuelle Fehler klarzustellen kommt nur ad hominem.
Sie können sich aber schon erinnern, dass Sie das Kapitel referenziert und mir eine Frage dazu gestellt haben, oder?
Dort kommen aber nur Aspekte hinzu – die variable Sonneneinstrahlung und der Bodenwärmefluss. Die vorher behandelten Dinge werden genauso weiter benutzt, siehe z.B. aus dem Kapitel XVIII (dem Kapitel, das dem Kapitel XVII folgt):
Da findet man das wieder, was Sie immer verneinen: Atmosphäre absorbiert die Infrarotstrahlung der Erdoberfläche und die Atmosphäre strahlt auch in Richtung Erdoberfläche, die diese Strahlung absorbiert.
Sie können mir gerne erklären, wie in diesem Kapitel eine mittlere Oberflächentemperatur von 15°C zustande kommen soll, ohne die Einflüsse der Atmosphäre. Wenn sie das mit Textstellen und Formeln belegen können (wie ich es für den vorherigen Abschnitt gemacht habe) , räume ich gerne ein, dass ich mich geirrt habe. Aber das können Sie nicht, wie man an der Fehlinterpretation des Kapitels XVII gesehen hat.
Herr Schmidt,
habe ich das richtig verstanden?
Nachdem Sie Milankovic gelesen haben, glauben Sie, dass es den Treibhauseffekt nicht gibt.
Wer überbrückt die Differenz von 255 K auf 288 K der Erde?
Arno Kuck 18. März 2026 8:15
Nein.
Wie kommen Sie denn darauf?
Warum sollte ich Ihnen etwas erklären was aus dem Text zu entnehmen ist? Damit Sie dann Ihre Interpretation bringen können und dabei kreuz und quer durch die Kapitel zitieren?
Erklären Sie mir doch mal folgendes: Die Berechnungen die Milankovic für verschiedene Szenarien/Modelle angestellt hat stimmen bis auf kleine Abweichungen mit der 1941 beobachteten und ermittelten globalen Temperatur der untersten Luftschicht, die von der Oberfläche erwärmt wurde, mit ~15°C überein, bei einer CO2 Konzentration von 300ppm (dieses CO2 wird als Teil der trockenen Luft behandelt, Wasserdampf hingegen wird gesondert erwähnt).
Die aktuelle „offizielle“ globale mittlere Temperatur der untersten Luftschicht liegt bei ~15.2°C, bei ~425ppm CO2, Tendenz der Temperatur momentan fallend, letzes Jahr waren es noch ~15.3°C.
Wir erklären Sie das?
Marcus Portius 18. März 2026 21:59
Es ist dem Text eben nicht so ohne weiteres zu entnehmen. Initial haben Sie das auch bei einem Zitat aus dem Kapitel XVII behauptet. Und da stellte sich beim nachlesen raus, dass die Temperaturen mit empirisch bestimmten Transmissonskoeffizienten berechnet wurden. Solange Sie mir für das Kapitel XVIII nicht das Gegenteil zeigen, gehe ich davon aus, dass es dort auch so etwas gibt. Mit 340W/m² am Oberrand der Atmosphäre eine Temperatur zu bestimmen, bei der etwa 390W/m² am Boden abgestrahlt werden – da muß es irgendwas geben, das die Abstrahlung verringert.
Ich habe aus Kapitel XVIII zitiert. Sie zitieren fleissig aus dem vorherigen Kapitel, verstehen aber nicht was dort geschrieben steht?
Hann hat das bereits 1906 sehr gut beschrieben: Die Atmosphäre ist wie die Glasscheibe in einem Treibhaus, diese lässt nur Teile der Sonnenstrahlen bis zum Erdboden durch. O3, H2O und CO2 absorbieren auch Teile der eingehenden Strahlung und die Arbeit bestand darin diesen Teil zu quantifizieren. Daraus hat Milankovic die solare Oberflächentemperatur in einem variable, also einer sich drehenden Erde berechnet, inkl. der eigenen Wärme des Planeten. Das was in den GCMs fehlt.
Definieren Sie mal den Oberrand der Erdatmosphäre.
Marcus Portius 19. März 2026 19:08
Am 17. März 2026 1:09 schrieben Sie:

„Werfen wir eine Blick in den Text – denken Sie die hier sog. „solare Temperatur“ schliesst Treibhausgase, insbesondere CO2, ein:“
Kapitel XVII geht von S. 417 – S. 451, die „zitierte“ Seite ist S. 432, was wohl Kapitel XVII ist. Ich verstehe das Kapitel gut genug um zu erkennen, wie die Temperaturen berechnet wurden. Inklusive solcher kleinen Details, dass er mit einer zu kleinen Boltzman-konstante gerechnet hat.
Ich warte also weiterhin darauf, dass Sie mal erklären, wie sich die von Ihnen zitierten Temperaturen im Kapitel XVIII ergeben. Bis dahin gehe ich davon aus, dass Sie keine Ahnung haben, wie die ermittelt wurden.
„Die durchschnittliche an der oberen Grenze der Atmosphäre anlangende Erdbestrahlung pro Zeit- und Flächeneinheit, … Mit dem im § 70 angegeben Wert der Solarkonstante von W_m =“ 340W/m^2
Es ist völlig egal was ein Politiker in Sachen CO2 Klimakrise sagt, wichtig ist nur dass das Publikum es glaubt. Da selbst die rudimentären physikalischen Zusammenhänge bei >90 % der Leute unbekannt sind wird alles geglaubt was im ÖRR, oder den entsprechenden Printmedien, zu dem Thema verbreitet wird. Ausser meinen beiden Söhnen hätte der komplette Rest meiner Familie den Quatsch so geglaubt wie er gesagt wurde…. 🥳🤦♂️🤷♂️
Es ist ja keine neue Erfindung, Angst hält eine Gesellschaft in Bewegung, es muss nur jemand die Richtung vorgeben und das mit dem CO2 ist doch recht profitabel, eine geniale Story. Die Leute lieben es, es ist so einfach, und jeder kann seinen Beitrag leisten.
Fragen Sie mal den Nachbarn wie der GHE funktioniert, oder wieviele % CO2 sich gerade, global, in der Luft befinden. Oder wie das Wetter letzte Woche war…
So entstehen die geflügelte Worte. 😄
Bei der Arbeit gibts ein Problem. Einer so halb im Scherz: Die Sonne ist schuld! Alle in einem Tenor: oja die Sonne ist schuld!
Also schnell die Jalousien runter, wir haben die Ursache gefunden!
Ende OT
Was wissen normale Politiker, Redakteure der Medien und das normale arbeitende und steuerzahlende brave Volk schon vom Treibhauseffekt? Deren Wissen ist grottenschlecht, zusammengefaßt etwa so:
Wenn wir irgendwas verbrennen, dann entsteht das giftige Kohlendioxid, welches die Luft aufheizt, weil es die Wärme zurückhält. Ja tatsächlich giftig/schädlich.
Wegen dieses einfachen Volkswissens lassen sich die Leute mit dem Wärmeinseleffekt auch so leicht überzeugen, wenn man argumentiert:
Es wird wärmer weil durch die Zunahme der Bevölkerung immer mehr gebaut und geheizt wird. Außerdem wird das Land immer weiter trockengelegt durch Asphaltierung und durch Sickerschläuche und Flußbegradigungen in der freien Landschaft. Damit geht die kühlende Wirkung des einst nassen Bodens verloren.
Ein einziges Argument, nämlich just dieses reicht, die vielen anderen Ursachen der Erwärmung seit 1987/88 wollen die Leute erst gar nicht wissen.
Nur mein Nachbar – ein studierter Volkswirt- meinte nach der vollen Zustimmung für das Trockenlegungsargument, aber das CO2 wirkt doch mit, denn in den letzten Jahren wurde es abnorm wärmer.
Jetzt erst ist sein Gehirn bereit für weitere Gründe, um diese „Abnormerwärmung“ zu erklären.
Fazit: Wer das Volk, die Medien und Politiker überzeugen will, der braucht ganz einfache Argumente. Ein kaltes regenreiches Jahr zwischendurch würde genügen, und die glauben nicht mehr an den CO2-Temperaturregler.
Es gibt ja verschiedene Theorien zum angeblichen CO2-Treibhaus-Effekt, aber als ich das neulich von Hagel hörte, war ich erstaunt über diese „neue Theorie“. Was mich aber auch erstaunt hat, war, dass Hagels Behauptungen zum CO2-Treibhauseffekt z. T. unkommentiert blieben.
Die Abbildung der Lehrerin ist auch falsch. Richtig würde das so aussehen.
Herr Krüger,
den „natürlichen“ Treibhauseffekt gibt es auch nicht.
Weißt eigentlich sonst niemand mehr darauf hin, dass man als Grenze des Erde-Atmosphären-Systems die 500 hPa-Ebene annehmen muss?
Wozu? Müsste man dann nicht erklären, was der Druck damit zu tun hat?
Die physikalisch korrekte Begründung der Oberflächentemperatur 33 K über Strahlungsgleichgewichtstemperatur siehe hier:
Der Thermodynamische Atmosphäreneffekt – eine Erklärung in wenigen Schritten
Darin spielt CO2 keine Rolle, was politisch nicht akzeptabel ist. Daher erklären Politiker halt dass das CO2 die Sonne heisser macht…. 🤪🥳🤦♂️
Laut dieser Grafik (Quelle?) erwärmt die Sonne den Erdboden auf 15°C/288K, gem. der Theorie sind es aber nur -18°C/255K, im Durchschnitt.
Dann die 5km – es sind um genau zu sein 5.1km – das ist wo, in der idealisierten Internationalen Standardatmosphäre ISA, es -18°C/255K warm ist. Die durchschnittliche Lapse Rate der ISA beträgt 6.5°C/1000m. Das sind dann 5.1×6.5=33.15 – das bedeuted lt. ISA wenn es in 5.1km 255K warm ist dann ist die Luft am Erdboden 33.15K wärmer, also 288.15K – ohne jegliche Strahlung, diese ist nicht Bestandteil der ISA.
Woher hat das Strahlungsmodell das atmosphärische Temperaturprofil, und wer hat die Temperatur der Oberfläche gemessen?
Das ist kein Modell. Gezeigt werden die Messwerte.
Zeigen Sie mir mal wie und von wem die Temperatur der Erdoberfläche gemessen wird.
DAS genau ist der Casus Knacksus!
Arrhenius (und auch Happer) nehmen einfach an Boden und bodennahe Luft befinden sich im thermischen Gleichgewicht, das wissen die Alarmisten aber nicht, oder wollen es nicht wissen und leugnen es stattdessen.
Noch besser wird es wenn es um das Temperaturprofil geht, Hansen sagte dazu :
Weart: This was a radiative convective model, so where’s the convective part come in. Again, are you using somebody else’s…
Hansen: That’s trivial. You just put in…
Weart: … a lapse rate…
Hansen: Yes. So it’s a fudge. That’s why you have to have a 3-D model to do it properly. In the 1-D model, it’s just a fudge, and you can choose different lapse rates and you get somewhat different answers. So you try to pick something that has some physical
justification.
Man benutzt das Profil der Standardatmosphäre welche die 15°C/288.15K Lufttemperatur am Erdboden und die 6.5°C/1000m vorgibt. Man nutzt ein Modell dessen Prinzipien (natürlicher atmosphärischer Temperatugradient in einem planetaren Gravitationsfeld) man hartnäckig leugnet.
Könnten Sie oder jemand eine konkrete Herleitung für den Wert 33 Grad Celsius geben, oder dass ist nur eine Aussage, weil der Unterschied gerade 33 Grad Celsius wäre, und Punkt? Interessanterweise funktioniert diese ex cathedra Aussage für andere Himmelskörper nicht.
Vielleicht muss man die Aussage von Herrn Pecka und die 500 hPa nehmen, und schauen was der in der Standardatmosphäre beschriebene Druck und Temperaturunterschied ist.
Wird dann nicht der Bodendruck zu einem entscheidenden Datenpunkt?
Wenn dieser Wert sich ändert, ändert sich doch auch die Temperaturdifferenz zwischen Unten und Oben.
Und diese Differenz scheint ja der Treibhauseffekt zu sein, oder?
Herr Portius hat das schön ausgearbeitet.
Herr Schulz,
sich einen Punkt in der Atmosphäre auszusuchen, der 255 K kalt ist, und darauf eine Theorie zu kreieren, ist doch schwachsinnig oder?
Genau genommen ist es kein Punkt oder?
Ausserdem ist die Bedingung genau definiert.
Und wo die 255 K herkommen erklaert Herr Krueger:
Die Fragge ist doch, weenn man das Prinzip beim Mars un der Venus anwendet, die beidde um die 96% CO2 in der Atmosphaere haben, was bestimmt denn dann die Oberflaechentemperatur?
Empfehle dieses Video.
Herr Schulz,
es gibt auf der Erde mit einer Tagseite und einer Nachtseite keinen Treibhauseffekt. Es sei denn, man adelt die Wolken zu Treibhauswolken.
Die Kiehl-Trenberth-Bilanz gilt nur für eine Erde mit zwei Tagseiten. Dann wäre ein Treibhauseffekt notwendig.
In Wirklichkeit wird die Tagseite mit einer Sonneneinstrahlung von
470 W/qm gesegnet. Ein Treibhauseffekt ist nicht notwendig.
In Wirklichkeit sorgen die nächtlichen Wolken für eine Gegenstrahlung von 310 W/qm (bezogen auf eine Halbkugel).
Daher ist die Temperaturdifferenz zwischen Tagseite und Nachseite so gering.
Und aus der Temperatur der Tagseite und der Nachtseite können die Sonneneinstrahlung und die nächtliche Gegenstrahlung berechnet werden (siehe Beispiel von Herrn Heinemann).
Herr Schulz,
die
Differenz zwischen Bodentemperatur und effektiver Abstrahlungstemperatur (ergibt den THE)
ist auf der Tagseite null.
Also keine Treibhauseffekt.
Wie hoch sind die Werte?
Herr Schulz,
Tagseite:
Bodentemperatur 292,8 K
effektive Abstrahlungstemperatur (ergibt den THE) 293 K
Nachseite:
Bodentemperatur 282,9 K
effektive Abstrahlungstemperatur (Wolken) 175 K
Unterschiedliche effektive Abstrahltemperaturen tags und nachts?
Herr Schulz,
am Tag wirkt die Sonne, in der Nacht die Wolken.
Was bedeutet die geheimnisvolle „effektive Abstrahlungstemperatur“?
Lesen sie bitte.
Herr Schulz,
im Text von der Uni-Bremen steht nirgendwo der Begriff „effektive Abstrahlungstemperatur“.
Haben sie gelesen?
Herr Schulz,
Tagestemperatur:
Bodentemperatur 292,8 K
effektive Abstrahlungstemperatur (ergibt den THE) 292,8 K
Nachttemperatur:
Bodentemperatur 282,9 K
effektive Abstrahlungstemperatur (Wolken) 175,1 K
Genauso funktioniert der THE auch bei anderen Planeten wie Venus und Mars. Differenz zwischen Bodentemperatur und effektiver Abstrahlungstemperatur ergibt den THE.
Krüger, wie wollen Sie denn „Temperatur“ abstrahlen?
Hier geht es um Energien! Und Energiebilanzen kann man nicht betrügen. Jeder Punkt der Erde empfängt ca. 12 Stunden lang Energie und hat diese 12 Stunden auch Zeit, diese Energie in ausgeglichene Bilanz zu bringen. Sollte es in der Zeit einen geringen „Bilanzüber- oder unterschuß“ geben, stehen weitere 12 Stunden zur Verfügung, wieder auszugleichen bzw. in Realität sogar zu überkühlen. Deshalb ist es in der Früh typischerweise kühler als am Abend zuvor!
Btw: eine effektive Temperatur ist keine Temperatur, die man mit einem Thermometer messen kann!
Herr Strasser, haben Sie auf der Baumschule noch nie etwas von S-B gehört? S=Sigma•T⁴ (jedenfalls für quasi Schwarzstrahler).
Und da beide so um die 96% CO2 in der Atmosphaere haben, haben beide eine gleich grossen Treibhauseffekt, stimmts?
Überlegungen zur Schwarzköperstrahlung: Ein schwarzer Körper im.Vakuum strahlt gemäß seidenen Temperatur Photonen mit einer typischen Energieverteilung und einem seiner Temperatur entsprechenden Maximum ab. Wie sollen energiearmere Photonen eigenes kälteren Strahler das maximum des wärmeren Strahler zur wärmeren Seite hin verschieben? Sie können den Energieabfluss des höheren Maximums nicht ausgleichen.
Wer immer 100€ Scheine in den Gully schmeißt und von armen Nachbarn 10 € Scheine im glichen Maß zugestellt bekommt, kann nicht reicher werden.
Liebe Frau Schmall,
die ganzen Zahlenangaben in Diagrammen zu solarer Ein-, terrestrischer Aus- und atmosphärischer Gegenstrahlung beziehen sich immer auf eine Gleichgewichts-Situation. Die ist natürlich im Kleinen nie gegeben, aber räumlich global und zeitlich über einen längeren Zeitraum gemittelt ist das ein vernünftiges Szenario.
Das bedeutet: die Spektren verschieben sich überhaupt nicht, sondern alle Strahlungsanteile haben ein fest gegebenes Spektrum, dem sich, beruhend auf dem Planckschen Strahlungsgesetz, eine (effektive) Strahlungstemperatur zuordnen lässt.
Egal, wie hoch die Strahlungstemperatur ist, ist das Plancksche Spektrum immer sehr breit, enthält also Photonen verschiedenster Energie. Und dem einzelnen Photon kann man nicht mehr ansehen, aus welchem Spektrum es ursprünglich stammt. Es ist selber nicht „heiß“ oder „kalt“.
In diesen Gleichgewichts-Szenarien werden auch nirgends 100-€-Scheine in den Gulli geschmissen, während nur 10-€-Scheine zurückkommen, sondern wenn Sie sich die einzelnen Energieflüsse anschauen, ist bei jedem Beteiligten die Bilanz ausgeglichen (also der 1. Hauptsatz erfüllt).
Schon bei Wikipedia Treibhauseffekt, Treibhausgase Absorptionsdiagramme sind schon 3 Kurven für drei unterschiedliche K angegeben. Aus dem Maximum der Kurven ist die Temperatur des Senders zu erschließen, oder?
Sobald die Sonne untergeht und keine 100 € Scheine mehr auf den Boden wirft, werden zurückfallende 10 € Scheine von den 0,04% CO2 den Erdboden nicht mehr sonnenwarm machen.
Absorption findet immer nur dort statt wo auch die Absorbenden oder Emittenden sitzen. Vorzugsweise in Grenzschichten.
Durchschnittswerte haben keinen Sinn im logarythmischen Lambert-Beerschen Absorptionsgesetz. Da werden auch keine ppm eingesetzt, sondern Konzentrationen in g/m3 oder mol/m3.
Wo auf der Erde sollen die von Ihnen genannten Gleichgewichte eingestellt sein. Ich tippe auf den 90. Breitengrad im Winter bei null Sonnenflecken und Stillstand in der Galaxis.
Das wären übrigens mal interessante CO2 Kurven dort vom 90. Breitengrad. Bei -80 °C gibt es da auch ganz viel 15 micmeterstrahlung.
Sehr spannende Auseinandersetzungen.
Das kommt drauf an. Wenn in einem Absorptionsspektrum das Plancksche Maximum gerade durch Absorptionsbanden überlagert ist, dann geht das allenfalls noch über die Flanken.
Räumlich und zeitlich lokal zu denken, ist hier der falsche Denkansatz. Wie ich schon geschrieben habe, ist räumlich über den ganzen Globus zu mitteln und zeitlich über einen längeren Zeitraum, mindestens 1 Jahr!
Die Energieflüsse, um die es in solchen Diagrammen geht, sind i.d.R. in W/m² angegeben. Wenn Sie nun von den Mittelungsallergikern beeinflusst sind, brauchen Sie nur alle Werte mit der Erdoberfläche zu multiplizieren, und schon haben Sie die globalen Energieflüsse in Watt und sind die Mittelwerte über die Fläche los.
Dass über längere Zeiträume gemittelt in etwa ein Gleichgewicht angenommen werden kann, erklärt sich daraus, dass die klimatischen Bedingungen auf unserer Erde, von den Wetterschwankungen abgesehen, langfristig ziemlich konstant sind. Wir können uns hierzulande z.B. auf die Jahreszeiten verlassen und dass der Jahresniederschlag ca. 800 l/m² beträgt, dass nicht plötzlich der Kongo unter einem Eispanzer verschwindet u.ä.
Ja, ja, die bösen Wetterschwankungen und sonstige Schwankungen im chaotischen Wettersystem. Seit wann können wir uns hier auf die Jahreszeiten verlassen. Es gab schon Jahre ohne Sommer. Am Äquator mag die Temperatur ja wenig schwanken, aber fragen sie mal in Berlin Brandenburg nach.
Jetzt wandern auch noch die Pole schneller.
Übrigens, die Verbrennungswärme von 1 l Benzin reicht aus, um die Luftsäule über 170 m2 um 1 K zu erwärmen.
Kühlt sich natürlich auch wieder ab. Das ist natürlich menschengemachte Klimaerwärmung. Sonst könnten hier auch nicht so viele Menschen das anze Jahr über leben.
Fangen Sie mal klein an und beantworten Sie sich die Frage A), ob ein Körper, dem eine bestimmte Energiemenge zugeführt wurde („100 €“), diese in sich in Wärmenenergie umwandelt und dadurch wärmer als vorher wird, diese Temperatur konstant hält, wenn er nach der Energieaufnahme thermisch isoliert wird.
Wenn Sie A) richtig beantwortet haben, fragen Sie sich B) was mit der Temperatur des Körpers passiert, wenn der Körper nach der Energieaufnahme nicht thermisch isoliert ist.
Die Temperatur konstant zu halten ist immer ein Problem. Klappt schon bei meiner Thermoskanne nicht.
Nun, dann kümmern Sie sich erst um die Physik Ihrer Thermoskanne als um die der Atmosphäre.
Was ist das, wollen Sie damit A), B) oder nichts beantworten?
SIE, Heinemann, haben Frau Schmall mangels Lesefähigkeit „zwischen den Zeilen“ leider nicht verstanden, aber Sie versuchen ja auch, Kaffeebohnen in heißem Wasser aufzulösen ……
Bevor ich früh munter werde, erlebe ich beim Schlafen öfter etwas. Da hatte ich einen Politiker getroffen und den gefragt, ob er gutes Wissen hat. Der hat dann geantwortet wie Sokrates in dr Antike: „Ja, ich habe sehr gutes Wissen. Ich weiß doch, dass ich überhaupt nichts weiß.“ Das Zitat hatte ich durch Zufall am Tag zuvor gelesen. Und dann traf ich einen Politiker.
Das war aber ein sehr unrealistischen Traum 😢
Wer solche Vorstellungen von den Erscheinungen hat, zu denen er politische Entscheidungen trifft, könnte auch durch einen würfelnden Affen ersetzt werden. Der Schaden wäre auch nicht größer!
Das Hirn spielt während des Schlafes Kombinationen durch, wie anstehende Probleme gelöst werden können. Im Rahmen der dem Gehirn verfügbaren Informationen, also auch unter Einbeziehung des Mülls, der täglich per Glotze oder Wischfon einwirken.
Der Spruch: „Ich weiß, dass ich nix weiß“, setzt Selbstreflexion voraus. Diese Gabe fehlt allen POlitikern völlig, die leiden allesamt an Narzissmus und Narzissten sind fehlerlos. Alles was die wollen und brauchen, ist Macht und Kontrolle über andere. Selbsterkenntnis, oder gar ein schlechtes Gewissen, sind da kontraproduktiv.
In unserer streng hierarchisch organisierten Gesellschaft kommen nur solche Krüppel in die Geschäftsleitung der Firmen wie dem Staat, die Gerichte, die Polizeien, usw. Die werden jetzt allesamt pleitegehen, wenn das Fetzengeld aufhört.
Dann kommt die Zeit jener, die zur Selbstreflexion fähig sind und die sich erinnern werden….
Auch das in der ARD Sendung gezeigte Bildschirmbild im Klassenraum lässt zweifeln, ob in der Schule selbst überhaupt die korrekten Zusammenhänge vermittelt werden:
Zum einen fehlen die Pfeile, welche die durch die sog. „Treibhausgase“ bewirkte Rückstrahlung von der Atmosphäre zur Erdoberfläche symbolisieren. Zum anderen scheint das Tafelbild die Atmosphäre irreführenderweise als „Hülle“ um die Erde in der Weise darzustellen, dass sie die vom Erdboden ausgehende Strahlung – symbolisiert durch entsprechende Pfeile – behindere und wohl so auf diese Weise einen „Treibhauseffekt“ generiere.
Es erinnert sehr an den Flammarion-Holzstich mit dem Astronomieverständnis des Mittelalters, da soll es ja wieder hingehen, oder?

Oh Gott, da fällt einen wirklich nichts mehr ein. Ich bin zwar nicht wissenschaftlich hoch gebildet, aber so etwas zu sagen, ist absoluter Nonsens, den jeder mit Schulwissen durchschauen kann.
Ich habe einfach eine Gerade von Nordosten (Usedom) nach Südwesten (Lörrach) durch die Wahlergebniskarte der letzten Bundestagswahl gezogen und an neun Punkten mit den Wahlergebnissen der AfD minus Wahlergebnisse Grüne als einen Intelligenzwert eine Regression berechnen lassen. Demnach sinkt die Intelligenz in Deutschland hochsignifikant mit geringer Streuung von 40,1 im Nordosten auf 3,0 im Südwesten.
Absolute Spitze, Herr Dr. Lindner!!! 😉
DAS ist doch mal was für den Günter Heß …… 😉
O Gott, kein Wunder, dass der Özdemir vor diesen unterirdischen CDU Kandidaten noch gewonnen hat. Peterprinzip: Schlimmer gehts immer!
Yeah
Gemeinsam in den Abgrund, Armut und in die Katastrophe.
So macht das Leben Spaß.
Das Unwissen über die CO2-Wirkungen zeigt das naturwissenschaftliche Niveau der deutschen Politiker, der Redakteure der Medien und des Volkes
Ob die Lehrerin diese Fehlaussagen erkannt hat bin ich nicht sicher, denn so ein Politik-Besuch findet im Rahmen des politischen Unterrichtes statt, es ist also keine Chemie/Physiklehrerin. Und die Politiklehrer laden die Politiker ein, die sie kennen oder die Ihnen nahestehen.
Auf alle Fälle haben die Redakteure der deutschen mainstream-Medien auch nichts erkannt, denn in der medialen Öffentlichkeit war dieses Unwissen über den falsch erklärten Treibhauseffekt keinerlei Thema. Wobei richtig nach den Glaubenssätzen der Treibhauskriche erklärt, die Sache auch falsch wäre.
Auch die anderen Parteien haben diesen wissenschaftlichen Faux-Pas nicht in den Wahlkampf eingebracht. Das hohe Niveau aller Wahlkämpfe sind „rehbraune Augen“
Schlußfolgerung: Den Falschglauben über die angeblich starke Wirkung des CO2-The kann man nicht mit wissenschaftlichen mathematischen Berechnungen dem Volk austreiben!!
Man braucht ganz einfache Argumente wie Kohlendioxid erwärmt gar nichts, das ist nur eine Lüge, damit viele reich werden und wir bezahlen müssen. Sowas versteht und glaubt das einfache Volk.
Die Frage ist somit: Über welche Kanäle erreichen wir das arbeitende und steuerzahlende Volk, um überhaupt solche einfache Botschaften wie im Abschnitt davor fettgedruckt abzusetzen? Über die Artikel und Kommentare bei EIKE nicht.
Trotzdem gilt: Steter Tropfen höhlt den Stein.
Probierts doch mal mit: Kohlendioxid erwärmt gar nichts, das ist nur eine Lüge, damit viele reich werden und wir bezahlen müssen
Josef Kowatsch 9. März 2026 9:55
Sie wissen doch auch nicht, wie das CO2 in der Atmosphäre wirkt. Und das, obwohl Sie bei EIKE Vorträge und Artikel lesen können, die Ihnen die Wirkung erklären.
Lieber Herr Schmidt,
das sind Scheinerklärungen ohne jedwede wissenschaftlichen Beweise. Die hören sich gut an, ist aber nichts dahinter. Es gibt auch keinerlei technische Anwendungen, dieser Scheinerklärungen. Und bei der Sprengung der Nordstreaum-Pipeline war die Treibhauskonzentration drei Tage lang erhöht, nichts wurde an zusätzlicher Treibhauserwärmung gemessen. Nirgendwo.
Und zu Ihrer Behauptung „Sie wissen doch auch nicht, wie das CO2 in der Atmosphäre wirkt,“ meine Antwort: Doch das weiß ich. Nämlich allerhöchstens in homoöpathischen Dosen.
Aber auch diese einfache Erkärung von mir wird auf ihr gläubiges Treibhausgehirn leider keine Wiirkung hinterlassen
Josef Kowatsch 9. März 2026 19:18
Die theoretischen Ergebnisse werden mit Messungen in der realen Atmosphäre verglichen und stimmen für clear sky gut überein. Was erwarten Sie als „wissenschaftlichen Beweis“?
Die wurden Ihnen mehrfach genannt. Sie ignorieren die nur.
Damit zeigen Sie am deutlichsten, dass Sie sich die Artikel/Vorträge auf Eike gar nicht angesehen oder sie nicht verstanden haben. Die bei der 25%-igen Erhöhung des Methan-Gehaltes zu erwartende Erwärmung wäre irgendwas um 0,2K/0,3K (laut Happer Verdoppelung von Methan ein Forcing von 0,7W/m², Verdoppelung von CO2 3W/m², Temperaturerhöhung bei Verdoppelung von CO2 1,4K/2,2K ohne/mit Wasserdampffeedback). Und diese Erhöhnung stellt sich erst über lange Zeiträume ein, während sich die Ostsee zu der Zeit im Herbst gerade abkühlte …
Herr Schmidt, warum erschlug der Teufel die Großmutter???
WO kommt denn der Wert 25% ige Erhöhung der Methankonzentration her?
Auf welcher Wellenlänge absorbiert eigentlich Methan? Mal sehen was KI dazu halluziniert.
Herr Schmidt,
(Schmidt)
Sie wissen doch auch nicht, wie das CO2 in der Atmosphäre wirkt.
(Kuck)
Doch ich glaube, dass Herr Kowatsch weiß, dass das CO2 die Erdtemperatur nicht beeinflusst.
Wie sicher alle wissen, hat die Erde eine Tagseite und eine Nachtseite.
Die Tagseite wird nur von der Sonne mit 470 W/qm bestrahlt. Eine einfache Bilanz sagt aus:
Sonneneinstrahlung (470 W/qm)
= Oberflächenstrahlung(416,6 W/qm) + Bodenwärmestrom(53,3 W/qm
Die Nachtseite erhält nur die notwendige Gegenstrahlung (310 W/qm). Eine einfache Bilanz sagt aus:
Oberflächenstrahlung(363,3 W/qm) =
Gegenstrahlung (310 W/qm) + Wärmeabstrahlung(53,3 W/qm)
Aus diesen Bilanzen ist ersichtlich, dass die Tagseite 292,8 K und die Nachtseite
382,9 K warm sind (im Jahresmittel).
Schon seit den 30er-Jahren stellen Meteorologen Klimadiagramme zahlreicher Orte auf. Aus diesen Klimadiagrammen kann abgelesen werden, dass es keinen Treibhauseffekt gibt.
Denn allein aus den Temperaturwerten der Tagseite (292,8 K) und der Nachtseite (282,9 K) kann errechnet werden, welche Werte die Sonneneinstrahlung und die nächtliche Gegenstrahlung (Wolken) besitzen (im Jahresmittel). Treibhausgase werden nicht gebraucht und wirken daher nicht.
Bei Eike konnte man erst neulich in den Kommentaren etwas lesen, was die Wirkung vom CO2 quantifiziert.
Es sind 1-2 K. Die Erklaerung warum durch alleiniges Vorhandensein von nicht IR aktiven Gases, diese Wirkung auf 7-8 K verstaerkt und was denn Rest vom 32-33 K Treibhauseffekt (oder ist esdoch ein anderer Wert) ausmacht, ist ungeklaert! Oder kennen sie eine Publikation die das erklaeren kann?
Leon, der erste April kommt erst noch, gelle …. 😉
Egal was sie sagen sie werden trotzdem gewählt. 🙂
BW wählt die Grünen und die CDU/CSU.
Die wirklich Intelligenten wandern ins Ausland ab.
Richtig.
Danke, Herr Krall, für den klugen Satz.
Sie haben den Nagel auf den Kopf getroffen.
Wir brauchen noch mehr Fachleute wie Sie!
Nun steht es wohl fest: wenn der Name Programm ist, kann man auch eine Wahl verhageln.
Da hat es nicht unbedingt einen Hagel gebraucht, jeder andere von der CDU hat wohl die gleiche Qualifikation….
Interessanter wäre eine Erläuterung vom Cem oder vom „Waschlappen“ … 😉
„Warten Sie auf die fröliche Ute , da werden Sie geholfen.‘
Hoffe die fröhliche Ute hat eine schöne Schnute.
Ohne Strom und Gas kann ich Ihr ein bisschen körperliche Wärme anbieten. (Grins, Grins, Grins) 😉
Ja, ich bin ein Scheisskerl.
Hab ü. 2 Tonnen Pellets auf Lager, 40 Liter Kerosin und 50 Liter Diesel in Kanistern.
Über 2000 Liter Regenwasser und individuelle 99,99% Filtration + chemische Wasserdesinfection.
Dazu Konservennahrung, Reis und Nudeln für über 3 Monate.
Und wer mich bestehlen will.
Eine 150 Pfund Armbrust (ohne Waffenschein), russische Coctails (Kerosin), ein Luftgewehr (auf 20 m schiesse ich ein Auge aus) und andere Waffen warten auf Arxxxlöcher.
Ich prone keine Gewalt, aber wer Gewalt säht erntet Gewalt.
MfG
Tschuldigung Eike, gehört nicht zu diesem Thema. Aber mein Beitrag wurde als Antwort zu einem anderen Thema abgelehnt.
Hatte ich auch im Mittagsmagazin gesehen. Der Hagel will da wohl das „Ozonloch“ erklären. Aber alles Klimaschützer diese Politiker. Aber von nichts eine Ahnung. Aber die Wissenschaft sagt …
Ozonlöcher sind doch Löcher. Vor ungefähr 15 Jahren gab es einen Film mit Ozonlöchern (Titel vergessen). Über diese Löcher kam die Kälte aus dem Weltraum auf die Erde und es wurde extrem kalt. Sieht sich diesen Film jemand mindestens 3 mal an, dann steckt es bei ihm im Kopf, wie Kälte auf der Erde entsteht.
Und bei anderen kommt über die Löcher in der Atmosphäre die Wärme der Sonne auf die Erde. Klingt alles irgendwie pyhsikalisch logisch, nur eben trotzdem grottenfalsch.
Wenn man es nicht gehört hat, dann hätte man es nicht geglaubt, aber er hat das wirklich so gesagt, oder?
Gibt es denn eine bessere Beschreibung für diesen Effekt?
Breaking News:
Bisher unbekannter Effekt von CO².
CO² verdünnt Synapsen von Politikern. 😉
Gemessen an ihren Aussagen zur Klima- und Energiepolitik standen zwei 🤪🤪 zur Wahl. Die Mehrheit hat sich für den grünen 🤪🐸 entschieden. Eine demokratische Entscheidung einer wohlstandsverwahrlosten Gesellschaft die noch tanzt während das Schiff schon den Eisberg gerammt hat….
Wohlstandsverwarlosung im Endstadium. Die meinen aber sie können alles aussitzen und die Physik überstimmen.
Hr.Björn und Hr. Schnabel werden Ihnen beipflichten, die dürften Füsicker sein.
@Pesch: Bei allem Respekt, aber die Grünen haben keine Mehrheit, sondern eine katastrophale Niederlage erlitten. Was zeigen die Zahlen:
—Aus den 70 Wahlkreisen hat die CDU in 56 Wahlkreisen das Direktmandat (ERSTSTIMMEN) geholt, die Grünen nur in 13, und im Vergleich zu 2021 haben die Grünen 44 Wahlkreise verloren
—Bei den ZWEITSTIMMEN sieht für die Grünen auch nicht viel besser aus: Die CDU konnte in 37 Wahlkreisen die meisten Zweitstimmen holen, die Grünen nur in 32 Wahlkreisen.
Wg. der in April 2022 durch die Grünen durchgepeitschten Wahlreform in BaWü haben die Grünen für diese 32 durch Zweitstimmen gewonnenen Wahlkreisen 43(!) Ausgleichsmandaten erhalten, aber die CDU für 37 durch Zweitstimmen gewonnenen Wahlkreisen NULL Ausgleichsmandat erhalten .So haten beide Parteien je 56 Sitze im Landtag BaWü. Auf gut Deutsch: Unentschieden. Es steht NICHT im Wahlgesetz, dass die Anzahl der Zweitstimmen entscheiden würde, welche Partei die Wahl gewinnen würde. Dazu kommt, dass normalerweise sozusagen die erste Reihe (in diesem Fall die Erststimmen) entscheidend sind, und nicht die ZWEITE REIHE (Zweitstimmen). Herr C. Özdemir hat sich durch Selbsternennung (sehr demokratisch, progressiv, und liberal, versteht sich) schon als zukünftige MP von BaWü deklariert. Aber in einer parlamentarischen Demokratie wählt der Landtag den neuen MP, und der neuen Landtag hat sich noch überhaupt nicht etabliert. Nur Diktatoren und herrschsüchtige Autokraten ernennen sich durch Selbsternennung. Die Argumentation von Herr C. Özdemir ist auch falsch: Er hat gesagt, dass sogar nur „eine Stimme mehr“ wg. „Tradition“ ihn als MP prädestinieren würde. Nun wie war dann am Wahlabend in Mai 2011? Ein netter Herr (ein Altkommunist von KBW) hat sich im Fernsehen mit einer auffällig grünen Krawatte hat sich produziert und vorgetragen, dass die WählerInnen ihm Regierungsauftrag gegeben hätten, und er der nächste MP von BaWü sein wird. Nun die Partei der nette Herr hat gerade 24% der Stimmen geholt, und es gab eine Partei mit 39% (um 50+% und nicht nur um eine Stimme mehr). Ja, und der nette Herr konnte schon 6.-te mal kein Direktmandat sogar in einem sogenannten „sicheren Wahlkreis“ nicht holen (er war in seinem Heimatwahlkreis wohl bekannt, und dort wurden seine wohl bekannten „Fähigkeiten“ schon eingepreist, und aus diesem Grund hat der nette Herr die Kandidatur dort nicht gewagt). Auf Basis von dieser „Tradition“ sogar aus der eigenen Partei kann die „Argumentation“ von Herrn C. Özdemir zur Untermauerung von seinem Machtanspruch auf die Position des MPs von BaWü nicht wirklich verstanden werden.
Übrigens auch die Farben auf den Wahlkarten zeigen einen ganz anderen Wählerwille:
https://www.zdfheute.de/politik/deutschland/landtagswahl-baden-wuerttemberg-ergebnisse-wahlkreise-100.html
Die CDU (genauer gesagt, die kryptogrüne Fraktion innerhalb von CDU BaWü) hat die LTW 2026 schon in April 2022 vergeigt (ohne die CDU BaWü konnte die erforderliche 2/3 Mehrheit zur Reform des Wahlrecht nicht zustande kommen). In diesem Sinne hätte die CDU BaWü teilweise auch Selbstschuld im Wahlergebnis am 8. März 2026.
Ob der Baden-Württemberger jetzt Glück gehabt hat, wage ich zu bezweifeln. Der Manuel Hagel ist vermutlich nicht die hellste Kerze auf der Klimatorte im Südwesten und darf – jetzt nach 18 Uhr am Wahlsonntag bewertet – auch nicht Ministerpräsident spielen. Der Cem Özdemir kann das Treibhaus im Süden vermutlich aber auch nicht viel besser anheizen. Allein seine Partei steht aus meiner Sicht eher für Tollhaus als für Treibhaus. Ich bin sehr gespannt, ob die traditionellen Industrien rund ums Automobil aus dieser Wählernummer noch einmal halbwegs gesund herauskommen oder ob ein lethaler Winterschlaf dort bei Mercedes-Benz und Porsche angesagt ist. Stuttgart ist bekanntlich für alles gut oder auch nicht. Der Schwabe kann Vieles, solange es keine Bahnhöfe sind. Jetzt wird es dort darum gehen, wie kann man im Ländle viel regenerative Energien aus Sonne und nicht vorhandenem Wind einfangen, in die übermäßig reich vorhandenen E-Speicher einlagern und grüne Mobilität weiterentwickeln, ohne sich wieder auf den Einsatz von Pferden und Zugochsen rückzubesinnen. Denn eines sage als Nordlicht aus dem platten Land den Freunden im Süden aus eigener Erfahrung. Lastenfahrräder werden mit Sicherheit dort nie zum burner für den Bürger und keine klimaneutrale Alternative werden.
BaWü hat jetzt schon Strommangel und ruft seit Jshren per App Stromgedacht zum Sparen suf.
Um ganz ehrlich zu sein, BIN ich echt überrascht: Seit wann wäre Herr Gosselin und EIKE so scharf auf die Unterstützung von den Grünen im LTW-Wahlkampf in BW? Der Sachverhalt thematisiert durch Herr Gosselin, wird in den Medien dominiert durch die Grünen/Linken als Hetzkampagne gegen Herr Hagel (CDU) zur Unterstützung von einem gescheiterten grünen Minister (C. Özdemir) einer gescheiterten Regierung (Ampel-Regierung) durchgeführt, dass Herr Hagel wg. seiner Antwort kein guter MP für BW wäre, sondern C. Özdemir und die Grünen sollten weiterhin in BW regieren. Hätten NoTrickZone und EIKE plötzlich eine neue Marschrichtung eingeschlagen?
Übrigens, es ist auch klar, dass die Frage der Lehrerin eine klare Provokation war. Die meisten LehrerInnen benutzen (sogar in vielen Schulen ist sogar vorgeschrieben) den bekannten „Klimakoffer“ zur Indoktrination und vorsätzlichen grünen Gehirnwäsche. Herr Hagel ist noch jung, und er musste in der Schule schon diese Gehirnwäsche durchmachen. Er hat eigentlich nur das wiedergegeben, was er in der Schule von LehrerInnen (wie die Lehrerin mit der zitierten Frage) lernen musste. Und ganze Generationen (auch die Generation von Herrn Hagel) können einfach nicht anderes sagen. Konkrete Praxiserfahrung aus meinem Bekanntenkreis. Gespräch mit einem guten Freund (gleiche Altersklasse wie Herr Hagel) bei einer Veranstaltung (als Kleinunternehmer Landschaftsgärtner steht er sehr nach zur Natur, und meint dass er die Natur inklusive Klima sehr gut versteht). Der Landschaftsgärtner erzählt, dass CO2 sehr böse wäre, und beschleunigt Klimawandel, weil neulich in August schon in weniger als 30 Minuten Sonnenbrand erlitten werden kann. Es dauerte sehr lange, dass er verstehen konnte, dass Sonnenbrand nichts mit CO2 zu tun hätte, sondern die UV-Strahlung verursacht Sonnenbrand. Zum Glück war jemand (ein leidenschaftlicher Ski-Fan) dabei, und er hat erzählt, dass bei Ski-Urlauben außer den üblichen Knochenbrüchen/Gelenkproblemen gerade Sonnenbrand (sogar unter -10 Grad Celsius) am häufigsten aufgetretene Verletzung wäre. Sogar Amudsen bei seiner Expedition zur Nordpol bei -40-50 Grad Celsius auch Sonnenbrand erlitten hatte.
Stattdessen sollten vielleicht Herr Gosselin/EIKE thematisieren ob wohin der jahrzehntelange Kulturkampf (eher vorsätzliche Volksverdummung) führte.
Als Schlusswort zum Sachverhalt: Herr Hagel war derjenige, der noch als JU-Mitglied in 2015 einen Brandbrief an BK Merkel gegen die fehlerhafte Migrationspolitik geschrieben hatte, obwohl auf dem damaligen CDU-Parteitag die anderen Delegierten stehend und lautstark durch Ovation BK Merkel („Wir schaffen das!) begrüßt haben. Herr Hagel wurde natürlich nach dem Brandbrief in den Boden gestampft, aber leider hat sich herausgestellt, dass er Recht hatte, und konnte/durfte „rückkehren“ („auferstehen“). Und was steht bei uns in BW auf den Wahlplakaten der Grünen unter dem Bild von C. Özdemir? Er bettelt nur für die Zweistimmen… Keine Kommentare dazu, nur eine kleine Frage: Welche MP wäre besser für BW: Herr Hagel oder C. Özdemir?
Keiner von beiden. Die CDU ist ein Arm der Grünen, der dafür da ist, konservative Wähler ohne eigenen Gedanken einzufangen.
Kompliment, sehr schön beschrieben. Mit Ihrer Erlaubnis werde ich diesen Kommentar bei Gelegenheit zitieren.
Hätten NoTrickZone und EIKE plötzlich eine neue Marschrichtung eingeschlagen?
Herr Kocsis, ganz bestimmt nicht, nur hätte sich Herr Hagel halt vorher bei Ihnen erkundigen sollen, denn wie man den CO2-THE auch immer erklärt, die Erklärung ist immer falsch. Nur ein theoretisches Hirngespinst, das keinerlei Nachweise in der Realität draußen hat.
Ich bin mir sicher, dass Herr Özdemir auch keine bessere Antwort gegeben hätte und die von der AFD werden grundsätzlich nicht eingeladen in Schulen. Glück gehabt. Dadurch wirken sie seriöser.
RRRRICHTIG!!!!! 😉
Interessant dass sich auch die „Klimanachrichten“ am 8.3. mit der sensationellen Behauptung von Manuel Hagel befasst haben. Ich schrieb an Dr. Bosse:
„Dass Sie sich mit den Aussagen eines zum Thema THE unbedarften Politikers in der 7. Klasse befassen, ist m.E. eher Zeitverschwendung und trägt nichts zum brisanten Thema Dekarbonisierung, EU und Merz/SPD/Grüne bei. Man könnte sich ebensogut mit der Frage befassen, wie man den THE den Kleinen im Kindergarten erklären sollte.
Fachleute wundert es immer wieder dass die KN sich zunehmend mit eher irrelevanten Details zum Klima befassen wo doch der CO2-Hype und die Energiewende aus dem Ruder läuft sowie unbezahlbar und unrealisierbar zu einer Katastrophe wird.
Dass die Sprengung von Ibbenbüren langfristig allenfalls 0,00005 Grad bringt und eine Wärmepumpe nur 1,5 hundertmilliardstel (!!!) Grad, es bei Frost an Strom mangelt und wir nach 2045 mindestens 4mal mehr Strom brauchen – ohne die vielen nötigen Gaskraftwerke und Speicher zu haben oder gar den Wasserstoff erzeugen und bezahlen können – ist doch das was uns riesige Sorgen macht. Zum Glück haben wir ja EIKE wo man zu diesem Thema Aufklärung und kritische Kommentare verbreitet“.
Anlass dazu war auch ein unkommentiertes Leugner-Zitat in KN „Wärme kann immer nur vom wärmeren Körper zum kälteren hin gestrahlt werden“. Dazu ist zu sagen dass IR-Strahlung elektromagnetische Energieübertragung ist und deshalb der Temperaturgradient völlig irrelevant ist. Da die IR-Strahlung gemäß S-B emittiert wird und die Temperatur des Emitters nicht kennt sowie die des Absorbers nicht feststellen kann und die Photonen auch den 2.HS weder kennen noch von einem wärmeren Körper reflektiert werden, folgt daraus dass die (gemessene) „Gegenstrahlung“ sehr wohl den Erdboden im Gleichgewicht etwas wärmer macht.
Dafür gilt die Formel S+∆S=Sigma(T+∆T)⁴ und somit für ∆T näherungsweise ∆S/S/4•T oder ∆T kann exakt mit ECS•ln(C/Co)/ln(2) berechnet werden. Der reale Wert von ECS beträgt nur etwa 0,6 anstatt 3 Grad beim IPCC. Das ∆T gegen vorindustriell fürs Gleichgewicht wird im alten Stabilisierungsszenario WRE550 beim IPCC sogar um den Faktor 25 (!!!) zu hoch berechnet. Damit werden wir in die unnötige billionenteure Dekarbonisierung getrieben.
Nicht nur das Photon kennt den 2 HS nicht, auch Sie kennen ihn nicht.
Die physikalischen Grundlagen des Treibhauseffektes
Ein Wärmeübergang aus einem kälteren in einen wärmeren Körper kann nicht ohne Compensation stattfinden.
R. Clausius untersucht ausführlich, daß diese Aussage auch auf die Wärmestrahlung anzuwenden ist, selbst wenn man mit Spiegeln und Linsen Abbildungen der Flächen vornimmt (loc. cit. S. 317-354).
Nein Herr Dietze, der 2 HS ist absolut und es wird auch nicht „etwas wärmer“ durch eine „Gegenstrahlung“ von einem kälteren Körper.
Herr Pesch, seit wann wird denn ein solar beheizter Körper nicht wärmer wenn er zusätzlich Photonen, also Energie (sogar aus kälterer Quelle) absorbiert und diese gemäß S+∆S=Sigma•(T+∆T)⁴ wieder abstrahlt? Glauben Sie wirklich, der antike Clausius hat 1865 Stefan-Boltzmann widerlegt? Gibt es keine Temperaturerhöhung bei Wärme- sowie Strahlungsdämmung?
Ein gewisses Talent, sich hier fachlich immer einmal tief „reinzureiten“ kann ich Ihnen leider nicht absprechen ….
Der Vergleich mit einer Dämmung ist physikalisch falsch. Frei in einem Schwerefeld schwebende CO2 Moleküle sind nicht mit der Bettdecke vergleichbar. Zudem strahlen CO2 Moleküle ihre Anregungsenergie unter den Druckbedingungen der Troposphäre nicht ab (Stossdeaktivierung + Thermik). Sie stellen physikalisch völlig falsche Vergleiche an. Im übrigen absorbiert ein Molekül mit einer höheren Bewegungsenergie (Temperatur) keine Energie von einem mit geringerer. Auch nicht durch Strahlung.
Herr Pesch, dass sich die Gegenstrahlung (150 W/m²) am Boden zur Solarstrahlung addiert und ihn nach S-B um 33 Grad wärmer macht, haben Sie immer noch nicht begriffen. Auch bei Almeria addiert sich ja die Strahlung der zahllosen Spiegel (20.000 m²) am Absorber des Turms.
Der Heinz Hug hat Sie zwar in seinem Buch erwähnt, aber SIE müssten sich mal irgendwann wirklich bekennen ………….
Herr Dietze,
die Tagseite der Erde erhält Sonneneinstrahlung von 470 W/qm. Das reicht aus, damit die Tagseite 293 K warm ist. Würden Sie zusätzlich 155 W/qm hinzufügen, beträgt die Temperatur der Tagseite 301 K. Gleichzeitig erhält dann die Nachtseite nur eine Gegenstrahlung von
155 W/qm (statt 310 W/qm) und die Temperatur der Nachtseite wird 272 K kalt.
Ich liebe unbewiesene Formeln und Theorien.
Die Erdatmosfere ist kein geschlossenes Reagenzglas!
MfG
Guter Punkt. Die Luft kühlt adiabatisch – wo verrichetet CO2 Arbeit um den Verlust an Wärme zu kompensieren?
Dazu ist zu sagen dass IR-Strahlung elektromagnetische Energieübertragung ist und deshalb der Temperaturgradient völlig irrelevant ist.
Clausius 1854
Sieht irgendwie danach aus dass die Temperatur, und somit auch der Gradient eine entscheidende Rolle spielt – ohne Gradient keine Übertragung.
Clauisius 1887
Deutlicher kann man es nicht formulieren: Ein warmer Körper wird kälter WEIL ein kälterer Körper zugegen ist, und zwar um die Temperaturdifferenz auszugleichen.
Jetzt schauen Sie sich dieses kurze Video an. Das Thermometer hat eine durch die es umgebende Luft bestimmte KONSTANTE Temperatur, durch Wärmeleitung, der 0te HS. Diese Temperatur haben natürlich auch die Spiegel. Kommt nun der kältere Körper in den Fokus des linken Spiegels strahlen der kalte und der warme Körper sich direkt gegenseitig an, sie können sich „sehen“.
Sieht das für Sie danach aus dass das Thermometer wärmer wird, also die auf es treffende Wärme(strahlung) absorbiert wid?
Wenn Sie über EM-Strahlung, also Licht reden, was ist das besondere an der IR-Strahlung dass diese, gem Ihrer Logik, nicht reflektiert wird? Das müsste dann auch für sichtbares Licht gelten – was ist dem Licht das in der Atmosphäre gestreut wird? Ausserdem sehen wir im Experiment dass Wärmestrahlung reflektiert wird, von den Spiegeln.
Richtig muss es also heissen: Die emittierte Wärme(strahlung) eines kälteren Körpers wird von einem wärmeren Körper (solange keine Arbeit verrichtet wird) NICHT ABSORBIERT.
Vielleicht sollten Sie sich mal mit Ihrem eigenen Modell etwas näher auseindersetzen:
Das Strahlungsgleichgewichtsmodell für eine Atmosphäre
Sie argumentieren mit Ihrem vereinfachten Modell, mit in der Realität nicht existenten schwarzen Körpern und glauben offenbar dieses Modell stellt 1:1 das dar was in der Realität passiert. Dem ist nicht so, weder gibt es die Schichten, noch gibt es eine konstante Oberflächentemperatur und ganz gewiss wird die kältere Luft den Erdboden nicht erwärmen, und zwar aus dem ganz simplen Grund dass die Luft die Oberfläche kühlt, in der Realität. Versuchen Sie mal eine Blick über den Tellerrand zu werfen. CO2 ist Dünger, Ende der Geschichte.
„Die emittierte Wärme(strahlung) eines kälteren Körpers wird von einem wärmeren Körper (solange keine Arbeit verrichtet wird) NICHT ABSORBIERT“.
Herr Portius, der antike Clausius (1887) hatte die Wärmeleitung im Sinn und glaubte fälschlich, dass sich Strahlung ebenso verhält. Dass ein Schwarzkörper sämtliche Strahlung absorbiert und nicht die von einem kälteren Körper feststellen und reflektieren kann, haben Sie immer noch nicht begriffen.
Peter Dietze 9. März 2026 8:11
Hier tun Sie Clausius unrecht. Herr Portius zitiert netterweise den Teil, der sagt, dass Strahlung sich anders verhält: „Was ferner die in gewöhnlicher Weise stattfindende Wärmestrahlung anbetrifft, so ist es freilich bekannt, dass nicht nur der warme Körper dem kalten, sondern auch umgekehrt der kalte Körper dem warmen Wärme zustrahlt, aber das Gesamtresultat dieses gleichzeitig stattfindenden doppelten Wärmeaustausches besteht, wie man als erfahrungsgemäß feststehend ansehen kann, immer darin, dass der kältere Körper auf Kosten des wärmeren einen Zuwachs an Wärme erfährt.“
Clausius sah das also genauso wie die heutige Physik, wenn man davon absieht, dass er von Wärme und nicht von Energie sprach. Also bitte nicht Clausius so etwas falsches unterstellen …
Herr Schmidt, Sie unterschlagen hier, dass wenn der kältere Körper dem wärmeren Wärme (Energie, W/m²) zustrahlt, diese im Gleichgewicht auch wieder emittiert wird. Das ergibt nach S-B dann S+∆S=Sigma•(T+∆T)⁴, also eine Erwärmung um ∆T.
Ich behaupte doch NICHT dass zwei Körper (allein) mit unterschiedlichen Temperaturen diese nicht ausgleichen, also der wärmere sich nicht abkühlt. Aber bei der Erde haben wir ein Dreikörpersystem (Sonne, Atmosphäre, Boden). Und hier strahlt die Atmosphäre vom wärmeren Boden emittiertes und daraus absorbiertes IR zurück. Das ergibt eine Verringerung der Strahlungskühlung und damit am Boden eine Temperaturerhöhung.
Peter Dietze 9. März 2026 17:29
Irgendwie passt Ihre Antwort nicht zu dem, was ich geschrieben habe. Können sie nochmal in Ruhe nachlesen? Ich wollte lediglich darauf hinweisen, dass auch bei Clausius der kältere Körper dem wärmeren Wärmestrahlung zustrahlt und diese auch vom wärmeren Körper absorbiert wird …
Herr Schmidt, wenn ein Körper zusätzliche Srahlungsenergie absorbiert, muss er sich erwärmen. Die Gegenstrahlung beträgt immerhin 150 W/m². Haben Sie etwa S-B nicht verstanden und das Strahlungsgleichgewicht? Es gilt doch S+∆S=Sigma•(T+∆T)⁴ und der Erdboden kühlt sich ja nicht ab, sondern absorbiert und emittiert bei +∆T mehr Strahlung. Denselben Effekt haben wir doch auch wenn Bewölkung verschwindet und sich die Sonnenstrahlung erhöht.
Peter Dietze 10. März 2026 6:20
Sie diskutieren wieder Dinge, zu denen ich mich gar nicht geäußert habe. Haben Sie meinen Kommentar nochmal gelesen? Da steht nichts zu dem, was Sie hier gerade diskutieren. Sie arbeiten sich hier an einem selbst geschaffenen Strohmann ab …
Schmidt: => Ich wollte lediglich darauf hinweisen, dass auch bei Clausius der kältere Körper dem wärmeren Wärmestrahlung zustrahlt und diese auch vom wärmeren Körper absorbiert wird.
Dietze: => Haben Sie etwa S-B nicht verstanden und das Strahlungsgleichgewicht? Es gilt doch S+∆S=Sigma•(T+∆T)⁴ und der Erdboden kühlt sich ja nicht ab.
Peter Dietze 10. März 2026 12:59
Wie wäre es, wenn Sie doch erst mal lesen und nicht immer über etwas diskutieren, was gar nicht gesagt wurde?
Herr Schmidt, Sie haben S-B nicht verstanden. Wenn bei Clausius der kältere Körper dem wärmeren Wärmestrahlung zustrahlt und diese auch vom wärmeren Körper absorbiert wird, so addiert sich das ∆S, also W/m², doch zur Solarstrahlung S und wird dort wieder abgestrahlt. Das ergibt gemäß S+∆S=Sigma•(T+∆T)⁴ einen Temperaturanstieg. Dass sogar Herr Heß – ebenso wie Clausius – das Strahlungsgleichgewicht nicht beachtet, wundert mich.
Peter Dietze 11. März 2026 7:19
Könnnen Sie einfach mal die Stelle zitieren, aus der Sie schlussfolgern, ich hätte S-B nicht verstanden?
Es geht weder in dem Buch von Clausius noch in meinen Kommentaren in diesem Diskussionsfaden um die Interaktion Sonne/Erdoberfläche/Atmosphäre/All. Warum faseln Sie da etwas von Sonnenstrahlung? Die kam in dem Text von Clausius bzw. den Kommentaren von mir gar nicht vor.
Bitte LESEN Sie doch einfach mal das, was Sie diskutieren.
Clausius hat gar nicht über das Strahlungsgleichgewicht geschrieben. LESEN Sie doch einfach mal sein Buch, bevor Sie ihm etwas unterstellen. Ihre Betrachtungen zum Strahlungsgleichgewicht in der Interaktion von Sonne/Erdoberfläche/Atmosphäre/All verwenden genau das, was er beschrieben hat, die Erdoberfläche absorbiert die von der Atmosphäre emittierte Strahlung, obwohl die Atmosphäre kälter ist, als die Oberfläche …
Schmeckt die Medizin nicht?
Herr Schulz, die zusätzliche Absorption von Gegenstrahlung (W/m²) aus kälterer Quelle ergibt gemäß S-B doch S+∆S=Sigma•(T+∆T)⁴ einen Temperaturanstieg am Boden. Da Herr Schmidt den antiken Physiker Clausius zitiert, weil er behauptet dass sich der wärmere Körper (Boden) wegen der Nettoabstrahlung abkühlt, hat er also S-B (und damit auch den THE) nicht verstanden.
Es ist schon erstaunlich wie jemand glaubt dass Tausende von Klimamodellierern blöd sein müssen und man die Existenz des THE, der ja längst (insbesondere für den nur geringen CO2-Effekt) quantifiziert (!) ist, noch bestreiten kann.
Peter Dietze 12. März 2026 11:36
Das entspringt nur Ihrer Einbildung. Ich habe an keiner Stelle über den THE gesprochen. Ich habe das gerade extra nochmal betont: „Es geht weder in dem Buch von Clausius noch in meinen Kommentaren in diesem Diskussionsfaden um die Interaktion Sonne/Erdoberfläche/Atmosphäre/All.“ Woran scheitert das bei Ihnen? Am Lesen oder am Wahrnehmen?
Das tue ich nicht. Sie haben sich da in etwas hineingesteigert, aus dem Sie irgendwie nicht mehr rauskommen …
Herr Schmidt, Ihr Clausius-Zitat hat also überhaupt nichts mit dem THE, S-B und Gegenstrahlung zu tun?? Sie sagten „Ich wollte lediglich darauf hinweisen, dass auch bei Clausius der kältere Körper dem wärmeren Wärmestrahlung zustrahlt und diese auch vom wärmeren Körper absorbiert wird„. Das ist von Clausius zwar richtig, jedoch „Das Gesamtresultat besteht… immer darin, dass der kältere Körper auf Kosten des wärmeren einen Zuwachs an Wärme erfährt“ ist falsch. Also der wärmere Körper kühlt sich trotz zusätzlicher Absorption von Gegenstrahlung ab, die Strahlung der Sonne bleibt aussen vor – und das ergibt genau das Gegenteil vom THE. Dass Sie mit der Aussage des antiken Physikers Clausius irgend etwas beabsichtigt haben, ist pure Einbildung von mir. Sie tun so als hätten Sie aus einem Physikbuch lediglich die triviale Aussage zitiert dass ein Bügeleisen abkühlt wenn man den Stecker zieht.
Peter Dietze 12. März 2026 18:24
Ich habe Ihre Aussage zum Clausius-Zitat zitiert und darauf hingewiesen, dass Sie sich da irren. Schauen Sie einfach nochmal nach, wer das Clausius-Zitat in die Diskussion eingeführt hat. Das war nicht ich.
Wenn Sie die Aussagen von Clausius auf die Interaktion Sonne/Erdoberfläche/Atmosphäre/All anwenden, kommen Sie immer noch auf einen Wärmefluss von Sonne zu Erdoberfläche/Atmosphäre, Erdoberfläche zu Atmosphäre/All und Atmosphäre zu All, also immer von warm nach kalt. Da gibt es keinen Widerspruch zu dem, was Clausius sagt. Und man sieht das doch auch in Ihrer vereinfachten Strahlungsbilanz, da fliessen 240W/m^2 von der Sonne zur Eroberfläche, 240W/m^2 (390W/m^2 – 150W/m^2) von Erdoberfläche in die Atmosphäre und 240W/m^2 von der Atmosphäre ins All …
Herr Schmidt, Sie bestreiten den THE nicht, aber zitieren den antiken Clausius, welcher doch vergißt dass die Sonne scheint und behauptet dass der wärmere Boden trotz zusätzlicher Absorption von „kälterer“ Gegenstrahlung abkühlt statt wärmer wird. Sie sollten zum Arzt gehen.
Peter Dietze 13. März 2026 8:08
Es geht also weiter damit, dass Sie Antworten schreiben, ohne die Kommentare in Ruhe zu lesen. Es war Herr Portius, der Clausius zitierte. Sie haben daraufhin etwas falsches über den Clausius-Text geschrieben, worauf ich hingewiesen habe.
Clausius diskutiert den Treibhauseffekt nicht, wie kann er da die Sonne vergessen? Muss man jetzt bei jeder Wärmeübertragung über Wärmestrahlung die Sonne einbeziehen? Kommt Ihnen das nicht selber etwas … seltsam vor?
Im Text von Clausius, den wir gerade diskutieren, steht nichts von Erwärmen bzw. Abkühlen. Dort wird nur beschrieben, in welche Richtung die Wärme fliesst: „der kältere Körper auf Kosten des wärmeren einen Zuwachs an Wärme erfährt.“ Ob das zu einer Abkühlung des wärmeren Körpers bzw. Erwärmung des kälteren Körpers führt, hängt dann auch von den weiteren Umständen ab. Wenn die Wärme, die in Richtung Atmosphäre/All fliesst, zur gleichen Zeit von der Sonne (die wärmer ist, als die Erdoberfläche) ersetzt wird, gibt es natürlich keine Abkühlung der Erdoberfläche. Sie machen da genau das, was Sie denen vorwerfen, die mit Clausius den Treibhauseffekt widerlegen wollen.
Herr Schmidt, was soll Ihre sinnlose Debatte?? Bei EIKE und speziell im Beitrag zu Manuel Hagel geht es um den TREIBHAUSEFFEKT. Dass vom Erdboden jedwede Strahlung absorbiert wird, bestreitet doch niemand und wir wollen hier doch nicht über Triviales diskutieren. Wer den antiken Clausius mit seinem Nettotransport von warm nach kalt (ohne Sonne, also trotz S+∆S fälschlich mit Abkühlung des wärmeren Körpers) kritiklos zitiert, will doch – wie viele Ignoranten von S-B und Jünger des 2.HS – den THE widerlegen. Also auch meine Berechnung von langfristig nur 0,00005 Grad für die Sprengung von Ibbenbüren.
Peter Dietze 13. März 2026 11:06
Das sollten Sie sich selbst fragen. Die sinnolse Debatte entstand, weil Sie nicht lesen können oder wollen und daher immer über irgend etwas diskutieren wollten, was nichts mit dem von mir geschriebenen zu tun hatte.
In dem Kommentar, der die sinnlose Debatte anstiess, ging es um Ihre falsche Aussage zu Clausius: „der antike Clausius (1887) hatte die Wärmeleitung im Sinn und glaubte fälschlich, dass sich Strahlung ebenso verhält.„.
Das ist genau das Problem. Sie lesen den Text, filtern ihn durch dieses Vorurteil und nehmen dann Dinge war, die gar nicht da stehen. Und obwohl ich Sie mehrfach darauf hingewiesen haben, dass Sie über etwas reden, was gar nicht da steht, machen Sie endlos weiter. Den letzten Kommentar scheinen Sie auch wieder nicht richtig gelesen zu haben, wenn Sie schon wieder Clausius mit Sonne und Abkühlung des wärmeren Körpers in einen Topf werfen …
Das ist mir auch aufgefallen: Sowohl Herr Portius als auch Herr Dietze scheinen den Strahlungsfluss vom kälteren zum wärmeren Körper als Wärme zu bezeichnen. Thermodynamisch ist das so nicht korrekt.
Clausius allerdings hat Wärme thermodynamisch definiert.
Du weißt nicht wovon du sprichst Heß!
Unter Wärme versteht man Wärmeenergie, die ist Masse x spez.WK x Temperatur. Bei den massenlosen Strahlen ist also Wärme, also Wärmeenergie, exakt Null. Bei thermodynamischen Betrachtungen muss man die Umwandlung von Strahlung in Wärmeenergie und zurück betrachten, das macht hier kaum jemand, und du verstehst nicht mal worum es geht.
Strahlung, die der kalte Körper dem warmen schickt wird nicht in Wärme umgewandelt. Umgedreht schon. Nur so stimmt die Thermodynamik.
Herr Georgiev,
sie vermischen die Begriffe vermutlich durch Rückübersetzung aus dem Englischen. Ihre Beziehung aus Masse, spezifischer Wärmekapazität und Temperatur beschreibt nicht die Wärme. Sie ergibt sich aus der Änderung der inneren Energie bei einer Temperaturänderung, deshalb steht dort eigentlich eine Temperaturänderung.
In speziellen Fällen kann die innere Energie tatsächlich proportional zur Temperatur sein, etwa bei idealen Gasen oder wenn die Wärmekapazität näherungsweise konstant ist. Das ist dann aber eine Materialeigenschaft und keine Definition von Wärme.
Wärme ist in der Thermodynamik Energie, die aufgrund eines Temperaturunterschieds zwischen Systemen übertragen wird. Diese Energie kann durch Leitung, Konvektion oder auch durch Strahlung transportiert werden. Strahlung trägt Energie und wird von Materie entsprechend ihren optischen Eigenschaften absorbiert. Zwischen zwei Körpern unterschiedlicher Temperatur gibt es daher Strahlung in beide Richtungen; der wärmere sendet jedoch mehr als der kältere, sodass der Nettoenergiefluss vom warmen zum kälteren Körper gerichtet bleibt.
„Strahlung trägt Energie und wird von Materie entsprechend ihren optischen Eigenschaften absorbiert… der wärmere sendet jedoch mehr als der kältere, sodass der Nettoenergiefluss vom warmen zum kälteren Körper gerichtet bleibt“
Herr Heß, damit wird wenigstens der 2.HS nicht verletzt. Erstaunlich ist aber, wie Sie es schaffen, trotz vieler Erklärungen das Wesentliche auszuklammern, nämlich die Beantwortung der strittigen Frage ob die zusätzliche Absorption von Gegenstrahlung aus kälterer (!) Quelle zu einem Temperaturanstieg am wärmeren Boden führt. Also ob wir ohne Gegenstrahlung gegen Weltraumkälte anheizen müssten oder ob Sie den THE thermodynamisch leugnen. Das wissen wir immer noch nicht.
Herr Dietze, das wissen Sie vermutlich deshalb nicht, weil Sie meine Beiträge offenbar nicht vollständig gelesen haben. Die von Ihnen aufgeworfene Frage habe ich bereits beantwortet.
Allerdings beschreiben Sie den Treibhauseffekt auf eine Weise, die physikalisch ungenau ist. In der Thermodynamik betrachtet man stets den Netto-Energiefluss zwischen Systemen. Auch beim Strahlungsaustausch emittieren beide Seiten entsprechend ihrer Temperatur Strahlung, während der Nettofluss vom wärmeren zum kälteren System gerichtet bleibt.
Die Gegenstrahlung ist daher keine zusätzliche Energiequelle, sondern Teil dieses beidseitigen Strahlungsaustauschs im System Sonne–Atmosphäre–Boden. In der Energiebilanz reduziert sie lediglich den Netto-Strahlungsverlust der Oberfläche.
Formuliert man das physikalisch vollständig, verschwindet auch der scheinbare Widerspruch zum zweiten Hauptsatz, der aus Ihrer verkürzten Darstellung immer wieder abgeleitet wird und dann zu den bekannten Missverständnissen führt.
Herr Heß, also nun mal Butter bei die Fische. Wenn die „kältere“ Gegenstrahlung den Netto-Strahlungsverlust der Oberfläche bewirkt, bedeutet das doch eine verringerte Strahlungskühlung und bei konstanter solarer Heizleistung eine Temperaturerhöhung am Boden – im Prinzip vergleichbar mit besserer Wärmedämmung. Richtig?
Herr Dietze, sie haben meine Frage noch nicht beantwortet wie sie Wärme definieren. Das wäre die Vorraussetzung wenn Sie ein thermodynamisch konsistentes Modell vorstellen wollen. Aber gut.
Oft entsteht hier ein Missverständnis, wie bei Herrn Georgiev, weil mehrere Dinge vermischt werden. Der Ausdruck m mal c mal Delta T beschreibt nur die Änderung der inneren Energie eines Körpers, wenn sich seine Temperatur ändert. Er ist keine Definition von Wärme in der Thermodynamik. In der Thermodynamik bezeichnet Wärme vielmehr Energie, die zwischen Systemen übertragen wird, weil ein Temperaturunterschied besteht.
Zwischen Erdoberfläche und Atmosphäre findet ständig Strahlungsaustausch statt. Die Oberfläche sendet infrarote Strahlung nach oben, die Atmosphäre sendet infrarote Strahlung nach unten. Diese nach unten gerichtete Strahlung nennt man Gegenstrahlung. Entscheidend ist thermodynamisch aber nicht jede einzelne Strahlungskomponente, sondern der Nettoenergiefluss zwischen den beiden Systemen.
Da die Oberfläche in der Regel wärmer ist als die Atmosphäre, bleibt der Nettoenergiefluss weiterhin von der Oberfläche zur Atmosphäre gerichtet. Die Gegenstrahlung ist daher keine zusätzliche Energiequelle, sondern Teil dieses Strahlungsaustauschs.
Wenn die Gegenstrahlung in der Energiebilanz größer wird, bedeutet das lediglich, dass der Netto-Strahlungsverlust der Oberfläche kleiner wird. Der Energieübertrag aufgrund der Temperaturdifferenz wird also verringert. Bleibt die solare Einstrahlung gleich, steigt dadurch zunächst die innere Energie der Oberfläche, was sich formal als Temperaturanstieg ausdrückt, bis ein neues Gleichgewicht erreicht ist.
wenn man Wärme als Wärmeenergie definiert, also innere Energie kommt man zu anderen Schlussfolgerungen. Deshalb meine Frage nochmal wie definieren Sie Wärme?
Ergänzung kommt man zu anderen Schlussfolgerungen ist missverständlich. Man macht Aussagen die missverstanden werden in der Diskussion, wenn der Gegenüber eine andere Definition für Wärme. Z.b. Wärmeenergie als Wärme bezeichnet.
In vielen Diskussionen wird jedoch „Wärmeenergie“ oder einfach „Wärme“ als gespeicherte thermische Energie eines Körpers verstanden. Wenn jemand diese Alltagssprache benutzt, während der andere die thermodynamische Definition meint, reden beide faktisch über unterschiedliche Dinge.
Dann entstehen leicht Missverständnisse. Aussagen, die in der präzisen thermodynamischen Bedeutung korrekt sind, können in der Diskussion falsch verstanden werden, wenn der Gesprächspartner „Wärme“ als gespeicherte Energie interpretiert. Umgekehrt wirken Aussagen über „Wärmeenergie“ für jemanden, der streng thermodynamisch argumentiert, begrifflich unsauber.
Herr Heß, wenn bei Anstieg der Gegenstrahlung (also bei mehr ppm CO2) die solare Einstrahlung gleich bleibt, steigt dadurch die innere Energie der Oberfläche bis zu einem neuen Gleichgewicht, was sich als Temperaturanstieg („Treibhauseffekt“) ausdrückt.
Warum man dazu Wärme (vielleicht auch Temperatur, Energie, Gleichgewicht und sonstige allgemein bekannte Begriffe) definieren und hiermit unsinnige neue Diskussionen eröffnen soll, ist mir ein Rätsel. Der THE pro CO2-Verdoppelung ist real mit 0,6 Grad doch bereits quantifiziert und wird für die Berechnung von Szenarien verwendet. Einige bezweilfeln wegen des 2.HS noch ob er überhaupt existiert – und Sie wollen sich mit Definitionen beschäftigen.
Herr Dietze, wenn man ein Modell wie Sie über die Natur aufstellt, muss es thermodynamisch konsistent sein, sonst ist es nicht glaubwürdig. Deshalb sollten Sie sich damit beschäftigen. Wenn man vermutet, dass Sie den Unterschied zwischen Wärme und innerer Energie nicht kennen, weil Sie meine Frage dahingehend nicht beantwortet haben, wie soll dann jemand ihrem Modell vertrauen?
Herr Heß, was Sie hier absondern, ist das Allerletzte aus Ihrer thermodynamischen wissenschaftlich-sophistischen Wortklauberei. Z.B. den Langzeiteffekt von nur 0,00005 Grad für die Sprengung von Ibbenbüren können Sie aufgrund Ihrer theoretischen Überlegungen vermutlich nicht berechnen, aber das ist doch das was für die Leser bei EIKE und die klimapolitischen Entscheider essentiell ist.
Ihre persönliche Bewertung ändert nichts an der physikalischen Frage. In der Thermodynamik ist klar definiert, dass der zweite Hauptsatz den Netto-Wärmefluss betrifft. Beim Strahlungsaustausch emittieren beide Körper entsprechend ihrer Temperatur, sodass zwei gegenläufige Strahlungsflüsse existieren. Entscheidend ist ihre Differenz, also der Nettofluss, und dieser ist stets vom wärmeren zum kälteren System gerichtet. Modelle müssen dieser thermodynamischen Konsistenzbedingung genügen, sonst sind sie physikalisch nicht haltbar.
Also nochmal. Sie haben behauptet Clausius läge falsch. Deshalb meine Frage. Wie definieren Sie Wärme. Können Sie das eigentlich nicht beantworten?
Herr Heß, in den Zitaten von Clausius hier habe ich das Wort „Netto“ nicht gefunden. Sie glauben dass er das gemeint (!) hat und haben es ergänzt um den 2.HS zu korrigieren. Einen „Wärmefluss“ zwischen zwei Körpern verschiedener Temperatur gibt es nur bei Wärmeleitung. Strahlung hat keine Temperatur und ist ein Energiefluss (W/m²). Und dass Sie an meinen korrekten Modellrechnungen zweifeln weil ich gewisse Dinge thermodynamisch-theoretisch nicht so interpretiere wie Sie, ist grotesk.
Ich erinnere daran dass ich Sie trotz CO2-Senkenfluss =Anthro_Inventar/Tau, der beim IPCC langfristig um den Faktor 9 (!!) zu niedrig war, nicht dazu bringen konnte, die auf kompliziertere Modellierung beruhende Berner IRF-Kurve als grottenfalsch zu bezeichnen. Ihnen sind reale Ergebnisse offenbar egal, Ihnen kommt es eher darauf an dass wenn der Modellierer die Begriffe nicht thermodynamisch korrekt definiert, Sie darüber streiten können.
Sie haben recht: Das Wort „Netto“ kommt bei Clausius nicht vor. Clausius formuliert den Sachverhalt anders. Seine bekannte Formulierung lautet:
“Heat cannot of itself pass from a colder to a warmer body.”
Und er erläutert ausdrücklich, dass sich diese Aussage auch auf den Wärmeaustausch durch Leitung und Strahlung bezieht:
“In the immediate interchange of heat between two bodies by conduction and radiation, the warmer body never receives more heat from the colder one than it imparts to it.”
Der entscheidende Punkt ist, dass Clausius hier bereits einen beidseitigen Austausch beschreibt. Beide Körper tauschen Strahlung aus. Seine Aussage ist lediglich, dass der wärmere Körper vom kälteren nicht mehr Wärme erhalten kann als er selbst an ihn abgibt.
Das Wort „netto“ wird heute häufig verwendet, weil die moderne Thermodynamik den Begriff Wärme präziser fasst als zur Zeit von Clausius. Wärme ist in der modernen Thermodynamik keine Zustandsgröße eines Körpers, sondern eine übertragene Energie infolge eines Temperaturunterschieds. Liest man Clausius’ Aussage unter dieser Definition, beschreibt sie genau den Sachverhalt, der heute oft kurz als Netto-Wärmefluss vom warmen zum kalten Körper formuliert wird.
Diese begriffliche Unschärfe zieht sich tatsächlich seit Clausius durch viele Darstellungen und sogar durch manche Vorlesungen. Nicht umsonst hat Gerd Wedler diesen Punkt in seinem bekannten Lehrbuch Chemische Thermodynamik ausdrücklich klargestellt und die saubere Trennung zwischen Zustandsgrößen und Prozessgrößen betont.
Den Zweifel an ihren Modellergebnissen sähen Sie selbst in dem Sie ungenau formulieren. Clausius liegt falsch, Max Planck liegt falsch ist das ihre Aussage?
Der antike Clausius liegt nicht falsch. Er meinte tatsächlich den Nettofluss. Aber die umstrittene Frage, ob trotz Nettoabfluss von Wärme der beheizte Körper im Gleichgewicht seine Temperatur bei „kalterer“ Gegenstrahlung erhöht, hat er doch nicht beantwortet. Und dieses Fehlen wird doch von Leugnern fälschlich immer wieder so zitiert und interpretiert dass ein THE nicht existiert.
Peter Dietze 9. März 2026 8:11
Peter Dietze 16. März 2026 8:54
Ein positives Ergebnis der langen Diskussion.
Er hat sich diese Frage nicht gestellt (zumindest nicht in dem Buch, aus dem das Zitat stammt).
Nicht nur das Fehlen einer Antwort auf diese Frage … Es wird doch sogar teilweise seine Aussage zum gegenseitigen Zustrahlen („nicht nur der warme Körper dem kalten, sondern auch umgekehrt der kalte Körper dem warmen Wärme zustrahlt„) und wechselseitigen Austausch („gleichzeitig stattfindenden doppelten Wärmeaustausches „) ignoriert/fehlinterpretiert/abgestritten. Und da hilft Ihre initiale Aussage zu Clausius gerade nicht, weshalb ich darauf hingewiesen hatte …
Da kann aber Clausius nichts dafür. Viel Mehr wollte Herr Schmidt nicht sagen. Man muss aber würdigen, dass dieses „Missverständnis“ schon seit vielen Jahrzehnten bekannt und die moderne Thermodynamik die Konsequenz daraus gezogen hat und Wärme strikt als Energietransportform definiert hat. Trotzdem ist es anscheinend nicht aus der Welt zu schaffen.
Im täglichen Sprachgebrauch reden wir ständig von „Wärme im Körper“, „Wärmeinhalt“, „Wärme speichern“ oder „Wärme erzeugen“. Sprachlich klingt das so, als wäre Wärme eine Substanz oder ein Inhalt, den ein Körper besitzt. Genau dieses Bild stammt historisch noch aus der alten Kalorik-Vorstellung des 18. Jahrhunderts. Die Thermodynamik hat diese Vorstellung längst aufgegeben, aber die Sprache hat sich nie vollständig angepasst.
Ist ja auch nicht ihre Aufgabe und so muss man das immer bedenken.
Der klassische Sprachgebrauch ist historisch gewachsen und intuitiv, aber physikalisch eben unscharf. Deshalb versuchen Job und Fuchs im Grunde, das Gebäude der Thermodynamik neu aufzubauen damit Studenten gar nicht erst in diese begriffliche Falle geraten. Aber deren Konzepte sind nicht so verbreitet. An der Physik ändert sich dadurch auch nichts.
Weil der Abfluss der Waerme eindeutig festlegt, das diese Gegenstrahlung keine Erwaermug durch Strahlung erlaubt.
Wenn der Koerper seine Temperatur erhoeht,dann deshalb, weil er von einer Waermequelle erwaermt wird. In dem Falle die Sonne oder das Erdinnere.
Wenn sie eine Atmosphaere haben, die 100% CO2 ist bei 0,05 kPa dann soll der Treibhauseffekt 1 K sein.
Wie hoch ist die Gegenstrahlung und was bedeuted das?
„Weil der Abfluss der Waerme eindeutig festlegt, das diese Gegenstrahlung keine Erwaermug durch Strahlung erlaubt“
Herr Schulz, Sie haben das THE-Prinzip nicht verstanden weil Sie fälschlich glauben dass eine zusätzliche Erwärmung des Bodens nur durch einen wärmeren Körper erfolgen kann. Die anderen Möglichkeiten sind doch dass die Wärmeabfuhr behindert wird (was wir als Dämmung bezeichnen) oder dass sich mit S-B und S+∆S ein ∆T ergibt das pro CO2-Verdoppelung etwa +0,6 Grad ergibt. Ich wundere mich dass diese Kontroverse seit der Gründung von EIKE in 2007 immer noch nicht beigelegt ist.
Ich habe nichts gegen das Konzept Wärmedämmung. Sie sollten von Zeit zu Zeit lesen was ich frage.
Die Fragen die sie noch beantworten können:
Wie ergibt sich der Wärmedurchgang in der Atmosphäre?
Wie wird die Dicke der Wärmedämmung bestimmt?
Was halten sie von der geringen Wärmeleitung der Luft?
Das liegt an der extrem geringen Eindringtiefe von Infrarotstrahlung in Wasser von lediglich Mikrometern (10^-6m) in das Oberflächenwasser der Weltmeere, dem sogenannten Skin-Layer. Das ist exakt der Ort wo Verdunstung stattfindet!
Damit geht die gesamte Energie der Gegenstrahlung in die Verdunstungswärme ein, die erst die Enthalpie der Bodenluft erhöht um dann zum größten Teil in die Volumenarbeit der adiabatischen Konvektion überzugehen.
Damit kann sich dann folglich keine Erwärmung ergeben und Gegenstrahlung kann damit auch zu keiner Erhöhung der Enthalpie der Weltmeere oder auch nur ihrer Mischschicht ergeben.
Damit trägt die gesamte Energie der Gegenstrahlung letztendlich über Verdunstung zur Kühlung des Oberflächenwassers der Weltmeere bei, die bekanntlich 71% der gesamten Erdoberfläche bedecken!
Der THE von angeblich 33°C ist in Realita schlicht ein Abkühlungs-Brems-Effekt (ABE) von 36,5°C der 3-stufigen Entalpie-Hierarchie des Systems Erde (Weltmeere, Landmassen & Erdatmosphäre). Klima&Kälte-Techniker nennen das schlicht Wärmeisolierung u.a. durch die Atmosphäre mit ihrem Wärmedurchlasswiderstand von 0,153 m^2*K/W, wodurch aus 410,4 W/m^2 an der Erdoberfläche nur noch 238 W/m^2 an der TOA übrigbleibt.
Dazu bedarf es also gar keiner Erfindung einer sogenannten gravitationsbedingten „Abstrahlungshöhe“, die angeblich bei 5 km liegen soll (Quotient von 33°/Lapse-Rate vpn 6,5°C/km für feuchte Luft in der Triposphäre).
Denn der Elephant im Raum der Klimaretter sind die Weltmeere, die 71% der gesamten Erdoberfläche bedecken, und mit ihrer gigantischen Enthalpie ein Auskühlen der Erdkruste auf -129°C (lt. Prof. Gehrlich) auf der Nacht-Hemisphäre verhindert und damit die auf der Nacht-Hemisphäre natürlicherweise fehlende Sonneneibstrahlung quasi ersetzt.
Den hier von mir genannten ABE von 36,5°C ergibt sich aus der Flächengewichtung der Strahlungs-Temperaturen SST mit 20°C (71%) und NST von 15°C (29%) zu 18,5°C (410,4 W/m^2) als globale Erdtemperatur. Die damit mit 3,5°C über NST eh schon von Anbeginn deutlich über dem Klimaziel von nur 1,5°C des Pariser Klimaabkommens liegt.
Damit lag und liegt die Oberflächentemperatur der Weltmeere im den Tropen mit SST bon 20°C schon quasi immer an ihrer thermischen maximal möglichen mittleren Strahlungs-Temperaturwert der Sonneneinstrahlung von 29,6°C (476 W/m^2). Die Differenz von 9,6°C erklärt sich durch den thermischen Glättungseffekt der 3-stufigen Enthalpie-Hierarchie des Systems Erde, und der Konvektion mit Advektion, die überschüsdige Wärme aus den Tropen in Richtung beider Erdpole abtransportiert.
Eine Schellnhuber’sche „Selbstberbtennung“, so sein Buchtitel, muss damit auch zum Leidwesen von Mojib Latif wohl ausfallen, da die Physik der Thermodynamik, die von Klimarettern immer gern unterschlagen wird, es einfach nicht hergibt.
Herr Vetter, ich gratuliere Ihnen zu einer weiteren Neuerfindung um die THE-Nichtexistenz durch Ozean-Verdunstung und atmosphärische Isolation sowie z.T. Vernichtung der Durchstrahlung zu erklären. Klar dass Wasserdampf den CO2-Effekt reduziert, aber auch ein Feedback durch Erhöhung der Gegenstrahlung liefert. Klar ist auch dass Sie S-B und HITRAN („Strahlenkasper“ bei Georgiev) ausklammern, aber leider nicht ECS erklären können, nämlich die langfristige Erhöhung der Bodentemperatur um real etwa +0,6 Grad pro CO2-Verdoppelung.
Herr Dietze,
HITRAN-Daten sind doch Labordaten oder?
Strahlenkasper Dietze, mann muss nur mit nicht zugeknöpften Augen und funktionierendes Hirn die Natur beobachten, um den Schwachsinn der Strahlenkasperei zu erkennen. So zum Beispiel sinkt die Temperatur am Land nachts rund um 20 Grad, im Wasser höchstens 1 Grad, bei gleicher Strahlenbilanz. Man muss ja nicht einmal die Thermodynamik bemühen, die hier bei fast allen ein Buch mit 7 Siegeln ist, es reicht zu denken.
“ …nämlich die langfristige Erhöhung der Bodentemperatur um real etwa +0,6 Grad pro CO2-Verdoppelung“
Da ist nichts „real“, es ist Glaube unter Auschluß der Wirklichkeit der Erdgeschichte. In der Erdgeschichte ist aufgrund der Photosynthese von Algen und vor allem Cyanobakterien der Sauerstoff kontinuierlich von 0 auf 20% gestiegen (müsste jeder wissen), im Gegenzug ist CO2 von geschätzt 17% auf knapp über Null (0,1-0,03%) gesunken. Könnte auch jeder wissen, der 3 Sekunden nachdenken kann, voher der viele Sauerstoff herkommt. Die Temperatur dagegen war konstant 10 Grad wärmer, unterbrochen von Eiszeiten aller rund 250 Mio Jahre , mit Temperaturen 10 Grad kälter als heute. Also komplett unabhängig vom CO2 Gehalt (zwischen 17 und 0,03%) auf einmal 20 Grad runter, und beim gleichen CO2 Gehalt wieder 20 Grad hoch.
Also die Erdgeschichte hat eindeutig einen signifikanten Einfluß von CO2 auf Klima als nicht existent bewiesen. Hömoopatische Veränderungen von CO2 und Temperatur in winzigen Zeiträumen, die ähnlich sind, ändern daran nichts.
Der einzige Grund für die Existenz der Gegenstrahlung ist, dass Strahlenkasper sonst arbeiten gehen müssten, es ist aber schöner, am Computer zu spielen und den Weltuntergang zu verkünden.
Herr Dietze, das wäre der Ehre einfach zuviel! Die Thermodynamik hat der gute Prof. Dr. Ludwig Boltzmann an der Universität Wien entwickelt. Diese Ehre soll doch besser diesem verdienten Manne zukommen, nicht wahr?
Erkennen sie denn gar nicht schon selbst den logischen Widerspruch der beiden Werte SST mit >20°C und NST mit (angeblich) nur 15°C?
Wenn man beide globalen werte flächengewichtet liegt man bei 18,5°C (410 W/m²) … warum glauben sie weisen die Weltmeere eine Oberflächen-Temperatur auf, die 5°C höher liegt als die der kontinentalen Landmassen? …
„Langfristige Erhöhung der Bodentemperatur“ ist ein 29% Argument und spielt wirktechnisch auch auf den kontinentalen Landmassen keine messbare Rolle!
ECS wird allein (!) durch die Höhe der TSI, also dem Wert der Solarkonstante mit 1.361 W/m² bestimmt, denn auch sie wissen doch, das Strahlungs-Temperaturen z.B. 1.361 W/m² ./. 30% Albedo am subsolaren Punkt mit 953 W/m² die theoretische Maximal-Temperatur von 87°C ergibt und das Strahlung, die auf Materie trifft, wie das Sonnenlicht die Erde, den Konvergenzwert und damit die Gleichgewichts-Temperatur der Erde bestimmt. Da kann es nun mal kein inertes „Aufheizen“ geben.
Und da thermische Prozesse wie Erwärmung & Abkühlung nun einmal mit Differentialgleichungen ERSTER Ordnung beschrieben werden kann es auch zu keiner Art von „Einschwing-Vorgängen“ kommen!
Damit sind die Ozeane in den Tropen energetisch schon am obersten theoretisch möglichen Anschlag seiner Enthalpiewertes angekommen.
Mehr Erwärmung wäre nur durch Erhöhung der TSI möglich. Dann ist man aber bei der Exzentrizität der Erdumlaufbahn der Erde um die Sonne (Aphel & Perihel) und nicht bei Gegenstrahlung.
Wasserdampf „Feedback“ ist ABKÜHLUNG durch stärkere Wolkenbildung und erhöhter Niederschläge, die die Erdoberfläche kühlen! Also nix mit Klimaretter-Feedback.
Herr Heß, es ist sehr menschlich von ihnen, Herr Dietze ihren Langmut angedeihen zu lassen, aber wenn diese Grundlage nicht bekannt, akzeptiert oder negiert werden kann, lohnt sich die Diskussion?
Ich habe mir vorgenommen nichts persönlich zu nehmen. Und Herr Dietze stellt ja interessante Modelle vor die man gut diskutieren kann. Ist doch wie am Stammtisch früher.
Herr Dietze,
den THE gibt es nur in der Kiehl-Trenberth-Bilanz, denn die beschreibt die sie beschreibt nur eine Erde aus zwei Tag-Seiten.
Die Erde besteht aber aus einer Tagseite und einer Nachtseite und benötigt daher keinen THE.
Herr Kuck, Prof. Gerlich hat doch (ebenso wie Uli Weber) für die Tagseite einer nicht rotierenden Erde einen solaren Mittelwert von +15 Grad berechnet. Die Nachtseite hat dann -273 Grad und der globale Mittelwert wäre -129 Grad. Ohne THE hätte die rotierende (isotherm angenommene und ideal speichernde) Erde -18 Grad. Damit wird ein THE von +33 Grad benötigt.
Herr Dietze,
gibt es
die Tagseite einer nicht rotierenden Erde
überhaupt.
Die Tagseite und die Nachtseite der Erde rotieren ständig einmal am Tag um die Erde. Dabei liegen unter der Tagseite und der Nachtseite ständig andere Teile. Ich betrachte nur die rotierenden Tagseite und Nachtseite. Daher ändern sich auf der Tagseite und auf der Nachtseite nur unwesentlich ihre Temperaturwerte.
Die Tagseite wird ständig von der Sonne mit 470 W/qm bestrahlt. Das reicht aus, damit die Tagseite 293 K warm ist. Ein zusätzlicher THE wird nicht benötigt. Da die Treibhausgase auf der Tagseite nicht wirken, wirken sie auch nicht auf der Nachtseite.
Stattdessen bewirken die nächtlichen Wolken für die Nachtseite eine Gegenstrahlung von 310 W/qm, so dass die Nachtseite 283 K warm bleibt.
Herr Kuck, Ihre Rechenwerte sind offenbar falsch. Tatsache ist dass z.B. am Äquator (ohne THE durch Gegenstrahlung, mit Albedo) die solare Strahlungstemperatur um 12:00 +87 Grad beträgt und von 18:00 bis 6:00 -273 Grad. Bei Rotation ergibt sich durch die Speicherung ein berechneter wellenförmiger Verlauf der um 24:00 -3,5°, um 8:00 -8,5°, um 12:00 -3°, um 16:00 +2,5° und als Mittelwert über Tag/Nacht etwa -3 Grad (!) aufweist. Wenn Sie dazu einen THE durch Gegenstrahlung von 33 Grad addieren, ergibt sich in etwa der realeTemperatuurverlauf.
Herr Dietze,
wenn man zur Sonneneinstrahlung zusätzlich eine Gegenstrahlung addiert, wird die Tagseite doch wärmer.
(Dietze)
die solare Strahlungstemperatur um 12:00 +87 Grad beträgt und von 18:00 bis 6:00 -273 Grad.
Sie haben vergessen, dass die nächtlichen Wolken (Gegenstrahlung 310 W/qm) die Nachtseite „warm“ halten.
Das Jahresmittel der Temperatur der Tagseite beträgt 293 K und der Nachtseite 283 K. Die mittlere Erdtemperatur ist 288 K.
In Wetter“-Apps können Sie den Verlauf der Erdtemperatur ansehen. Im Mittel liegt die Differenz zwischen Tag und Nacht unter 10 K.
Herr Kuck, hier ist der berechnete rein solare Temperaturverlauf (ohne Gegenstrahlung von Wolken und THG am Äquator mit Albedo und Speicherung 350 Wh pro m² und K) mit den Strahlungswerten im Viertelstundenraster und dem Mittelwert von etwa -3 Grad. Wenn Sie jeweils 33 Grad THE addieren, ergibt sich der reale Temperaturverlauf über Tag und Nacht.
Herr Dietze,
das ist eine Fehleinschätzung. Auf der Tagseite wird es kälter, weil die Albedo um 0,25 größer ist und auf der Nachtseite sorgen die nächtlichen Wolken für eine Gegenstrahlung von 310 W/qm.
Herr Dietze,
(Dietze)
Die realistische Gegenstrahlung auf beiden Seiten der Erde am Äquator ist meine violette Abstrahlung x 4 x 0,58 in W/m².
Treibhausgase erzeugen in Wirklichkeit keinen Treibhauseffekt.
Das schafft nur die Kiehl-Trenberth-Bilanz, die eine Erde aus zwei Tagseiten betrachtet.
In Wirklichkeit gibt es eine Tagseite, die von der Sonne mit 470 W/qm bestrahlt wird ( ohne einen Treibhauseffekt) und eine Nachtseite, die von nächtlichen Wolken (310 W/qm) „warm“ gehalten wird.
(Dietze)
Am 15. März um 9:00 sagten Sie dass es auf der Tagseite und auch auf der Nachtseite keinen THE gibt – aber am 9. März um 20:24 wirkten Ihre Wolken nachts fast so stark wie eine zweite Sonne (welche ja bei Uli Weber fehlt) und Ihre Nachtseite lag mit 282,9 K nur 9,9 K unter der Tagseite.
Meine Werte beziehen sich auf die gesamte Tagseite und die gesamte Nachtseite der Erde. Und sind korrekt.
Einfach 33 K hinzu zufügen ist zu einfach.
Für die Tagseite dürfte die Albedo größer sein (wegen Wolken), die Temperatur also geringer und auf der Nachtseite wärmer, weil Wolken
die Nachtseite warm halten.
Suchen Sie bei Wikipedia einen Ort in der Nähe des Äquators und sehen sich die Klimatabellen an. Und Sie müssen die Höhenlage des Ortes beachten
„In Wirklichkeit gibt es eine Tagseite, die von der Sonne mit 470 W/qm bestrahlt wird (ohne einen Treibhauseffekt)“
Herr Kuck, Ihre Tagseite hat ohne THE im Mittel 292,8 K und die Nachtseite 282,9 K. Wie Sie das berechnet haben ist mir ein Rätsel. Ich habe den Verdacht, Sie haben (wie Uli Weber) fälschlich eine nicht rotierende Erde angenommen und die Abkühlung der vom Ozean warmen Nachtseite drastisch durch Gegenstrahlung der Wolken (obwohl Ihre G. ja nicht wärmt) auf 9,9 Grad reduziert.
Ich habe bei einem Einstrahlungsmittelwert von 477,4 W/m² MIT ERDROTATION, Albedo und Speicherung (am Äquator, solar, ohne Gegenstrahlung) als Mittelwert über Tag/Nacht korrekt -3 Grad berechnet, wie Sie meiner Excel-Grafik entnehmen können. Ihre Werte passen überhaupt nicht dazu. Eine Anhebung meiner Rechenwerte in den beobachteten Bereich erfordert einen THE von etwa 33 Grad.
Herr Dietze, die Temperaturen stammen aus Klimatabellen, soweit ich das verstanden habe.
Herr Dietze, sie scheinen die physikalische Bedeutung des Begriffes „Strahlungstempetatur“ gar nicht zu kennen.
Eine Oberflächen-Temperatur ist auch immer instantan eine Strahlungs-Temperatur, egal ob im thermischen Gleichgewicht oder nicht.
Aber eine Strahlung [W/m^2] hat gemäß Inversion des SBG auch immer instantan eine Strahlungs-Temperatur [K], aber ist und bleibt Strahlung und ist eben nicht Tempetatur!
Erst wenn die Strahlung von Materie absorbiert wird, beginnt der entsprechende Erwärmungsprozess, der nach mehreren Zeitkonstanten eine Oberflächen-Temperatur ergibt, die sich der Strahlungs-Temperatur der Strahlung als ihre thermische Gleichgewichts-Temperatur annähert.
Herr Vetter, wenn ich die Bedeutung der Strahlungstemperatur nicht kenne, wie soll ich dann mit solaren max. 955 W/m², S-B und der genannten Speicherkonstanten bei rotierender Erde am Äquator um 12:00 -3 Grad Oberflächentemperatur berechnen? Sie sprechen doch selbst am Tag vom Erwärmungsprozess (dem ja ein nächtlicher Abkühlungsprozess folgt), aber scheinen meine sequentielle Berechnung des Temperaturverlaufs im Viertelstunderaster ohne Gegenstrahlung garnicht verstanden zu haben.
Ich vermute, auch die Herren Kuck (nur Gegenstrahlung von Wolken bei Nacht) und Weber (keinerlei Gegenstrahlung, keine Erdrotation, Tagseite) können nichts damit anfangen. Aus meiner violetten Kurve der Abstrahlung (etwa 58% von 76•4 W/m²) können Sie den Verlauf der additiven Gegenstrahlung am Äquator über Tag und Nacht ermitteln.
Wenn sie am
Liegen sie unbedingt richtig, oder? Das ist auch die gemessene Temperatur um 12 Uhr?
Herr Schulz, wie wollen Sie denn eine Temperatur ohne Gegenstrahlung messen? Wenn die 176 W/m² ist und Sie die zu 304 W/m² addieren (oder etwa 33 Grad), kommen Sie mit S-B auf +30,2 Grad.
Zum Messen nehme ich ein Thermometer. Und Strahlung addieren ich nicht. Wie soll das gehen?
Peter Dietze 18. März 2026 11:06
Sie zeigen ja nur das Ergebnis, aber nicht die Berechnung selbst. Es ist irgendwie schwer, etwas zu verstehen, was Sie gar nicht zeigen …
Herr Schmidt, es ist eine ganz elementare sequentielle Rechnung. Wenn dem Speicher mit 1 m² und -3 Grad eine Viertelstunde 955 W/m² zugeführt werden, erhöht er seine Temperatur um 955/4/350=0,68°. Und das was er nach S-B gleichzeitig abstrahlt, ist -301/4/350=-0.21°.
Peter Dietze 18. März 2026 16:11
Aehm, ich weiss wie man das rechnet. Meine Anmerkung bezog sich darauf, dass Sie das Diagramm zeigen, ohne die dazu gehörende Berechnung zu beschreiben.
Das ist die Beschreibung eines Zeit-Schrittes gegen Mittag, oder?
Und auch hier muss man sich die Physik hinter den Zahlen selbst zusammensuchen (Winkelabhängige Einstrahlung der Sonne, Wärmekapazität, temperaturabhängige Abstrahlung) und macht sich dabei auch noch einen Knoten ins Hirn, weil Sie die Wärmekapazität in Wh/K statt J/K angeben und basierend darauf rechnen …
Herr Schmidt, Sie haben m.E. erkannt dass man für den Temperaturverlauf nicht einfach eine Formel angeben kann und ich daher ein auf S-B beruhendes Beispiel für einen elementaren Zeitschritt (um 12:00 für 15 min) geliefert habe.
Aber dass Sie noch eine Erklärung für die solare Sinuskurve, den Temperaturanstieg und die Abstrahlung nach S-B sowie eine Speicherangabe in J/(m²K) benötigen, obwohl bekanntlich ein J eine Ws ist und eine h 3600 s hat – womit ich den Kommentar nicht volltexten wollte – lässt auf etwas Denkfaulheit bei Ihnen schließen.
Immerhin haben Sie Herrn Vetter erklärt dass mein eingeschwungener Zustand durch die passende Wahl des T-Startwerts (!) erreicht wurde. Das ist bei meinem Verfahren sinnvoll, aber nicht nötig, denn bei einem anderen Startwert stellt sich der eingeschwungene Zustand nach längerer Zeit von selbst ein.
Peter Dietze 18. März 2026 21:13
Ich kann das selber rechnen, ich brauche dazu Ihre Erklärungen nicht. Aber Sie werfen gern anderen – hier z.B. Herrn Vetter – vor, dass die Ihre Berechnungen nicht verstehen. Sie zeigen allerdings Ihre Berechnungen nicht oder nur wie hier Zahlen ohne Einheiten.
Schreiben Sie doch die drei verwendeten Gleichungen und ihre Eingangsgrößen einfach mal irgendwo verständlich auf und verweisen Sie dann darauf. Dann haben alle was davon.
Hans J. Vetter 17. März 2026 22:29
Genau das sehen Sie in dem Diagramm von Herrn Dietze. Wenn die Intensität der Sonnenstrahlung einen Wert erreicht, der größer als die temperturabhängige Abstrahlung ist, beginnt die Erwärmung der Eroberfläche – die Temperatur steigt. Geht die Sonne unter, überwiegt irgendwann die Abstrahlung, die Temperatur fällt.
Das Disgramm ist der Zustand nach mehreren Zeitkonstanten (oder einen gut gewählten Startwert für T).
Ich denke allerdings auch, dass der Graph ohne die zur Berchnung verwendeten Formeln immer wieder für Unklarheiten sorgt …
Heß, bin praktisch der Einzige hier, der den 2.HS richtig versteht. Dieser sagt aus, jede Form von Energie fließt vom höheren zum tieferen Niveau. Temperatur ist nur das Maß für das Niveau von Wärmeenergie.
Kaltes Wasser fließt im Wasserkraftwerk von oben nach unten, der dadurch erzeugte kalte Strom fließt vom höheren zum tieferen Potential, in der kalten Mikrowelle wird meine Suppe heiß. Kaltes Wasser macht Suppe heiß, dabei verliert dieses Wasser potentielle Energie, also stimmt der 2.HS doch. Unabhängig von der Temperatur.
Ob du Strahlung Wärmeenergie nennen interessiert die Thermodynamik nicht. Wärmeenergie wird es erst, wenn die Strahlungsenergie vom Materie aufgenommen wird.
Belehrung über Thermodynamik hab ich nicht nötig.
Anscheinend doch.
Temperatur ist thermodynamisch definiert über dS/dU = 1/T also über die Änderung der Entropie mit der Energie.
Temperatur ist kein Maß für Wärme. In der Thermodynamik ist Wärme kein Zustandsinhalt eines Systems, sondern ein Prozessbegriff: Sie bezeichnet Energie, die aufgrund eines Temperaturunterschieds zwischen Systemen übertragen wird. Ein System besitzt daher keine „Wärme“.
Der Energieinhalt eines Systems wird durch die innere Energie beschrieben. Das, was umgangssprachlich oft als „Wärmeenergie“ bezeichnet wird, gehört physikalisch zur inneren Energie des Systems und ist nicht mit dem thermodynamischen Begriff der Wärme gleichzusetzen.
Aber ich weiß natürlich, dass die Schulen und auch die Unis in den Nebenfächern da gerne didaktische Abkürzungen gehen.
Ich kann es auch:
Habe Diplom der Fachrichtung „thermischer und hydraulischer Maschinenbau“ in der Sektion „Energieumwandlung“ der TU Dresden. Daher muss ich heulen bis lachen über alle Temperaturdiskussionen hier auf Eike.
Melde dich wieder, wenn du einen gleichwertigen Abschluss hast, und lass bis dahin Profis mit deinem Schmarrn in Ruhe!
Wenn das alles ist, erklärt es, warum Sie den Treibhauseffekt nicht verstehen; Sie haben die dafür notwendige Thermodynamik nicht erlernt. Maschinenbauern wissen üblicherweise nichts von statistischer Physik und Quantentheorie. Um das Strahlungsfeld zu verstehen, muss man dies aber beherrschen.
Ihr Auswurf ‚Strahlenkasperei‘ will also ausdrücken, dass Sie mit dem Thema überfordert und unzufrieden mit Ihrem unzureichendem Wissensstand sind. Sie müssen sich einfach weiterbilden.
Ja das habe ich auch beobachtet. Thermodynamik im Nebenfach geht leider oft didaktische Abkürzungen.
Heini und Günter, ihr könnt nicht einmal Wärme in Joule von Strahlung in W/m2 auseinander halten und wollt jemanden belehren, der zig Wärmeprozesse berechnet hat. Wessi Überheblichkeit um Unwissen zu übertünchen, sonst nichts!
Selbst ein Volltrottel versteht, wenn ein schwarzer Gegenstand neben einem Spiegel auf der Terrasse liegt, wird im Schwarzen die Strahlungsenergie ( im Idealfall) zu 100% in Wärme umgewandelt, während der Spiegel daneben die gleiche Strahlung (im Idealfall) zu 100% die Strahlung reflektiert ohne Energie aufzunehmen! Die Ölscheichs lassen sich nicht von Strahlenkasper beeinflussen sondern kaufen weiße Autos anstatt schwarze, weil es in Schwarzen heißer wird. Wo ist in euren SB und KT Bibel die Farbe enthalten? Über die Erwärmung der Oberfläche sind eine Menge Faktoren, u.a. Farbe abhängig, Wellenlänge und der Großteil eurer Kasperei Nebensache!
Dass Strahlenkasper Licht Wärme nennen liegt daran, dass sie keine Ahnung von Thermodynamik haben. Und die Strahlenkasper-Physik vergewaltigt die Thermodynamik wahrscheinlich, um dem Humbug einen wissenschaftlichen Tatsch zu geben!
Was auch immer ihr für ein Unsinn hier schreibt, man kann Joule nicht mit W/m2 addieren, da es absolut unterschiedliche Größen sind. Dass Strahlen in Wärme und zurück umgewandelt werden und damit Erwärmung bzw. Abkühlung verursachen, steht nicht zu Debatte. Es sind Energieumwanlungsprozesse, die hier niemand beschreiben hat und nicht richtig berechenbar sind. Und paar Strahlenformeln und erst recht KT Bildchen haben sehr wenig mit den wirklichen thermodynamischen Prozesse am Land, im Meer und in der Luft zu tun!
Sind sie sicher, das sie für die Gase der Atmosphäre die Quantentheorie bemühen müssen?
Die Quantentheorie schon (z.B. das Plancksche Strahlungsgesetz oder die Übergangsmatrixelemente optischer Übergänge), die Quantenfeldtheorie nicht.
Was wollen sie damit darstellen?
Ich habe damit Ihre Frage beantwortet.
Wenn sie meinen!
Peter Georgiev 14. März 2026 19:01
Ich habe aus Neugier mal in der Geschichte des Lehrstuhls Maschinenbau der TU-Dresden gestöbert. Die Sektion Energieumwandlung wurde 1968 gegründet und entstand unter anderem aus dem Institut für Wärmetechnik und Wärmewirtschaft. Dessen langjähriger Direktor (1950 bis 1967) Professor Dr.-Ing. Dr.-Ing. E.h. Werner Boie führte 1931 den ersten Strahlungsüberhitzer ein (Geschichte des Lehrstuhls Maschinenbau, S. 25). Bei diesem befindet sich der Überhitzer im Brennraum (statt im Abgasstrom) und nimmt Wärme auch über Strahlung auf. (Man verzeihe mir meine evtl. laienhafte Wiedergabe). Ich kann mir irgendwie nicht vorstellen, dass das Wissen über die Bedeutung des Strahlungstransfers bei der Neugründung der Sektion verloren gegangen ist. Entweder ist Herr Gregoriev nicht mit diesem Thema in Berührung gekommen, hat es vergessen oder schlicht in der Vorlesung geschlafen …
Herr Georgiev,
Das ist schon mal grundlegend falsch. Herr Georgiev, die Physik ist da eindeutig. Sie wissen gar nicht, dass die eigentliche Thermodynamik jenseits Ihrer primitiven Schulphysikkenntnissen beginnt.
Davon reden wir hier gar nicht. Sie haben nicht verstanden, dass Sie den thermodynamisch grundlegend wichtigen Begriff Wärme gar nicht kennen, wenn Sie hier nur versuchen, die Begriffe Strahlungsenergie und innere Energie gegeneinander auszuspielen. Alle drei Begriffe sind physikalisch wohldefiniert aber Sie kennen aus der Schule nur die Wärmeenergie.
Heini, gehe in die Kita Legosteine stapeln oder mit weiteren Strahlenkasper Strahlen sortieren! Im Gegensatz zu dir, und fast allen hier, habe ich Thermodynamik als Hauptfach studiert und bekomme Krätze, wenn ich die wirren „Temperaturberechnungen“ und weitere Behauptungen zum Thema Energie hier lesen muss!
Siehe oben. Mit Ihrem Gebahren helfen Sie Ihren Defiziten nicht.
GEBAREN!!! Ordnung muss sein! Heinemann ….
Herr Heinemann,
werden Sie doch Vorbild und beseitigen Ihre zahlreichen Lücken.
Damit haben Sie also die Hypothese vom DDR-Abitur anschaulich widerlegt. Sehr instruktiv.
Günter Heß 15. März 2026 9:59
Ohne die Hypothese werten zu wollen …
Herr Georgiev hat – wenn ich das richtig verstanden habe – sein Abitur nicht in der DDR gemacht, sondern lediglich dort studiert.
Herr Tengler und Herr Georgiev zeigen beide, dass man trotz Bildung in der DDR falsches von sich geben kann. Am vermittelten Abiturstoff kann das IMHO nicht liegen. In Physik wurde mir beigebracht, dass Temperatur, Druck, Dichte, innere Energie Zustandgrößen und Arbeit, Wärme Prozessgrößen sind. Man kann sich hier die Schulbücher als pdf ansehen.
Ich halte nur die Verallgemeinerung das DDR Abi garantiere individuell eine bessere Bildung als andere Schulsysteme für widerlegt.
Es reicht halt nicht, dass es im Curriculum steht.
Bildung ist individuell und äußert sich vor allem auch im Diskussionsstil. Deshalb halte ich ja die DDR Abi These für widerlegt. Es wurde ja vielleicht gelehrt was sie schreiben, die Frage ist aber ob die Lehre wirkungsvoll war.
Ich bin mir nicht ganz sicher, warum Sie das jetzt nochmal „hervorheben“. Soll ich mich zu der These äußern, die nicht von mir stammt und die ich auch für falsch halte? Mein Kommentar lieferte doch gerade Informationen, die die Diskrepanz zwischen gelehrtem und hier vertretenem aufzeigt.
Allgemein würde ich bei dem bleiben, was ich neulich zu einer Ost/West-Diskussion geschrieben habe: „Allerdings ist das hier IMHO generell nicht das Format für eine differenzierte Betrachtung. Da prallen von allen Seiten Vorurteile und Pauschalisierungen aufeinander bzw, werden als solche empfunden.„
Herr Heß, Sie scheinen sich aufgrund „grundlegenderer persönlicher Probleme“ besser zu fühlen, wenn Sie mit „Fremdwörtern“ herumschmeißen können 😉 , ….. eigentlich nicht zum Lachen … 🙁 , gelle ….
Steile These, Herr Schmidt!
Zumindest haben sich Georgiev und Meinereiner in der „Nachwendewelt“ aufgrund der DDR-Ausbildung bestens geschlagen, auch ohne den Schauspielunterricht.
Es wäre nun höchste Zeit, dass der „westschlaue“ Leon mal etwas aus aus seiner „Biografie“, insbesondere zum derzeitigen Brötchengeber, herausläßt!
Wetten, dass nix kommt!
BTW: Falsches wird groß geschrieben (… aber kann nach 15 Jahren zum ABI ja mal passieren ;-)))) ).
Ulrich Tengler 19. März 2026 18:21
Sie finden noch jede Menge mehr Tippfehler in meinen Kommentaren.
Aber das Sie jetzt auch noch Schwierigkeiten mit dem Rechnen haben, überrascht mich dann doch. Die Wiedervereinigung war 1990, also muss mein ABI mindestens 35 Jahre zurückliegen, was deutlich größer als 15 Jahre ist …
OCH Leon, wenn DAS alles ist, was Sie können, das geht mir sowas vom am Allerwertesten …. in die Schüssel … , gelle 😉
Einen habe ich noch. Wärmeenergie wird in der physikalischen Einheit Joule berechnet, Strahlung nicht. Gleichzusetzen ist Unfug, versteht sogar der, der Physik abgewählt hat.
Herr Georgiev,
Strahlung nicht…so ein Blödsinn.
Natürlich bestehen eindeutige mathematische Beziehungen zwischen den Strahlungsmessgrößen wie die Bestrahlungsstärke und der Größe Energie in Joule. So entsteht die Bestrahlungsstärke F in W/m2 einer elektromagnetischen Welle der Frequenz f aus dem Fluß von n Photonen pro Sekunde und m² (Einheit 1/sm²). Für die Bestrahlungsstärke F gilt dann der Zusammenhang F = n×h×f.
Lernt man als Normalomaschbauer nicht. Also müssen Sie es nacharbeiten.
Ich sollte noch – wobei das auch gebildete Ingenieure wissen – noch erwähnen, wie der Bezug zur Energie zustandekommt: Ef=h×f ist die Energie (in Joule, h = 6.6e-34 Js)) eines Photons mit Frequenz f (in s-1). Also hat die Strahlung mit dem Strahlungsfluß von n Photonen die Bestrahlungsdichte F = n×Ef in W/m².
Sie wissen schon was eine physikalische Größe und seine Einheit ist?
Strahlung ist physikalisch nichts anderes als eine Form von Energieübertragung. Die Einheit Joule bleibt dabei vollständig erhalten. Der Unterschied liegt lediglich darin, wie diese Energie beschrieben wird. Bei Strahlung betrachtet man meist den Energiefluss, also Energie pro Zeit und Fläche.
Die typische Größe ist die Bestrahlungsstärke , gemessen in Watt pro Quadratmeter (W/m^2). Ein Watt entspricht einem Joule pro Sekunde. Damit ist klar, auch Strahlung wird letztlich in Joule beschrieben, nur eben als Energieflussdichte.
Man kann das auch direkt aus der Quantenphysik herleiten. Elektromagnetische Strahlung besteht aus Photonen, und jedes Photon trägt eine Energie von
E=h * f
wobei h das Plancksche Wirkungsquantum und f die Frequenz ist.
Wenn nun n Photonen pro Sekunde und Quadratmeter auftreten, ergibt sich die Bestrahlungsstärke zu
F=n * h * f
Diese Größe hat die Einheit Watt pro Quadratmeter, also Joule pro Sekunde und Fläche.
Damit ist eindeutig, Strahlung ist Energie, sie wird in Joule beschrieben und die üblichen Strahlungsgrößen sind lediglich zeit- und flächenbezogene Darstellungen dieser Energie
Der Unterschied zwischen „Temperatur in Grad“ und „Energie in Joule“ ist also kein Widerspruch, sondern eine Frage der Beschreibungsebene. Temperatur ist eine Zustandsgröße, während Strahlung den Energiefluss beschreibt
Wie nennt man einen Volltrottel in Physik, der Licht und Wärme nicht ausenanderhalten kann aber sich für Physiker hält:
a) Heinemann
b) Heß
c) Dummkopf
d) Strahlenakrobat
Herr Georgiev,
in unserer Konversation zwischen Heß, Ihnen und mir sind Sie der einzige von uns uns dreien, der Licht und Wärme nicht physikalisch korrekt auseinanderhält.
Die Tatsache, dass Strahlung Energie überträgt, macht daraus keine Wärmeübertragung. Heß und ich haben Ihnen den Unterschied zwischen Wärme, innerer Energie und Strahlungsenergie mehrmals erklärt. Offenbar fruchtlos.
Hat Ihnen Ihre DDR Erziehung vielleicht mehr eingetrieben als Ihnen bewußt ist, indem Sie Ihnen die Fähigkeit austrieb, objektiv zu denken, Tatsachen und Fakten zu bedenken und stattdessen anerzogen, einem ideologiegetriebenem Wunschdenken zu verfallen?
In totalitären Staaten versuchen die Machthaber sich ja mit Wunschdenken und Ideologie über Wasser zu halten. Es scheint, dass das bei Ihnen gewirkt hat und Sie ein treuer und verbohrter Ideologe wurden.
;-)))) , dass der Michael das „durchgelassen“ hat …… 😉
Ich erinnere an mein Beispiel vom Rhein ff.: Wasser fliest für die Strahlenakrobaten bergauf und bergab, NETTO kommt etwas in der Nordsee an ….. 😉
Ich hätte ja zumindest mal eine Reaktion vom „Ober-Füsigger“ erwartet, aber wahrscheinlich ist mein Beispiel zu entblößend für seine „Ansichten“ …. 😉
Einen „Heinemann“ (ff.) sprachlos zu sehen ….. 😉 , ist wohl in seinen kruden „Modellen“ nicht vorgesehen ….
Ich greife das mal auf.
Wenn der Fluss mit 300 l/min in Richtung Nordsee fließt und bergauf eine Fließgeschwindigkeit von 20 l/min annimmt, dann kommen am Ende 280 l/min in der Nordsee an?
Wenn jetzt aber bergauf die Fließgeschwindigkeit 40 l/min ist, dann muss der Fluss mit 320 l/min in Richtung Nordsee Flüssen, damit wieder 280 l/min ankommen.
Beschreibt das nicht das Dilemma in der die Treibhauseffekterklärung anhand von Gegenstrahlung steckt?
Zeigt das nicht das es nicht darum gehen kann ob es strahlt sondern wieviel es strahlt und warum?
Eines sollte klar sein, das Wasser fließt in Richtung Nordsee.
Wenn Sie mal ein einem Bach /Fluss waren und objektiv beobachtet hätten, dann hätten Sie folgendes gesehen:
Das Wasser fließt nicht nur in Richtung ‚bergab‘ es gibt da teilweise beachtliche Gegenströmung. Nur in der Summe fließt das Wasser (fast immer) bergab.
Tengler, Ihre großen Töne die sie von sich geben, täuschen ein wenig über ihre tatsächliche Kompetenz….
MfG
Ketterer
Herr Heß, Herr Portius behauptet (frei nach 2.HS) dass dem wärmeren Körper keine Wärme vom kälteren Körper hinzugefügt wird. Damit versucht er – leider thermodynamisch von Ihnen unterstützt mit Wärme=Energietransport (von warm nach kalt, aber nicht W/m² von kalt nach warm) – den THE zu widerlegen. Zählen Sie etwa auch zu den Leugnern?
Offenbar verstehen Sie beide nicht dass wir ohne Gegenstrahlung gegen Weltraumkälte anheizen müssten. Dass selbst Uli Weber die „kältere“ Wärme als T-Term in der „Umgebungsgleichung“ mißbraucht hat um solar global ohne THE seine +15 Grad zu erzeugen, scheint Ihnen nicht aufgefallen zu sein.
Ich habe sie gefragt wie Sie Wärme definieren. Das konnten Sie nicht beantworten. wäre einfach genug gewesen.
Ich habe Ihnen daraufhin die thermodynamische Definition von Wärme genannt. Ihre Antworten darauf sind Beschimpfungen. Inwiefern stützt es ihre Modelle, wenn sie den Begriff der Wärme nicht definieren können.
Peter Dietze 13. März 2026 14:39
Warum werfen Sie jetzt plötzlich Herrn Weber in die Diskussion? Gehen Ihnen irgendwie die Ausreden für Ihren Fehler aus?
Und wenn Sie die Kommentare aufmerksam lesen würden, wüßten Sie, dass ich einer der kommentierenden war, die Herrn Weber darauf aufmerksam gemacht haben, dass einer der sigma T hoch 4 Therme seiner Stefan-Boltzmann-Umgebungsgleichung die langwellige Einstrahlung aus der Atmosphäre repräsentiert …
Zusaetzlich zu was?
Sie haben ja noch keine Antwort bekommen. Ich Versuch es mal. In einfachen Erklärungsmodellen meint man glaube ich mit „zusätzlich“ meist den Vergleich zu einem Referenzfall, etwa einer Erde ohne Atmosphäre oder mit geringerer Treibhausgaskonzentration. Vergleicht man damit den realen Fall mit Atmosphäre, dann gibt es am Boden neben der Solarstrahlung noch einen weiteren eingehenden Strahlungsanteil aus der Atmosphäre. In diesem rein bilanziellen Sinn wird er als „zusätzlich“ bezeichnet.
Physikalisch entsteht dabei jedoch keine neue Energiequelle. Die Gegenstrahlung existiert grundsätzlich immer, solange die Atmosphäre eine endliche Temperatur hat. „Zusätzlich“ bedeutet daher nur: zusätzlich im Vergleich zum Referenzfall der Energiebilanz – nicht zusätzlich im Sinn einer neuen Energiequelle.
Also ist die Frage der Quantität der Strahlung aus der Atmosphäre immer noch ungeklärt?
Wie ist das bei besagter 100% CO2 0.05 kPa Atmosphäre, strahlt da die Atmosphäre in Richtung Erdboden?
Trotzdem erwarten sie nur 1K zusätzlich?
Mit wieviel strahlt der Boden und mit wieviel strahlt die Atmosphäre?
Ich erwarte das ja nicht. Ich habe 1 – 2 K abgeschätzt für die 0.05 kPa Atmosphäre und ich glaube 7 – 8 K für 500 ppm in 1 bar Stickstoff und Sauerstoff, aufgrund der Verbreiterung der CO2 – Banden durch Stöße.
Für den Boden habe ich eine Temperatur angenommen, sonst könnte ich das nicht abschätzen.
Aber ich glaube ja nicht, dass diese Abschätzung mehr gibt als eine grobe Größenordnung. Sie scheint ja zu den 33 K zu passen die Herr Hagel erklären wollte. Denn da sind ja dann Wasserdampf und Wolken mit drin. Aber meine Abschätzung ist zu grob und sicher deshalb falsch. Ich habe die gemacht, weil Ihnen ja niemand mit quantitativen Zahlen geantwortet hat. Zumindestens nicht als ich mitgelesen habe. Und da ich auch kein DDR Abitur habe ist es vermutlich sogar nochmal falscher.
Die Quantität der Strahlung aus der Atmosphäre wird ja durch Messungen geklärt bzw. Die Metereologen schätzen es mit empirischen Formeln aus der Luftfeuchte und Temperatur oder so ab.
Herr Dietze, Thermodynamisch ist Wärme nicht ein beliebiger einzelner Energiefluss, sondern der Nettoenergiefluss zwischen zwei Systemen infolge eines Temperaturunterschieds. Wenn zwei Körper Strahlung austauschen, senden beide entsprechend ihrer Temperatur Strahlung in beide Richtungen. Auch der kältere Körper strahlt zum wärmeren und diese Strahlung wird dort absorbiert. Entscheidend ist jedoch die Differenz der beiden Strahlungsflüsse. Da der wärmere Körper mehr Strahlung emittiert als der kältere, bleibt der Wärmefluss netto vom warmen zum kalten Körper gerichtet.
Das Stefan-Boltzmann-Gesetz beschreibt lediglich die emittierte Strahlungsleistung eines Körpers bei gegebener Temperatur. Es liefert jedoch nicht allein die Temperatur eines realen Systems.
Im Erdsystem ergibt sich die Temperatur der Oberfläche aus der gesamten Energiebilanz. Energie gelangt durch Sonnenstrahlung zur Oberfläche und wird durch langwellige Abstrahlung, Konvektion, Verdunstung und Wärmeleitung wieder abgeführt. Zwischen Oberfläche und Atmosphäre findet zusätzlich ein Strahlungsaustausch statt, zu dem auch die Gegenstrahlung gehört. Diese ist jedoch nur ein Teil des Strahlungsaustauschs. Thermodynamisch maßgeblich bleibt die Nettobilanz der Energieflüsse, und der Wärmefluss geht weiterhin vom wärmeren Boden zur kälteren Atmosphäre.
Das Strahlungsgleichgewicht ist gar nicht der richtige Bezugspunkt. Die Erdoberfläche steht nicht im reinen Strahlungsgleichgewicht, sondern in einer Gesamtenergiebilanz. Zur Strahlung kommen noch sensible Wärmeflüsse (Konvektion), latente Wärme durch Verdunstung sowie Wärmeleitung im Boden hinzu. Deshalb ist die von der Oberfläche abgestrahlte Leistung nicht einfach gleich der absorbierten Strahlung. Der Überschuss wird durch diese nicht-radiativen Energieflüsse abgeführt. Entscheidend ist daher die gesamte Energiebilanz der Oberfläche, nicht ein isoliertes Strahlungsgleichgewicht.
Clausius betrachtet gerade zwei Körper, die zunächst nicht im Gleichgewicht sind. Beide strahlen, aber der Nettofluss geht vom wärmeren zum kälteren Körper. Erst wenn beide die gleiche Temperatur erreicht haben, verschwindet der Nettofluss und es stellt sich thermodynamisches Gleichgewicht ein.
Herr Heß,
(Heß)
Die Erdoberfläche steht nicht im reinen Strahlungsgleichgewicht, sondern in einer Gesamtenergiebilanz. Zur Strahlung kommen noch sensible Wärmeflüsse (Konvektion), latente Wärme durch Verdunstung sowie Wärmeleitung im Boden hinzu. Deshalb ist die von der Oberfläche abgestrahlte Leistung nicht einfach gleich der absorbierten Strahlung.
(Kuck)
Im Prinzip haben Sie recht.
Aber: Wie sieht die Situation aus, wenn ich das Jahresmittel der Tagseite und der Nachtseite betrachte. In der Kiehl-Trenberth-Bilanz „verschwinden“ die sensiblen Wärmeflüsse (Konvektion), latente Wärme durch Verdunstung doch in der erweiterten „Gegenstrahlung (324 W/qm)“ und wirken nicht mehr in der Bilanz.
(Heß)
Deshalb ist die von der Oberfläche abgestrahlte Leistung nicht einfach gleich der absorbierten Strahlung.
(Kuck)
Zu einem bestimmten Zeitpunkt mag das stimmen. Die abgestrahlte Leistung kann aber sowohl größer oder als auch kleiner als der absorbierten Strahlung ausfallen. Es gleicht sich im Jahresmittel dann doch aus. Oder?
Im Jahresmittel stimmt natürlich, dass die Energiebilanz der Oberfläche geschlossen sein muss. Aber der Ausgleich erfolgt nicht nur über Strahlung. In der Kiehl-Trenberth-Bilanz gehen etwa 100 W/m2 über Verdunstung und Konvektion in die Atmosphäre. Diese Flüsse verschwinden nicht in der Gegenstrahlung, sondern sind eigenständige Energieflüsse von der Oberfläche in die Atmosphäre.
Herr Heß,
diese Flüsse verschwinden nicht in der Gegenstrahlung, sondern sind eigenständige Energieflüsse von der Oberfläche in die Atmosphäre.
(Kuck)
Aber diese fließen zurück zur Erde, sonst würde die Erde ständig kälter.
Außerdem gehören diese Flüsse nicht zur Strahlungsbilanz.
In der K-T-Bilanz gibt es eine
Gegenstrahlung (155 W/qm) =
Oberflächenstrahlung 390 W/qm –
Sonneneinstrahlung 235 W/qm und
eine Gegenstrahlung(324 W/qm), die auch die Rückführung von Verdunstung und Konvektion zur Erdoberfläche enthält.
Der Wärmeaustausch von Erde und Atmosphäre ist im Jahresmittel null.
In einer Energiebilanz werden lediglich Energieflüsse in Watt pro Quadratmeter algebraisch addiert und subtrahiert. Dass sich die Bilanz schließt, bedeutet nur, dass sich die Flüsse energetisch ausgleichen.
Das sagt jedoch nichts darüber aus, durch welchen physikalischen Mechanismus die Energie übertragen wird. Strahlung, Konvektion und latente Wärme durch Verdunstung sind unterschiedliche Transportprozesse. In der Bilanz erscheinen sie nur deshalb nebeneinander, weil sie alle Energie transportieren und deshalb in derselben Einheit angegeben werden können.
Wenn sich im Jahresmittel die Summe der Flüsse zwischen Oberfläche und Atmosphäre energetisch ausgleicht, heißt das lediglich, dass im Mittel genauso viel Energie übertragen wird, wie zurückkommt. Daraus folgt aber nicht, dass Konvektion oder Verdunstung in der Gegenstrahlung enthalten wären. Sie bleiben physikalisch eigenständige Mechanismen des Energieaustauschs.
Herr Heß,
(Heß)
Wenn sich im Jahresmittel die Summe der Flüsse zwischen Oberfläche und Atmosphäre energetisch ausgleicht, heißt das lediglich, dass im Mittel genauso viel Energie übertragen wird, wie zurückkommt.
Davon gehe ich auch aus. Daher stelle ich für das Jahresmittel nur Strahlungsbilanzen auf.
(Heß)
Daraus folgt aber nicht, dass Konvektion oder Verdunstung in der Gegenstrahlung enthalten wären. Sie bleiben physikalisch eigenständige Mechanismen des Energieaustauschs.
Das stimmt. Aber in der Kiehl-Trenberth-Bilanz verschwinden die Konvektion und Verdunstung in die „Gegenstrahlung von 324 W/qm“. Wenn die gesamte Erde weder erwärmt noch abgekühlt wird, muss die „Konvektion“ und die „Verdunstung“ wieder zurück in die Erde. Kiehl und Trenberth haben dafür die „Gegenstrahlung 324 W/qm genutzt.
Es gibt aber andere Bilanzen, da stehen Konvektion und Verdunstung separat (mit Pfeilen nach oben und nach unten ?).
Meine Bitte: Temperaturwerte von der Tagseite und der Nachtseite.
Das ist eine Bilanzbeschreibung, kein zeitlicher Ablauf. In der Realität laufen Strahlung, Konvektion, Verdunstung und Wärmeleitung gleichzeitig ab. Die Energiebilanz fasst nur die mittleren Energieflüsse zusammen, ohne eine Reihenfolge der Prozesse zu behaupten oder zu implizieren, dass etwas wieder zurück in de
Herr Heßie,
Das Sonne-Erde-System ist seit ewigen Zeiten in einem eingeschwungenen Zustand.
Es ist daher natürlich kein zeitlicher Ablauf. Ich berechne nur das Jahresmittel der Erde in einem stationären Zustand. Dadurch muss ich Konvektion, Verdunstung und Wärmeleitung nicht beachten. Und ich betrachte eine Strahlungsbilanz und keine Energiebilanz.
Notwendige Daten sind nur die Temperaturwerte der Tagseite und der Nachtseite, sowie die Sonneneinstrahlung der Tagseite, der Gegenstrahlung der nächtlichen Wolken der Nachtseite und die Albedo.
NUR die Sonne bestrahlt die Tagseite mit 470 W/qm (also keine Gegenstrahlung auf der Tagseite).
NUR die nächtlichen Wolken erzeugen auf der Nachtseite eine Gegenstrahlung von 310 W/qm.
Diese Aufteilung, Tagseite durch die Sonneneinstrahlung und Nachtseite durch die Gegenstrahlung der nächtlichen Wolken ist gut für die Erde. Die Temperaturdifferenz zwischen Tagseite und Nachtseite ist dadurch kleinstmöglich.
Herr Heß,
zweite Antwort, bzw. Frage:
Wie warm ist die Tagseite und wie die Nachtseite, jeweils im Jahresmittel?
Aus diesen beiden Temperaturwerten möchte ich die Sonneneinstrahlung und die Gegenstrahlung der nächtliche Wolken berechnen.
Die Temperaturen sind eine Folge der Energiebilanz. Sie enthalten nicht genügend Information, denke ich, um daraus die einzelnen Energieflüsse wie Sonneneinstrahlung oder Gegenstrahlung zurückzurechnen.
Herr Heß,
es geht um das Jahresmittel der Temperaturwerte der Tagseite und der Nachtseite. Aus diesen Werten kann ich die Sonneneinstrahlung und die Gegenstrahlung berechnen.
Sonst hätte ich Sie nicht nach den zwei Temperaturwerten befragt.
Sie wollen aus zwei henisphärischen Temperaturmitteln die Energiebilanz „rückrechnen“???? Zeigen Sie mal, wie Sie aus zwei Werten mindestens sieben Werte bestimmen wollen.
Herr Heinemann,
von welchen sieben Werten sprechen Sie?
Herr Kuck, die mindestes 7 Werte sind folgende: XN, XT, YN, YT, ET, EN=0, GT, GN.
Herr Heinemann,
Sie haben einmal folgendes gerechnet:
Ihre Annahme:
Oberflächenstrahlung Tagseite XT = 420 W/qm
(entspricht TT = 293,37 K)
Oberflächenstrahlung Tagseite XN = 360 W/qm
(entspricht TN = 282,28 K)
Bodenwärmestrom QT = XT-XN = 60 W/qm
Wärmeabstrahlung -QN = XT-XN = 60 W/qm
Sonneneinstrahlung ET = XT + QT = 480 W/qm
Albedo = (1- (480 W/qm)/684 W/qm) = 0,29825
Gegenstrahlung GT = 0 W/qm
Gegenstrahlung GN = XN + QN = 360 W/qm – 60 W/qm = 300 W/qm
Wegen geringerer Bewölkung beträgt
die Gegenstrahlung der nächtlichen Wolken nur 300 W/qm
statt 310 W/qm
und die Sonneneinstrahlung 480 W/qm statt 470 W/qm.
YT und YN werden Sie wohl selbst berechnen können. Ich weiß nicht mehr, was sich unter YT und YN versteckt.
Herr Kuck,
Nur unter der Annahme, dass die Temperaturen der Hemisphären bei tags und nachts konstant bleiben und bei Sonnenauf- und untergang schlagartig umspringen. Somie der Annahme, dass die Erde ein schwarzer Strahler ist.
Der Blödsinn stammt von Ihnen.
Richtig war und ist: QT : = ET-XT = -QN. QT läst sich nicht aus den Temperaturen berechnen.
Warum Sie das nicht so sehen, haben Sie noch nie erklärt und ein Beweis Ihrer Behauptung steht seit Monaten aus.
Das habe ich von Ihnen so übernommen.
Diese Behauptung ist falsch und Sie haben auch diese Ihrer Behauptungen nie erläutert noch bewiesen.
Kurzum, zeigen Sie, wie Sie aus zwei Temperaturwerten zumindest die sieben Werte XN, XT, YN, YT, ET, EN=0, GT, GN
bestimmen wollen.
Fangen Sie mal an aufzulisten, welche Gleichungen gelten und warum physikalisch und was dann noch fehlt.
Oben fehlt GT, es gilt per Energiesatz im Modell ohne Konvektion/Verdunstung: QT : = ET-XT+GT.
Herr Heinemann,
Falsch
Herr Heinemann,
gefällt Ihnen die Gleichung
XT-QT/2 = XN + QN/2 (= 390 W/qm)
besser?
Das ist nicht die Frage. Die Gleichung QT : = ET-XT+GT gilt deswegen, weil ich QT so definiere. Das Symbol „:=“ bedeutet in der Mathematik Definition.
Sie manipulieren nun meine Gleichungen über ihre Definition hinaus, QT ist bei Ihnen nicht mehr nur die Abkürzung für die Bilanzsumme des Tages.
Was Sie bislang noch nie bewiesen haben, ist die physikalische Rechtfertigung dafür, dass „XT-QT/2 = XN + QN/2“ korrekt sei, sich also aus den physikalischen Vorgängen ergibt.
Ich habe Sie x-mal danach gefragt und nie eine Antwort bekommen (außer den inhaltslosen Blödsinn „obvious“?).
Das zeigt, dass Sie einen Zusammenhang frei erfunden haben, der real nicht existiert.
Herr Heinemann,
XT-QT/2 = XN + QN/2 (= 390 W/qm)
Wenn XT größer ist als 390 W/qm, dann gibt es einen Bodenwärmestrom QT.
Wenn XN kleiner ist als 390 W/qm, dann gibt es eine Wärmeabstrahlung -QN.
Was Sie bislang noch nie bewiesen haben, ist die physikalische Rechtfertigung dafür, dass „XT-QT/2 = XN + QN/2“ korrekt sei, sich also aus den physikalischen Vorgängen ergibt.
Damit die gesamte Erde weder erwärmt noch abkühlt wird, muss
QT+ QN = 0 W/qm sein. Dann sind die Tag-Bilanz und die Nacht-Bilanz korrekt gekoppelt. Das ist die physikalische Rechtfertigung.
Sie haben doch gesehen, dass aus den Temperaturwerten der Tagseite und der Nachseite korrekte Werte für die Sonneneinstrahlung, die nächtliche Gegenstrahlung und die Albedo berechnet werden konnten. Auch das ist die physikalische Rechtfertigung.
Beweisen Sie mir schlüssig, dass XT-XN =QT (im Jahresmittel) falsch ist.
Herr Kuck, ich habe Ihnen das zwar alles schon vor Monaten vorgeixt, aber “ unter den Teppich kehren“ gehört ja zum Wissenschaftsleugnen dazu.
Sie behaupten XT-QT/2 = XN + QN/2, was äquivalent ist zur Behauptung
XT – XN = (QT+QN)/2. Nun ist
Korrekt. Damit folgt, dass Sie behaupten: XT – XN = 0, also XT = XN.
Das widerspricht aber Ihnen Angaben für Tag XT und Nacht XN bzw. dass es tags und nachts unterschiedliche Temperaturen gibt.
Verstehen Sie das?
Nun behaupten Sie gleichzeitig noch in diesem Satz:
dass XT-XN =QT und widerlegen sich selbst damit.
Denn aus Ihrem XT-QT/2 = XN + QN/2 (falsch), QT+QN = 0 (richtig) und Ihrem XT-XN =QT (falsch) folgt, dass bei Ihnen gilt: QT =QN =0. Das widerspricht aber Ihren eigenen Angaben.
Herr Heinemann,
Sie behaupten: XT – XN = 0
Sie haben etwas weggelassen
XT-QT/2 = XN – QN/2 = 390 W/qm (Korrektur -)
XT-QT/2 = 390 W/qm
XN-QN/2= 390 W/qm
XT-XN = QT/2 – QN/2 = QT =-QN
Herr Heinemann,
(Heinemann)
Nur unter der Annahme, dass die Temperaturen der Hemisphären bei tags und nachts konstant bleiben und bei Sonnenauf- und untergang schlagartig umspringen. Somit der Annahme, dass die Erde ein schwarzer Strahler ist.
Das ist doch Blödsinn.
Die Tagseite und die Nachseite rotieren. Unter beide Seiten liegen immer andere Teile der Erde. Da das Sonne-Erde-System seit ewiger Zeit eingeschwungen ist, bleiben alle Daten der Tag- und Nachtseiten nahezu unverändert. Außerdem betrachte ich das Jahresmittel.
(Heinemann)
QT lässt sich nicht aus den Temperaturen berechnen.
Ich berechne QT aus Wärmeströmen!.
(Heinemann)
Gegenstrahlung GT = 0 W/qm. Diese Behauptung ist falsch und Sie haben auch diese Ihrer Behauptungen nie erläutert noch bewiesen.
Die Summe (GT + GN) = 310 W/qm sorgt dafür, dass die Erde 288 K warm und nicht 255 K kalt ist. In Ihrem Fall wurde wurde GN = 300 W/qm berechnet.
Statt der Änderung der Albedo auf 0,29825 hätte man auch auf
ET = 470 W/qm und GT =10 W/qm setzen können.
Eleganter ist die Änderung der Albedo.
(Heinemann)
Kurzum, zeigen Sie, wie Sie aus zwei Temperaturwerten zumindest die sieben Werte XN, XT, YN, YT, ET, EN=0, GT, GN
Ich habe bis auf YT(?) und YN(?) alle Daten aus
TT = 293,37 K und TN = 282,28 K berechnet.
Sind Sie blind?
Nein, es geht alleine darum, dass Sie für die Berechnung einiger der 7 Größen Formeln benutzen, deren Gültigkeit Sie nicht beweisen können und die Sie frei erfunden haben. D.h. Ihren Berechnungen fehlt die physikalische Rechtfertigung.
Herr Heinemann,
D.h. Ihren Berechnungen fehlt die physikalische Rechtfertigung.
Wann werden Sie mir meinen Fehler aufzeigen?
Herr Kuck, jede Formel in der Physik ist falsch, wenn sie keine Begründung hat. Sie müssen ihre Formel begründen.
Herr Heinemann,
entweder ist das, was ich geschrieben habe, richtig oder Sie glauben es ist falsch, dann müssen Sie mir den Fehler zeigen. Ich habe Ihnen mehrfach mit unterschiedlichen Begründungen erklärt, dass bei einem eingeschwungenen Sonne-Erde-System, die Summe von Bodenwärmestrom QT (Tagseite) und Wärmeabstrahlung QN (Nachseite) im Jahresmittel null sein muss. Und das gilt: XT-XN=QT .
Wenn diese Gleichung (XT-XN=QT) nicht stimmen würde, müssten meine berechneten Temperaturwerte der Tagseite 293 K und der Nachseite 283 K völlig falsch sein.
Zusätzliche Bedingung war, kein Treibhauseffekt auf der Tagseite der Erde und eine Gegenstrahlung von 310 W/qm (durch nächtliche Wolken) auf der Nachtseite der Erde (0-310-Gegenstrahlung).
Sie haben durch Schummelei berechnet, dass auch bei einer
(155-155-Gegenstrahlung) die Temperaturwerte der Tagseite 293 K und der Nachtseite 283 K betragen. Das kann nicht sein.
Ihr gesunder Menschenverstand scheint abgeschaltet zu sein.
Herr Kuck
Na endlich.
Sie Witzbold, habe ich schon vor Monaten. Das haben Sie stets ignoriert.
Die Erklärungen kenne ich, sie sind einfach falsch.
Das QN habe ich definiert und es ist keine Wärmeabstrahlung, sondern der Bodenwärmestrom der Nacht (analog wie QT der vom Tage ist). Wundern Sie sich nicht selbst, dass Sie Qx (x = T oder N) für verschiedene physikalische Größen verwenden? Wer ist so dumm, sich selbsg so zu verwirren?
Alleine die Verdrehung der Begriffe führt zu Fehlern. Die nächtliche Wärmeabstrahlung des Bodens ist per Definition XN, analog zu XT am Tage.
Ach, glaube ich nicht, welche denn?
Die Werte geben Sie ja vor und rechnen sie nicht aus.
Nein, diese Behauptung haben Sie zu beweisen. Wenn Sie das schon vorgeben, beißen Sie sich in den Schwanz.
Ich habe Ihnen ja erklärt, wie es zustandekommt und die Kurven liegen Ihnen vor. Sie können Tatsachen nicht ignorieren nur weil diese nicht Ihren Wünschen entsprechen. Es beweist nur, dass Ihre Argumentation falsch ist.
Der ist bei Physikern immer abgeschaltet, denn was jeder Idiot glaubt, erklären zu können, stellt sich stets als falsch heraus.
Da Sie mir immer noch nicht erklären, was Ihr gesunder Menschenverstand Ihnen erklärt, heißt das nur, dass Sie nur Vertäuschen wollen, dass Ihr Zeugs physikalisch begründbsr sei.
Im Wahrheit liefert selbst Ihr gesunder Menschenverstand Ihnen keine Gründe, weil Sie Ihre Formel einfach nur frei erfunden haben.
Möglicherweise sind Sie so einfältig, dass Ihnen nicht mal bewußt ist, dass Sie sich die Formel frei erfunden haben und sich stattdessen einreden, der gesunde Menschenverstand der Menschheit hätte Sie zur Formel geführt. Sie also so einfältig sind, dass Sie nicht mal bewußt zwischen subjektiv und objektiv unterscheiden können.
Herr Kuck, Zusammenfassung Ihrer Situation:
Modellunabhängig sind die Gleichungen:
E(t) + G(t) – X(t) – K (t) = Q(t) {Energieerhaltung}
X(t) = A×sigma×T(t)^4 {Stefan-Boltzmann}
Modellannahmen
(Modell M0)
1) nur radiative Energieflüsse zwischen Boden und Atmosphäre/Weltall, d.h. für den Term K für die nicht-radiativen Flüsse wie Konvektion und latente Wärme gilt K(t) = 0.
2) Boden sei ein Schwarzer Körper, A =1
3) die Energie in den Boden Q wird in innere Energie des Bodens verwandelt durch Laden der instantanen Wärmekapazität C (in J/m²K) des Bodens: Q (t) = C × dT/dt(t)
4) der Zeitverlauf der am Boden absorbierten Sonnenleistung E(t) und die Wärmekapazität C des Bodens seien bekannt/vorgegeben.
Die Temperatur T(t) ist damit durch folgende diagnostische Gleichung determiniert:
dT/dt(t) = 1/C×[E(t) + G(t) – sigma×T(t)^4]
Damit diese Differenzialgleichung für T(t) gelöst werden kann, müssen die Funktionen E(t) und G(t) bekannt sein.
E(t) ist durch den Sonnenlauf und der Albedo über den Tageslauf t gegeben.
Um etwas realitätsnah für die Erde auszurechnen kann man die zusätzliche Modellannahme machen
(Modell M1):
5) Der im Boden absorbierte Fluss der Solarenergie E(t) folgt den Sonnenverlauf zu den Äquinoktien und beträgt im 12h-Mittel am Tag ET=470 W/m², in der Nacht EN =0.
6) da die Erde dominant mit Wasser bedeckt ist nehmen wir für den Boden an, dass er aus Wasser besteht, deren obersten cm Tiefe H (in m) sich instantan aufgrund des Flusses Q(t) erwärmen oder abkühlen. Dann gilt C = 4180 J/kgK × 1000 kg/m³ = 4,18 MJ/m³K x H.
Der Tagesverlauf der Gegenstrahlung G(t) ist aber ein Problem. Wenn G(t) nicht bekannt ist, bleibt auch T unbekannt!
Aber es gibt noch eine Bedingung, die zumindest Mittelwerte von T determiniert:
7) Durch die Bedingung, dass der Temperatur 24h-perodisch sein soll, also T(t) sich alle 24h wiederholen soll, folgt für das 24h- Mittel der diagnostischen Gleichung:
ET+EN+GT+GN = XT+XN.
Bzw. äquivalent
QT+QN =0
Nach 5) folgt weiter
ET+GT+GN = XT+XN.
Nun ist ET = 470 W/m² vorgegeben.
Herr Kuck konstruiert XT und XN aus den vorgegebenen 12h-Mitteln der Temperaturen TT und TN.
Damit ist die Summe GT+GN bestimmt. Aber eben nicht, wie sich GT und GN in der Summe aufteilen.
Und an dieser Stelle fingen Sie nun an zu „schummeln“ (um mal Ihren Wortgebrauch zu verwenden).
Denn Ihre hinausposaunte realitätsfremde Behauptung, dass GT =0 sei, läßt sich so nicht mal modell-physikalisch ableiten.
Weil Ihnen nichts besseres einfiel, aber Sie unbedingt die Existenz der Gegenstrahlung am Tage GT negieren wollen (obwohl das ja obviously falsch ist), haben Sie eine weitere Gleichung frei erfunden.
Und da Sie wissen, dass Ihre frei erfundene Gleichung XT-XN = QT physikalischer Schwachsinn ist, drücken Sie sich um eine Begründung, denn Sie können es nicht ohne Ihre „Schummelei“ auffliegen zu lassen.
Dafür habe ich Ihre „Schummelei“ jetzt erklärt.
Herr Heinemann,
unterlassen Sie bitte, meine Gleichungen zu erklären.
Beispiel 1:
Herr Kuck konstruiert XT und XN aus den vorgegebenen 12h-Mitteln der Temperaturen TT und TN.
Das ist völliger Blödsinn. Wollen Sie damit behaupten, dass ich von Ihnen abgeschrieben haben?
Beispiel 2:
Und da Sie wissen, dass Ihre frei erfundene Gleichung XT-XN = QT physikalischer Schwachsinn ist
Die Bedingung
XT-QT/2 = XN +QT/2 = 390 W/qm oder
XT-XN = QT
ist zwingend einzuhalten.
Ohne diese Bedingung gibt gibt es unendlich viele „geschummelte“ Ergebnisse.
Übrigens:
Ihre neueste „Schummelei“ habe ich entdeckt und Ihnen zugesendet..
Herr Kuck
unterlassen Sie bitte, meine Gleichungen zu erklären.
Ich habe Sie oft genug gebeten, es zu tun. Aber Sie haben sich verweigert, sie zu erklären.
Und offenbar wollen Sie immer noch nicht erklären, wie Sie auf XN und XT kommen. Nein, ich behaupte nicht, dass Sie von mir abschreiben. Ich kann mir nur nicht anderes erklären, woher Ihre Zahlen kommen.
Was beschweren Sie sich eigentlich? Glauben Sie ernsthaft, Sie würden hier mit unbegründeten oder unbegründbaren Fantasiezahlen durchkommen?
Sie haben das schon öfter so ausgedrückt. Meine Frage ist aber stets, was physikalisch die Natur dazu zwingt, diese Gleichung einzuhalten.
Was haben Sie als physikalischen Grund nun anzuführen? Wenn Sie nichts haben, ist die Gleichung Unsinn (sie mag zweckmäßig für Sie sein, aber das zählt in den Naturwissenschaften nicht, wenn es nicht den realen Prozeß abbildet).
Herr Heinemann,
XT + XN = 780 W/qm = XT-QT/2 + XN+QT/2 = 390 W/qm+390 W/qm
Fall 1:
Die Tagseite ist gleich warm wie die Nachtseite (QT=QN= 0 W/qm
Dann gilt ET = XT = XN = GN = 390 W/qm
Fall 2:
Die Tagseite wird ständig stärker erwärmt als die Nachtseite.
Dann gilt
ET + GT = XT+QT = 390 W/qm + QTx1,5
GN = XN-QT = 390 W/qm – QTx1,5
oder
XT = 390 W/qm + QT/2
XN = 390 W/qm – QT/2
oder
XT – XN = QT
Je größer der Bodenwärmestrom, um so wärmer oder kälter wird die entsprechende Tagseite oder Nachtseite
Herr Heinemann,
Alle Gleichungen gelten und sind auch Ergebnisse!!!
Ergebnis: Bodenwärmestrom QT = XT-XN = 60 W/qm
Ergebnis:Wärmeabstrahlung -QN = XT-XN = 60 W/qm
Ergebnis ET: Sonneneinstrahlung ET = XT + QT = 480 W/qm
Ergebnis Albedo = (1- (480 W/qm)/684 W/qm) = 0,29825
Daher: Albedo statt Gegenstrahlung GT ungleich 0 W/qm
Anscheinend haben Sie die Bedeutung von QT = XT-XN nicht erfasst.
Ohne diese Bedingung (QT=XT-XN) geht nichts.
Herr Kuck,
nochmal, zeigen Sie, wie Sie aus zwei Temperaturwerten zumindest die sieben Werte XN, XT, YN, YT, ET, EN=0, GT, GN
bestimmen wollen.
Fangen Sie mal an aufzulisten, welche Gleichungen gelten und warum physikalisch und was dann noch fehlt.
PS:
das ist mir klar. Auf diesem Unsinn gründen Sie ja Ihre gesamte Argumentation. Sie steht und fällt damit. Deswegen machen Sie ja auch so ein Geheimnis darum und schweigen sich über diese Schwachstelle aus.
Aber diese Gleichung ist unphysikalisch und damit ist der daraus folgende Rest zumindest fragwürdig.
Also, seien Sie ehrlich, listen Sie Ihre Annahmen sauber auf, damit klar dasteht, was Sie frei erfunden haben und was richtig ist.
Nur weil Sie Ergebnisse damit bekommen, sind die Gleichungen nicht richtig. So ein Schwachsinn.
Habe ich verstanden, allerdings habe ich auch gesagt, warum ich nicht von den beiden Temperaturen auf Einstrahlung und Gegenstrahlung schließen würde.
Wie kann man überhaupt auf die Gegenstrahlung schließen?
Kann man sie vorhersagen? Was muss man über die Atmosphäre wissen?
Empirisch abschätzen aus: Druck, Temperatur und Feuchteprofile, CO2 Konzentration. Das wissen die Metereologen.
Messen und oder Strahlungstransferrechnungen.
Aus zwei Oberflächentemperaturen alleine kann man es glaube ich nicht.
Also wenn der Druck 2 bar wäre wie wäre dann diese Schätzung im Vergleich wenn der Druck 100 bar wäre?
Meine Abschätzung ist zu grob, um da etwas auszusagen, denke ich.
Der Vergleich ergibt
A: 50 Pa CO2 und 0 bar N2/O2 ergeben 1 – 2 K und
B:50 Pa CO2 und 1 bar O2/N2 ergeben 7 – 8 K und
C: 0 Pa CO2 und 1 bar N2 /O2 ergeben 0 K
mit meiner Abschätzung.
Viel mehr als diese grobe Einordnung kann meine Abschätzung nicht leisten.
obwohl B ja plausibel zu sein scheint.
Ihr Punkt C) ohne CO2 kein Effekt durch CO2 ?
Wie verwunderlich.
Was sie bringen ist keine Abschätzung für 100 bar mit CO2 oder? Oder 2 bar mit CO2.
Machen sie doch 100% CO2 für beide Fälle. Dann vergleicht es sich besser mit A).
Habe ich Ihnen doch geschrieben. Dieser quantitative Vergleich würde die Abschätzung die ich auf Basis eines einfachen Pythonscriptes von Pierrehumbert gemacht habe überstrapazieren. Das Ergebnis der Abschätzung aber war, dass aufgrund der Kollisionen 50 Pa CO2 in 1 bar N2/O2 etwa einen THE von 7 – 8 K bewirken könnte. Könnte aber immer noch zufällig in der Größenordnung sein, ist ja nur ein Modell. Das sollte man nicht überbewerten. Es taugt ja nur dazu ihre Frage mit den 50 Pa zu beantworten. Da hierbei die CO2 Menge gleich gehalten wird und klein ist.
Vielleicht hat ja jemand anderes bessere Abschätzungen.
Herr Heß, wie wäre es wenn die Atmosphärenphysik da genaue Angaben machen könnte?
Zu welchem Zweck sollte die Atmosphärenphysik das tun und vor Allem wie? Schließlich lassen sich die Verhältnisse A und C nicht beobachten.
Auch nicht eine 2 bar N2/O2 mit CO2 Atmosphäre. Ich habe vermutlich deshalb noch nichts dazu gefunden
Die Atmosphaerenphysik sollte das tun, um den Treibhauseffekt verstaendlich erklaeren zu koennen.
Dazu braucht sie nur das richtige Model zu nehmen.
Fuer A) haben sie selber eine Angabe gemacht.1K!
Fuer C) haben sie das Problem, den Effekt ordentlich zu definieren und sie wissen, wir messen die Temperaturen in der Atmosphaere. Sie wissen was Herr Krueger zu diesem Fall sagt? Wie hoch waere die Temperatur in der Atmosphaere und warum?
Fuer 2 Bar
Bohren sie doch mal ein tieferes Loch, bis sie 2 bar am Grunde des Loches haben.
Fuer 2) wie man bei 1) sieht bewirken die nicht IR radiativen Gase eine weitaus groesseren Teil des Effekts. Wie genau wird das erklaert? Weil rein logisch, sind die nicht IR aktiven Gase entscheidend fur einen messbaren Effekt.
Herr Schulz,
den Treibhauseffekt gibt es nicht.
Daher kann die Atmosphärenphysik den Treibhauseffekt nicht verständlich erklären.
Der Treibhauseffekt stützt sich auf die Kiehl-Trenberth-Energiebilanz, die eine Erde mit zwei Tagseiten betrachtet. Was für ein Unsinn.
Als man feststellte, dass die Sonneneinstrahlung von 235 W/qm (bezogen auf die gesamte Erde) die Erde im Mittel nur auf 255 K erwärmen kann, wurde der Treibhauseffekt, nämlich eine zusätzliche Gegenstrahlung von 155 W/qm (bezogen auf die gesamte Erde) durch Treibhausgase erfunden.
In Wirklichkeit besteht die Erde aus einer Tagseite und einer Nachtseite:
Die Tagseite erhält eine Sonneneinstrahlung von 470 W/qm (bezogen auf eine Halbkugel), so dass die Tagseite im Jahresmittel immer
292,8 K warm ist (ohne zusätzliche Gegegstrahlung).
Die Nachtseite erhält von den nächtlichen Wolken eine Gegenstrahlung von 310 W/qm, so dass die Nachseite im Jahresmittel immer 283,9 K nicht kalt ist.
Nicht vergessen:
Würden die Treibhausgase wirken, muss die Gegenstrahlung der Nachseite (310 W/qm) auf die Tagseite (187 W/qm) und auf die Nachseite (123 W/qm) verteilt werden. Dann wäre es auf der Tagseite 303 K „heiß“ = Sommer und die Nachtseite 270 K „kalt“ = Winter.
Temperaturdifferenz ohne THE: 9,9 K
Temperaturdifferenz mit THE : 33 K
Viele Wetter-Apps zeigen die Differenzwerte von Tagseite und Nachtseite an. Eine Differenz von 33 K würde es nur geben, wenn die Tagseite und die Nachtseite wolkenlos wäre. Das gibt es relativ selten.
Die Atmosphärenphysik untersucht ja die irdische Atmosphäre. Die Fälle A) und C) sind ja nur irgendwelche nicht existierende Atmosphären die keine Aussage bzgl. Unserer Atmosphäre bieten, denke ich. Deshalb wird das wohl nicht so häufig untersucht. Aus den drei Fällen kann man keine Ursachen ableiten. Dazu sind die Modelle zu grob. Das gibt meine Abschätzung nicht her. Die Wirkung von Treibhausgasen wird von der Atmosphärenphysik durch Messungen gezeigt.
Meine Abschätzung für Fall B) liegt in einer Größenordnung die auch durch Messungen gezeigt wird. Das zeigt dann das meine Abschätzung plausibel sein könnte. Sie kann aber auch falsch sein oder durch Zufall in der Größenordnung liegen.
Was Sie daraus alles interpretieren gibt meine Abschätzung nicht her. Deshalb kann ich Ihnen auch keine bessere Erklärung liefern, denn meine Abschätzung ist ja nur verkürzt aus der Atmosphärenphysik abgeleitet und keine Naturbeschreibung.
Sie ist also in einem gewissen Sinne falsch. Wieso sollte man das Erklären?
Herr Heß,
warum sollen die Kollisionen von CO2 mit anderen Molekülen dazu führen, dass der THE verstärkt wird?
Es wurde ja schon detailliert früher beschrieben, deshalb versuche ich es mit einem Satz:
Kollisionen bestimmen die Besetzung der Schwingungszustände der IR-aktiven Moleküle und damit ihre IR-Absorption und -Emission. Damit sind sie Teil des Treibhauseffekts, der aus den IR-Eigenschaften von Treibhausgasen und Wolken resultiert.
Herr Heß,
Nicht-IR-Moleküle tauschen Energie über Kollisionen aus, ohne dann etwas abzustrahlen. Wenn die „wärmeren“ Treibhausgase mit Nicht-IR-Molekülen kollidieren, bleibt doch die Energie bei den Nicht-IR-Molekülen oder ? Das Verhältnis von Nicht-IR-Molekülen zu
IR-Molekülen etwa 1:100. Dann wirken doch nur 1% der Treibhausgase.
Frau Vooth ist fest davon überzeugt, dass es deshalb keinen THE gibt.
Ihre Argumentation ist so nicht korrekt. In der Troposphäre sorgen sehr häufige Kollisionen dafür, dass näherungsweise lokales thermodynamisches Gleichgewicht herrscht. Das bedeutet: Energie wird kontinuierlich zwischen allen Molekülen ausgetauscht, unabhängig davon, ob sie IR-aktiv sind oder nicht. IR-aktive Moleküle wie CO2 und H2O werden durch Kollisionen fortlaufend angeregt; dabei werden auch schwingungs- und rotationsbezogene Zustände besetzt. Diese IR-aktiven Moleküle emittieren deshalb Strahlung entsprechend der lokalen Temperatur.
Da müssen Sie eine Meteorologen fragen, da gibt es verschiedene Näherungsformeln. Brutsaert oder Idso&Jackson haben so Methoden und Formeln veröffentlicht, habe ich mal verwendet. Klappt ganz gut, um etwas grob abzuschätzen.
Sind sie sicher das sich Brutsaert mit veränderten oder erhöhtem Druck der Atmosphäre beschäftigt hat?
Immerhin ist er eher für seine Beiträge zur Wasserverdunstung bekannt. Wenn sie einen Link hätten?
Idso&Jackson haben eigentlich nur festgestellt, das die Lufttemperatur die Strahlstärke bestimmt. Was es braucht wäre dann eine Erklärung, was die Temperatur bestimmt. Die gibt es aber nicht von diesem Team, oder?
Warum sollte es das geben?
Damit sie besser schlafen koennen!
Herr Schulz,
Ich habe einmal etwas für Sie vorbereitet (Gegenstrahlung).
Herr Heinemann hat folgendes gerechnet:
Seine Annahme:
Oberflächenstrahlung Tagseite XT = 420 W/qm
(entspricht TT = 293,37 K)
Oberflächenstrahlung Tagseite XN = 360 W/qm
(entspricht TN = 282,28 K)
Bodenwärmestrom QT = XT-XN = 60 W/qm
Wärmeabstrahlung -QN = XT-XN = 60 W/qm
Sonneneinstrahlung ET = XT + QT = 480 W/qm
Albedo = (1- (480 W/qm)/684 W/qm) = 0,29825
Gegenstrahlung GT = 0 W/qm
Gegenstrahlung GN = XN + QN = 360 W/qm – 60 W/qm = 300 W/qm
Wegen geringerer Bewölkung beträgt
die Gegenstrahlung der nächtlichen Wolken nur 300 W/qm
statt 310 W/qm
und die Sonneneinstrahlung 480 W/qm statt 470 W/qm.
YT und YN werden Sie wohl selbst berechnen können. Ich weiß nicht mehr, was sich unter YT und YN versteckt.
Diese Rechnung gilt für welchen Druck?
Ist die Frage mit den 2 bar beantwortbar mit den gleichen Zahlen? Wenn ja, warum?
Herr Schulz,
ihre Frage 2 bar sehe ich erst jetzt. Erste Idee, die Menschen müssten stärkere Muskeln haben
Herr Schulz,
natürlich für den üblichen Druck.
Das beantwortet meine Fragen also nicht. Danke.
Herr Schulz,
die Gegenstrahlung (bezogen auf die gesamte Erde) ist doch bekannt:
155 W/qm.
Denn dadurch ist die Erde 288 K warm und nicht 255 K kalt.
Die in der Kiehl-Trenberth -Bilanz genannte „Gegenstrahlung“ ist doch nur aufgemotzt worden mit Konvektion, Verdunstung und langwelliger Sonneneinstrahlung.
Mir nicht. Durch Gegenstrahlung erwärmt sich nichts.
Das die 333 W/m2 bei KT global problematisch sind, dem Stimme ich zu.
Würde gerne mal eine Mittelwertsberechnung sehen, und die Werte an den Polen und am Äquator.
Messwerte wären nicht schlecht!
Herr Schulz,
um Messwerte anzusehen, brauchen Sie sich nur Klimadiagramme und Klimatabellen an zu sehen. Diese finden Sie bei Wikipedia für jeden größeren Ort der Erde.
Eine Mittelwerts-Berechnung der Erde gibt es nicht.
Ich sehe mir Orte an, deren mittlere Jahrestemperatur 283 K beträgt.
Die 324 (bei Ihnen 333) W/qm enthalten die langwellige Sonneneinstrahlung, die Konvektion, die latente Wärme und die eigentliche Gegenstrahlung 155 W/qm (bezogen auf die gesamte Erde.
Die Klimaschützer glauben aber an 155 W/qm.
Herr Manabe hat ja eine Strahlungs-Transfer-Gleichung erfunden. Er und weitere Klimaforscher sagen, die Oberflächenstrahlung wird zunächst vollständig von den Treibhausgasen absorbiert und dann wird ein Anteil der absorbierten Oberflächenstrahlung als Gegenstrahlung an die Erdoberfläche (Gegenstrahlung 155 W/qm) zurück gesendet und der Rest in den Weltraum geschickt.
Was mich irritiert: Wie schafft es die Atmosphäre, die absorbierte Oberflächenstrahlung (390 W/qm) haargenau in die Gegenstrahlung (155 W/qm), in die Abstrahlung in den Weltraum (195 W/qm) und eine weiter Abstrahlung durch das offene Fenster (40 W/qm) aufzuteilen.
Arno Kuck 19. März 2026 15:12
Das macht sie nicht. Die 40W/m² gehen durch, weil sie auf dem Weg ins All nicht absorbiert werden. Die 195W/m² und 330W/m² (nicht 155W/m²) folgen einfach aus der Temperatur der Schichten, aus denen die Strahlung kommt. Es ist in der Näche der Obrefläche einfach wärmer als in den Schichten, die ins All abstrahlen …
Herr Schmidt,
Sie wissen schon, dass in den 330 W/qm die langwellige Sonneneinstrahlung, die Konvektion und die latente Wärme (in der Kiehl-Trenberth-Bilanz) in der Oberfläche der Erde landen.
Nur 155 W/qm gehören zur „echten“ Gegenstrahlung aus der Atmosphäre, die die Tagesseite der Erde (von der die KIehl-Trenberth -Bilanz zwei hat) erhält.
Nur auf der Nachseite wird eine Gegenstrahlung von 310 W/qm, bewirkt durch Wolken, benötigt.
Arno Kuck 19. März 2026 20:09
Wie die Atmosphäre zu der Temperatur kommt, mit der sie strahlt, ist in dem Kontext völlig egal. Sie strahlt entsprechend ihrer Temperatur und das, was von der Strahlung am Erdboden ankommt, ist die Gegenstrahlung. Ich finde die englische Bezeichnung downwelling longwave infrared radiation – nach unten gerichtete langwellige Infrarotstrahluing sympatischer. Da entfallen diese ganzen Diskussionen ala Ebel oder Dietze.
Ich teile ihre Irritation. Eventuell ist es aber ganz anders. Dazu sollte man ein paar Messwerte der atmosphärischen Strahlung wie sie am Erdboden ankommt konsultieren. Wenn sie welche für die Antarktis finden, sagen sie bitte Bescheid.
Danke.
Das irritierende ist dass bei der ganzen Debatte die Grenze zwischen Modell und Realität verschwimmt, sobald von einem Mttelwert die Rede ist befinden wir uns in der Modellwelt.
The Greenhouse Effect and Climate Change: The Intensified Greenhouse Effect
„Hypothetisch“, „kann nicht direkt gemessen werden“, „wir mitteln mehrere Modelle“. Komische Art alle Fehler zu mitteln um daraus ein korrektes Ergebnis abzuleiten. Wir wissen welche Genauigkeit Wettermodelle haben, max. 3 Tage.
Es gibt für den GHE keine einheitliche, detaillierte, technische Beschreibung wie der Mechanismus selber funktioniert, es geht immer nur um Energiebilanzen und nichtssagende Fesstellungen, bestes Beispiel: CO2 absorbiert und emittiert IR Strahlung, ist IR aktiv, daher ist die Atmosphäre und der Erdboden wärmer als sie es ohne GHGs wären. Wo ist der Beweis für diese steile These? Die 255K ohne GHGs ist eine unüberprüfbare Vorraussetzung die einem flache Erde Modell entspricht, wobei die Form egeal ist, es könne auch ein Würfel sein, solange er eine konstante Temperatur hat.
Wie macht CO2 mit 425ppm Luft wärmer? Kann keiner erklären, weil man es nicht messen kann. Es „zappelt“ – überzeugt mich nicht.
Die gibt es schon, nur ist diese bedeutungslos, es ist eine Statistik, so wie Klima die Statistik des Wetters ist.
Herr Schulz, Sie sagten „Zum Messen nehme ich ein Thermometer. Und Strahlung addiere ich nicht. Wie soll das gehen?“ und
„Durch (155 W/m²) Gegenstrahlung erwärmt sich nichts“.
In meiner Excel-Grafik wurde ja am Äquator der solare Temperaturverlauf über Tag/Nacht ohne Gegenstrahlung berechnet. Wenn Sie Recht hätten dass die G. nicht wärmt, müsste man ja am Äquator um 12:00 -3 Grad messen. Tut man aber nicht, es sind etwa +30 Grad weil die W/m² sich am Boden addieren. Also wärmt die Gegenstrahlung und das ergibt sich auch mit S-B:
S+∆S=Sigma•(T+∆T)⁴.
Herr Heß,
Herr Heinemann hat folgendes gerechnet:
Annahme (Heinemann):
Oberflächenstrahlung Tagseite XT = 420 W/qm
(entspricht TT = 293,37 K)
Oberflächenstrahlung Tagseite XN = 360 W/qm
(entspricht TN = 282,28 K)
Bodenwärmestrom QT = XT-XN = 60 W/qm
Wärmeabstrahlung -QN = XT-XN = 60 W/qm
Sonneneinstrahlung ET = XT + QT = 480 W/qm
Albedo = (1- (480 W/qm)/684 W/qm) = 0,29825
Gegenstrahlung GT = 0 W/qm
Gegenstrahlung GN = XN + QN = 360 W/qm – 60 W/qm = 300 W/qm
Wegen geringerer Bewölkung beträgt
die Gegenstrahlung der nächtlichen Wolken nur 300 W/qm
statt 310 W/qm
und die Sonneneinstrahlung 480 W/qm statt 470 W/qm.
Ich habe diese Diskussionskette jetzt nicht verfolgt. Deshalb ist mir jetzt nicht klar, warum ich der Adressat bin.
Herr Heß,
Sie haben gesagt:
Die Temperaturen sind eine Folge der Energiebilanz. Sie enthalten nicht genügend Information, denke ich, um daraus die einzelnen Energieflüsse wie Sonneneinstrahlung oder Gegenstrahlung zurückzurechnen.
Daher habe ich Ihnen am 14.03. 2026 8:49 ein Beispiel gesendet, wie man aus Temperaturwerten auf einzelne Energieflüsse zurück rechnen kann.
I
Ich sehe trotzdem nicht wie das gehen soll.
Temperaturen sind am Ende nur das Resultat der gesamten Energiebilanz. Aus ihnen allein kann man nicht eindeutig zurückrechnen, wie groß einzelne Energieflüsse wie Sonneneinstrahlung oder Gegenstrahlung sind. Dafür wirken zu viele Prozesse gleichzeitig Strahlung, Konvektion, Verdunstung usw.
Wenn man aus Temperaturen trotzdem bestimmte Flüsse berechnet, steckt immer schon eine Reihe zusätzlicher Annahmen im Modell. Dann bekommt man eine mögliche Rechnung, aber keine eindeutige Bestimmung der realen Energieflüsse.
Herr Heß,
ich berechne das Jahresmittel der Tagseite und der Nachtseite.
Zu berechnen sind nur die Sonneneinstrahlung der Tagseite und die Gegenstrahlung GN sowie eventuell die Albedo.
(Heß)
Dafür wirken zu viele Prozesse gleichzeitig Strahlung, Konvektion, Verdunstung usw.
Da ich nur das Jahresmittel betrachte, fallen Konvektion und Verdunstung aus.
(Heß)
Wenn man aus Temperaturen trotzdem bestimmte Flüsse berechnet, steckt immer schon eine Reihe zusätzlicher Annahmen im Modell.
Ja, dass ist korrekt. Aber zusätzliche Annahmen sind notwendig. Sie müssen aber plausibel sein. Die Annahme, dass die Treibhausgase Einfluss auf die Erdtemperatur haben ist meines Erachtens nicht plausibel.
(Heß)
aber keine eindeutige Bestimmung der realen Energieflüsse.
Niemand kann die realen ( und lokalen und unwesentlichen) Energieflüsse messen und dann auch noch berechnen.
Daher sind Pi-mal-Daumen-Abschätzungen notwendig.
Vielleicht werfen Sie doch einmal einen Blick auf Rechenwerte.
Ja, sicherlich sind Daumen mal PI Abschätzungen hilfreich. Ich habe ja auch für Herrn Schulz 50 Pa Frage so eine Abschätzung gemacht. Sie machen eine andere Abschätzung, das ist doch gut. Aber man kann daraus kein „ Richtig“ oder „ Falsch“ ableiten meiner Meinung nach. Es ist ein „Wenn Dann“ Modell.
Herr Heß, sie haben eine Abschätzung gemacht. Das war gut, weil es ein paar weitere Eckdaten zum Beitrag vom CO2 am sogenannten Treibhauseffekt benennt.
Jetzt wäre die Atmosphärenphysik gefragt, damit die bisherige Erklärung zum Treibhauseffekt zu hinterfragen.
Würden sie sagen, das die „Konsens“ Erklärungen dem einfachen Test standhalten?
Gibt es schon eine Antwort, warum der Druck eine Rolle spielt?
Mein Modell ist nicht geeignet den Treibhauseffekt in Frage zu stellen.
Die Antwort zum Druck gibt die Atmosphärenphysik ja. Kollisionen sorgen für eine Verbreiterung der Emissionslinien. Ohne IR- Aktive Substanzen gibt es den Effekt nicht.
Meine Abschätzung baut ja darauf auf. Aber es erklärt auch nichts in der realen Atmosphäre, es benutzt nur Elemente aus der Atmosphärenphysik und kommt zu einem plausiblen Ergebnis. Plausibilität ist aber in der Naturwissenschaft kein Beweis.
Herr Heß,
der Begriff „Wenn Dann“ Modell gefällt mir.
Fall 1: kein Treibhauseffekt
Ich habe betrachtet die Sonneneinstrahlung (Tagseite,470 W/qm) ohne Gegenstrahlung Tag und die Gegenstrahlung (Nachtseite, 310 W/qm)
Rechen-Ergebnis: TT 292,8 K, TN 282,9)
Das sieht plausibel aus.
Fall 2: nur Treibhauseffekt
Ich habe betrachtet die Sonneneinstrahlung (Tagseite,470 W/qm) mit Gegenstrahlung Tag (187 W/qm) und die Gegenstrahlung (Nachtseite, 123 W/qm)
Anmerkung: 470 W/qm / 310 W/qm = 187 W/qm / 123 W/qm
Rechen-Ergebnis: TT 303,4 K, TN 270 K)
Das ist nicht plausibel.
Möglicher Fall 3: wolkenloser Himmel Albedo 0,04
Rechen-Ergebnis: TT 303 K, TN 270 K
Plausibel ?
Sie rechnen ihre Annahmen um. Was erklärt das?
Vertane Mühe beim Herrn Heß, Herr Kuck ……
Die Aussage, eine Annahme sei „plausibel“ oder „nicht plausibel“, ist zunächst kein physikalisches Argument. Plausibilität beschreibt nur eine persönliche Einschätzung darüber, ob etwas intuitiv überzeugend erscheint. Sie sagt aber nichts darüber aus, ob eine Aussage physikalisch richtig oder falsch ist. Sie ist also physikalisch ohne Bedeutung.
Herr Kuck,
Sie halten es hier nicht korrekt mit der ganzen Wahrheit, indem Sie Erklärungen von mir weglassen.
ich habe dieses https://ibb.co/jPR7GJc1
dazu berechnet und damals dazu geschrieben:
Herr Kuck,
ich habe hier die Gleichungen zur Klarheit nochmal niedergeschrieben und ihre physikalische Bedeutung in den Modellen hier nochmal deutlicher eingezeichnet, damit Sie es endlich verstehen. Gucken Sie es sich richtig an und sagen Sie mir, ob Sie es nun verstanden haben oder immer noch meine Bezeichnungen falsch verwenden. Daneben habe ich noch einige Zusammenhänge der 12h-Mittelwerte T bzw. N geschrieben. Auch dazu hätte ich gerne eine Antwort, ob Sie dies nachvollzogen haben.
Zu Ihren 3 Unbekannten (Statt T kann man auch X nehmen) XT, XN, QT =-QN. Klar ist, dass diese drei Größen bei den Vorgaben von ET und GN keine eindeutige Lösung haben. Die Lösung wird – wie erklärt – dann eindeutig, wenn das C des Klimasystems bekannt ist. Das C bestimmt auch die Amplitude des Bodenwärmestromes Q. Ist die Wärmekapazität C groß speichert der Boden am Tag gewonnene Wärme in den Boden, führt also Energie von der Tagbilanz zur Nachtbilanz über. Das führt zu einem ausgeglichenen Temperaturverlauf, wie man auch beim Meeresklima sehen kann.
Sie haben nun einfach nicht-physikalischen Beziehungen hinzuerfunden, wovon Sie glauben, das sei empirisch über tausenden von Jahren so gültig. Aber daraus wird kein physikalisches Gesetz! Ich bewies Ihnen ja schon, dass dieses Gesetz nicht „überspannt“ werden darf, um Unsinn zu „beweisen“.
Herr Heinemann,
1: Anscheinend haben Sie Ihre Schummelei nicht korrigiert.
2: Ich berechne Jahresmittelwerte. Daher ist C unbedeutend.
3: Sie haben XT-XN=QT immer noch nicht verstanden.
4: XT = 390 W/qm + QT/2
5: XN = 390 W/qm – QT/2
6: XT – XN = QT
7: Bewiesen haben Sie bisher nichts. Leider!
Ja stimmt, verstehe ich nicht.
Aber Sie offenbar auch nicht. Ich habe Sie ja bestimmt ergebnislos zweidutzend Male nach einer physikalischen Begründung gefragt. Vergebens.
Damit erhärtet sich bei mir der Verdacht, dass Sie über eine physikalische Begründung – nicht mal eine falsche – nicht verfügen und diese Gleichung frei erfunden haben.
Ihnen ist hoffentlich klar, dass in der Physik Gleichungen aus Naturgesetzen folgen müssen und nicht im Spatzenhirn von Einfaltspinseln erbrütet werden dürfen.
Auch hier weiß ich nicht, worin Sie Schummelei durch mich sehen. Ich habe diesen Vorwurf weitgehend ignoriert, weil ich erstmal Antworten von Ihnen zu meinen Fragen haben will. Aber mich nervt die penetrante Wiederholung dieses Vorwurfs doch und ich möchte jetzt Aufklärung von Ihnen, erklären Sie sich also.
Meine Rechnungen habe ich in Form der Graphen und Gleichungen ja offengelegt. Was fehlt Ihnen also?
Herr Heinemann,
Ja stimmt, verstehe ich nicht.
Versuchen Sie doch einmal, meine Gleichung zu widerlegen.
Anscheinend haben Sie Ihre Schummelei nicht korrigiert.
Sie haben Ihre Gleichungen nicht soweit wie möglich gekürzt. Sogar Herr Fischer konnte Ihre Gleichungen korrigieren.
Ich habe Ihnen außerdem gezeigt, wie man schummelt.
Arno Kuck 16. März 2026 18:32
Herr Fischer hatte Sie darauf hingewiesen, dass das falsch ist (30. November 2025 13:59):
Warum behaupten Sie jetzt wieder etwas falsches?
Herr Schmidt,
seit wann sind Sie Handlanger vom Schummler Heinemann?
Arno Kuck 16. März 2026 21:51
Hat wenig mit Handlanger zu tun, wenn Sie falsche Aussagen über jemanden machen und darauf hingewiesen werden.
Inhaltlich haben Sie nichts auszusetzen? Haben Sie deshalb zu einem ad hominem gegriffen?
Herr Schmidt,
ich habe viele Meldungen von Herrn Fischer erhalten.
Ich hatte nur festgestellt, dass er den Fehler von Herrn Heinemann gefunden hat.
Und ich habe dann festgestellt, dass man die Berechnungen von (0/310)-Gegenstrahlung hin zur (155/155)-Gegenstrahlung schieben konnte und zurück.
Ohne Herrn Fischer wäre mir das gar nicht so einfach aufgefallen.
Herr Heinemann glaubt, dass sowohl die (0/310)-GS als auch die (155/155)-GS zu gleichen Temperaturwerten der Tagseite und der Nachtseite entstehen können.
Willkürlich habe ich Gleichungen nicht gekürzt, sondern bewusst korrigiert.
Arno Kuck 17. März 2026 17:59
Da irren Sie sich halt. Herr Fischer hat Ihnen immer wieder erklärt, dass Ihre Sicht falsch ist und die von Herrn Heinemann richtig. Da kann er also bei Herrn Heinemann keinen Fehler gefunden haben, das bilden Sie sich nur ein.
Und er hat das rechnerisch auch gezeigt. Im Gegensatz zu Ihnen – Sie nehmen sich einfach zwei Temperaturwerte und behaupten, die würden sich unter Ihren Annahmen einstellen. Zeigen tun Sie das nicht, Sie lehnen sogar explizit ab das zu zeigen mit der Ausrede, Sie würden „nur Bilanzen (im Jahresmittel) berechnen“. Damit bleiben Sie den Nachweis schuldig, dass sich die von Ihnen angenommenen mittleren Temperaturen auf der Tag- und Nachtseite einstellen.
Herr Schmidt,
Und er hat das rechnerisch auch gezeigt.
Leider sind alle seine Ergebnisse falsch.
Sie würden „nur Bilanzen (im Jahresmittel) berechnen“.
Ja, was denn sonst.
Ich betrachte die Tagseite und die Nachtseite der Erde.
Im Gegensatz dazu betrachtet die Kiehl-Trenberth-Bilanz nur die gesamte Erde und auch nur im Jahresmittel.
Damit bleiben Sie den Nachweis schuldig, dass sich die von Ihnen angenommenen mittleren Temperaturen auf der Tag- und Nachtseite einstellen.
Sie irren sich. Ich berechne entweder die Temperaturwerte (aus Sonneneinstrahlung und Gegenstrahlung) unter Nutzung der
Bedingung XT-QT/2=XN+QT/2=390 W/qm
oder die Sonnenstrahlung und Gegenstrahlung (aus den Temperaturwerten der Tagseite und der Nachtseite) unter Nutzung der
Bedingung XT-QT/2=XN+QT/2=390 W/qm.
Arno Kuck 18. März 2026 10:43
Seine Formeln, eingehende Größen und Ergebnisse liegen offen. Wenn es da einen Fehler gäbe, könnten Sie ihn einfach zeigen. Aber Sie behaupten nur.
D.h. Sie machen immer Annahmen über einen Teil der Größen, statt sie zu berechnen. Wenn Sie die Temperaturen wirklich berechnen würden, müßten Sie mit T_tag = T_nacht = 0K anfangen können und Ihre Temperaturen müßten sich durch die Erwärmung am Tag und Abkühlung in der Nacht im Laufe der Zeit einstellen.
Herr Schmidt,
(Schmidt)
D.h. Sie machen immer Annahmen über einen Teil der Größen, statt sie zu berechnen. Wenn Sie die Temperaturen wirklich berechnen würden, müßten Sie mit T_tag = T_nacht = 0K anfangen können und Ihre Temperaturen müßten sich durch die Erwärmung am Tag und Abkühlung in der Nacht im Laufe der Zeit einstellen.
Da muss ich aber lachen.
Ich gebe vor:
Sonneneinstrahlung ET = 470 W/qm
Gegenstrahlung (GT + GN) = 310 W/qm und GT = 0 W/qm
und benutze Bilanzen:
Bilanz Tagseite: ET = XT + QT
Bilanz Nachseite: XN = GN + QT
Dann, Herr Schmidt, berechne ich zunächst QT.
Und danach XT und XN
Jetzt können Sie anfangen zu rechnen. Und die berechneten Temperaturwerte mit der Wirklichkeit vergleichen.
Herr Kuck
„Beweisumkehr“ im Sinne von jeden Blödsinn widerlegen zu müssen überzeugt in Physik nicht.
Sie sehen ja an meinen Rechnungen, dass QT bei gleichem XT und XN von C abhängt. Also sind Sie widerlegt.
Dass Ihnen das nicht gefällt, ist keine Physik.
Ich habe nicht verstanden, was Sie damit meinen. Kürzen tut man Quotienten. Wo sind die? Sie meinen wohl damit „Summen bilden“ von Eneegieflüssen, das dürfen Sie aber nur da, wo es physikalusch (Energieerhaltung) korrekt ist.
Habe ich auch nicht verstanden. Zeigen Sie mir es an einem abstrakten Beispiel, was Sie damit meinen, und belegen Sie, dass ich es auch konkret hier mache.
Herr Heinemann,
(Heinemann)
Sie sehen ja an meinen Rechnungen, dass QT bei gleichem XT und XN von C abhängt. Also sind Sie widerlegt.
(Kuck)
Ich berechne nur Bilanzen (im Jahresmittel), keine Zeit-Verläufe.
Da muss ich kein C beachten.
Na und? Es muss trotzdrm daaselbe rauskommen, und damit zeigt es, dass Sie die Bilanzen falsch berechnen, was ja an Ihrer Fantasieformel liegt.
Herr Heinemann,
ich berechne Bilanzen.
Sie berechnen unsinnigerweise mit einer DGL Zeit-Verläufe.
Dummerweise mit frei erfundenen C-Werten.
Die Bilanz folgt aus den Zeitverläufen. Die Zeitverläufe sind deswegen nicht unsinnig, weil es in Wirklichkeit ja auch so ist.
Die C-Werte sind in Rahmen realistischer Wärmekapitäten. Sie sehen ja an den daraus folgenden Temperaturkurven, dass diese realistisch sind.
Herr Heinemann,
seit wann erfolgt die Bilanz aus Zeit-Verläufen?
Realistisch ? Sie haben auf der Tagseite die GT (155 W/qm) in den Bodenwärmestrom gesteckt und einen Teil (155 W/qm) der GN
(310 W/qm) an die Wärmeabstrahlung abgegeben.
Sie schummeln ohne Ende
Herr Kuck
Ist ja offensichtlich, die Energiesumme bildet man per Integration über die Zeitverläufe der Leistungen, ist Physik. Kennen Sie nicht?
Herr Heinemann,
Integration über die Zeitverläufe der Leistungen.
Im Bereich Klima können Sie doch keine sinnvollen Zeit-Verläufe berechnen. Denn Sie kennen die Randbedingen überhaupt nicht.
Sie können doch höchstens Messdaten einsammeln und dann addieren, wie zum Beispiel vom Wettermast in Hamburg.
Herr Heinemann,
Sie haben einfach meine Bedingung XT-XN=QT verletzt.
Auch schon bei meinem „Kuck-Modell“ mit (0/310)-Gegenstrahlung:
XT(420 W/qm) – XN(360 W/qm) = QT(60 W/qm) ungleich QT (50 W/qm)
Diese kleine Abweichung 60 zu 50 ist zu verschmerzen.
Ihr „neues“ „Heinemann-Modell“ mit (155/155)-Gegenstrahlung haben Sie sich etwas Neues einfallen lassen:
Sie haben die Gegenstrahlung (155 W/qm) der Tagseite dem Bodenwärmestrom QT zugesprochen (und damit gleichzeitig der Wärmeabstrahlung – QN der Nachtseite).
Die Bedingung XT(420 W/qm) – XN( 360 W/qm) = QT(205 W/qm ungleich 50 W/qm ist gravierend verletzt.
Ich habe Sie mehrfach darauf hingewiesen, dass die Bedingung
XT-XN = QT erfüllt sein muss. Oder Sie entdecken eine andere mögliche Bedingung.
Ohne Bedingung ist jede (x/(310-x)-Gegenstrahlung scheinbar korrekt. Auch das habe ich Ihnen bereits mehrfach geschrieben.
Denn XT,XN und QT müssen berechnet werden. Da reichen die Tag-Bilanz und die Nacht-Bilanz nicht aus.
Die Bedingung XT-XN = QT ist also notwendig.
Herr Kuck,
mit anderen Worten, Ihnen ist die ganze Zeit bewußt, dass Sie unrealistischen Blödsinn machen und Bedingungen herbeizaubern die keinen Realitätsbezug haben.
Ich habe Sie also zu Unrecht ernstgenommen.
Herr Heinemann,
XT + XN = 780 W/qm = XT-QT/2 + XN+QT/2 = 390 W/qm+390 W/qm
Fall 1:
Die Tagseite ist gleich warm wie die Nachtseite (QT=QN= 0 W/qm
Dann gilt ET = XT = XN = GN = 390 W/qm
Fall 2:
Die Tagseite wird ständig stärker erwärmt als die Nachtseite.
Dann gilt
ET + GT = XT+QT = 390 W/qm + QT·1,5
GN = XN-QT = 390 W/qm – QT·1,5
oder
XT = 390 W/qm + QT/2
XN = 390 W/qm – QT/2
oder
XT – XN = QT
Je größer der Bodenwärmestrom, um so wärmer oder kälter wird die entsprechende Tagseite oder Nachtseite
Herr Heinemann,
Sie verstehen nichts.
Leider schummeln Sie deshalb zwangsläufig, weil Sie die notwendige Bedingung XT-XN = QT ignorieren.
Ein grober Fehler ist, dass Sie XT und XN nicht gleichzeitig berechnen.
Ihre DGLs taugen dafür auch nicht. Ihre Kurven sehen so aus, als wenn die Sonne immer scheint.
Wie sieht es denn mit Bewölkung aus?
Ich habe übrigens gestern die Gleichung XT-XN=QT bewiesen!
Arno Kuck 19. März 2026 7:43
Die Größen sind bei Herrn Heinemann von der Zeit abhängig, die werden also ständig für jeden Zeitpunkt t berechnet – für den selben Zeitpunkt t, also gleichzeitig.
Wie kann man auf diesen Graphen schauen

die sinusförmige Einstrahlung der Sonne für den halben Tag sehen (die rote Kurve) und dann behaupten, dass die Sonne immer scheint? Irgendwie scheinen Sie den Graphen nicht zu sehen oder nicht zu verstehen. Sie haben den Energiefluss in den Boden nicht gesehen, die verwendete Wärmekapazität, nun sehen Sie die zeitabhängige Sonnenstrahlung nicht. Woran liegt das?
Die Sonne scheint immer, aber nicht immer überall.
Im thermischen Gleichgewicht tauschen zwei Körper dennoch weiterhin Strahlung gemäß ihrer Temperatur aus. Die einzelnen Strahlungsflüsse bleiben bestehen, aber sie sind nunmehr gleich groß, so dass der Nettoenergiefluss Null ist.
Nur als Konkretisierung nicht das sich festsetzt es gäbe dann keine Energieflüsse mehr. 😀
Moritz Steinmetz 12. März 2026 15:56
Falls Sie viel Langeweile haben, können Sie das Herrn Portius erklären. Bei ihm sitzt das sehr fest …
In der Antwort von Herrn Heß gibt es nur um die Energiebilanz eines Körper, und zwar des Erdkörpers über seine Oberfläche.
Wo ist hier von 2 Körpern und ihrem thermischen Gleichgewicht die Rede?
PS Ihnen ist schon klar, dass im thermischen Gleichgewicht der beiden Körper, diese dieselbe Temperatur haben?
Ja, Danke. Da hätte ich nicht dran gedacht.
Das machen gem. der Definition von Kirchhoff nur zwei schwarze Körper gleicher Temperatur, ansonsten gilt dass im Equilibrium keine Wärme ausgetauscht wird, es fehlt der Gradient, zwischen den Körpern bildet sich eine stehende Welle aus.
Ihre Behauptung, dass dies nur für zwei schwarze Körper gelten würde, ist falsch. Kirchhoffs Gesetz besagt lediglich, dass für einen Körper im thermischen Gleichgewicht gilt:
Absorptionsgrad = Emissionsgrad (für jede Wellenlänge und Richtung).
Das gilt für reale Körper genauso wie für ideale Schwarzkörper. Der Schwarzkörper ist dabei nur der Grenzfall mit maximaler Emission.
Wenn zwei reale Körper mit Emissionsgrad ε1 und ε2 dieselbe Temperatur haben, senden beide weiterhin gleiche Strahlung aus. Sie absorbieren jedoch im Mittel genau so viel Energie, wie sie emittieren. Daher bleibt die Temperatur konstant.
Die Aussage, zwischen den Körpern bilde sich eine stehende Welle, ist sehr zweifelhaft, denn thermische Strahlung ist keine kohärente monochromatische Welle wie bei einem Laser, sondern ein inkohärentes Strahlungsfeld mit breitem Spektrum und zufälligen Phasen. Unter solchen Bedingungen entstehen keine stabilen stehenden Wellenstrukturen zwischen zwei Oberflächen.
Gem. Kirchhoff tauschen nur zwei schwarze Körper gleicher Temperatur permanent Wärme aus, ansonsten gilt dass im thermischen Gleichgewicht KEINE Wärme ausgetauscht wird da das chemische Potenzial 0 ist, es gibt keinen Gradienten.
Herr Portius,
Das ist physikalisch kompletter Schwachsinn. In dem Fall schwarzer Körper gleicher Temperatur wird selbstverständlich null Wärme übertragen.
Kirchhoff war es, der „sein“ Gesetz auf Körper mit unterschiedlichem Emissionsgrad E und unterschiedlicher Temperatur T erweiterte.
Die Wärmeübertragung Q zwischen zwei Körpern ist Q = E1×F(T1) – E2×F(T2), wobei F(T) die Energieabstrahlung eines schwarzen Körpers der Temperatur T ist, die Stefan und Boltzmann für das Gesamtspektrum und Planck spektral ermittelte.
Lesrn Sie den Buchausschnitt aus dem Physikbuch Gerthsen Kneser Vogel, den ich Ihnen hier mal reingestellt habe.
Herr Schmidt,Sie wollten darauf hinweisen, dass auch bei Clausius der kältere Körper dem wärmeren Wärmestrahlung zustrahlt und diese auch vom wärmeren Körper absorbiert wird. Aber Clausius sagt doch dass der wärmere Körper dann mehr abstrahlt als er empfängt (und daher abkühlt). Beim THE ist jedoch das Gegenteil der Fall weil ∆S sich im Gleichgewicht zu S addiert und gemäß S-B eine Erhöhung der Temperatur entsteht.
Peter Dietze 11. März 2026 11:15
Ist das Ihrer Meinung nach für den von Clausius betrachteten Fall falsch?
Sein betrachteter Fall ist falsch! Der wärmere Körper (Erdboden) kühlt nicht ab, sondern erwärmt sich weil er mehr Strahlung empfängt und im Gleichgewicht auch wieder abstrahlt.
Peter Dietze 12. März 2026 7:48
Sie meinen sicher, der von Clausius betrachtete Fall (zwei Körper) ist ein anderer, als der beim Treibhauseffekt (Sonne/Erdoberfläche/Atmosphäre/All), oder?
Es ging in der Diskussion hier aber um Ihre Aussage: „der antike Clausius (1887) hatte die Wärmeleitung im Sinn und glaubte fälschlich, dass sich Strahlung ebenso verhält.“ Ich denke, in der Diskussion wurde anhand Ihrer eigenen Aussagen klar, dass Sie sich dabei vertan haben.
Worüber allgemein Übereinstimmung bestehen dürfte, ist, dass ettliche Leute die Aussage von Clausius für zwei Körper falsch auf andere Situationen übertragen oder wie im Falle von Herrn Portius die Aussage sogar gänzlich falsch verstehen …
Und Wasser wird aus blauen Dunst verdampft?
Doppelpostings sollen zwar nicht sein, aber der Michael wird mal eine Auge zudrücken, wenn ich es an DIESER Stelle noch mal mit Ergänzungen einfüge:
Ich übersetze mal die „Strahlenkasperei“ in ein vielleicht leichter faßbares Bild / „Modell“ für Dietze und Heß und Schmidt und Heinemann und ff.:
In jedem Rinnsal bis hin zu großen Flüssen fließt das Wasser sowohl bergauf als auch bergab! „Netto“ landet auch irgendwann etwas im Meer, weil bergab mehr unterwegs ist ……
;-)))))
Ich warte auf Bestätigung durch die Strahlenfeteschisten ….. 😉
Herr Schmidt hat doch auf etwas ganz anderes hingewiesen. Bei der Wärmeübertragung durch Strahlung zwischen zwei Körpern sendet nicht nur der wärmere Körper Strahlung aus. Auch der kältere Körper emittiert Strahlung, die vom wärmeren Körper absorbiert werden kann. Während der warme Körper also insgesamt Energie verliert und abkühlt, absorbiert er gleichzeitig einen Teil der vom kälteren Körper emittierten Strahlung. Entscheidend ist daher nicht ein einzelner Teilfluss, sondern die Nettobilanz des Strahlungsaustauschs.
Herr Heß, Sie scheinen (zugunsten von Herrn Schmidt) nicht verstehen zu wollen dass der THE nicht beim Zweikörperproblem entsteht wo ja der wärmere Körper mehr Energie verliert als der kalte.
Beim Dreikörperproblem entsteht durch (geringere) Gegenstrahlung des kälteren Körpers, die im Gleichgewicht absorbiert und emittiert wird, gemäß S+∆S=Sigma•(T+∆T)⁴ beim wärmeren (solar beheizten) Körper eine Temperaturerhöhung ∆T. Wer das nicht begreift, hat S-B und die Strahlungsphysik gar nicht verstanden.
Die Begriffe Zweikörperproblem / Dreikörperproblem sind der Himmelsmechanik vorbehalten.
Haben wir nicht eine „Vielst-Körper-Realität“, Herr Dietze?!?
OH GOTT …..
Ich habe lediglich darauf hingewiesen, dass Herr Schmidt meines Erachtens einen anderen Punkt angesprochen hat. Hat auch ihr Dreikörpermodell begriffen.
Im Übrigen: Die Gleichung S + delta S = sigma (T + deltaT)^4 beschreibt nur die Strahlung eines idealisierten Körpers. Das Stefan-Boltzmann-Gesetz E = sigma T^4 gibt die emittierte Strahlungsleistung eines Körpers an, nicht seine Temperatur. Die Temperatur der Erdoberfläche ergibt sich aus der gesamten Energiebilanz, zu der neben der Strahlung auch konvektive und latente Wärmeflüsse gehören.
Eine Änderung der Gegenstrahlung allein kann daher nicht isoliert über das Stefan-Boltzmann-Gesetz in eine Temperaturänderung übersetzt werden. Dazu müsste man die vollständige Energiebilanz des Systems berücksichtigen,
dazu reicht ihr Dreikörpermodell nicht. Aber das war gar nicht das Thema.
Herr Heß, klar dass sich dieTemperatur der Erdoberfläche aus der gesamten Energiebilanz ergibt, also auch Wind, Wolken und Meeresströmungen beteiligt sind sowie T⁴, weshalb man ja mit
Mittelwerten aufpassen muss.
Sie vergessen leider dass es bei unserer Diskussion und meinen Formeln hier nur um den THE durch „kältere“ Gegenstrahlung geht und somit alle anderen Betrachungen zu Temperatureinflüssen auf der Erde irrelevant sind.
Nein, Herrn Schmidt und mir ging es hier gar nicht um Ihre stark vereinfachte Darstellung des Treibhauseffekts. Der Bezugspunkt war vielmehr die Diskussion bei Clausius über den Strahlungsaustausch zwischen zwei Körpern unterschiedlicher Temperatur.
Clausius betrachtet zunächst zwei Körper, die nicht im Gleichgewicht sind und deshalb Strahlung austauschen. Beide Körper emittieren Strahlung entsprechend ihrer Temperatur, sodass Energie in beide Richtungen übertragen wird. Entscheidend ist dabei nicht ein einzelner Teilfluss, sondern der Nettofluss: Da der wärmere Körper mehr Strahlung emittiert als der kältere, erfolgt der resultierende Wärmefluss vom warmen zum kalten Körper. Erst wenn beide Körper die gleiche Temperatur erreicht haben, verschwindet dieser Nettofluss und es stellt sich Gleichgewicht ein.
Genau auf diesen Punkt bezog sich meine Bemerkung zur Nettobilanz des Strahlungsaustauschs.
Herr Heß, Ihnen und Herrn Schmidt geht es garnicht um den Treibhauseffekt – der jedoch hier Gegenstand der Diskussion mitsamt den Clausius-Zitaten ist. Also, Sie klammern absichtlich den THE aus und diskutieren den primitiv-trivialen Fall dass sich durch den Netto-Energieaustausch zwischen einem warmen und einem kälteren Körper der wärmere abkühlt. Genau an diesen Fall denkt der antike Clausius weil er nur das Zweikörperproblem betrachtet. Deshalb wird er ja von THE-Leugnern so gern zitiert.
Der THE ist aber ein Dreikörperproblem welches unter Beachtung von S-B genau das Gegenteil – nämlich im Strahlungsgleichgewicht eine Temperaturerhöhung des wärmeren Körpers ergibt. Sie erinnern sich sicherlich an meinen Kommentar dass Gegenstrahlung wärmt, denn ohne sie müssten wir gegen Weltraumkälte anheizen und dass es in frostklaren Nächten besonders kalt ist und durch Bewölkung wärmer wird.
Peter Dietze 11. März 2026 20:56
Wenn Sie aufmerksam lesen würden, hätte Ihnen das bereits vor zwei Tagen klar sein können. Es ging mir um IHRE falsche Aussage „der antike Clausius (1887) hatte die Wärmeleitung im Sinn und glaubte fälschlich, dass sich Strahlung ebenso verhält.“ Genau diese Aussage hatte ich zitiert und darauf hingewiesen, dass Sie sich in diesem Punkt irren.
Wieder mal ein Dietz’scher Strohmann gefällig?
Im klassischen Zweikörperproblem (z. B. Sonne–Planet) lässt sich die Bewegung exakt lösen, weil sich das System auf eine effektive Einteilchenbewegung reduzieren lässt. Beim Dreikörperproblem (z. B. Sonne–Erde–Mond) existiert im Allgemeinen keine geschlossene analytische Lösung mehr; das System wird dynamisch komplex und häufig chaotisch. Diese Begriffe beschreiben also eine spezifische Eigenschaft der Bewegungsgleichungen gravitativer Systeme.
In der Strahlungsphysik oder Thermodynamik ist diese Terminologie eigentlich unpassend. Dort handelt es sich nicht um gekoppelte Bewegungsgleichungen weniger diskreter Körper, sondern um Energiebilanzen und Strahlungsaustausch zwischen Oberflächen oder Volumina. Wenn mehrere Körper Strahlung austauschen, wird das mathematisch durch gekoppelte Bilanzgleichungen beschrieben. Die Anzahl der beteiligten Körper verändert zwar die Anzahl der Terme in der Energiebilanz, führt aber nicht zu einem grundsätzlich neuen physikalischen Problemtyp im Sinne eines „Dreikörperproblems“.
Was soll dieser ständige fachlich angehauchte Vernebelungsschwachsinn???
Es ist doch ganz einfach:
Ich erlebe derzeit täglich den „Strahlungsfrost“ an meinem im Freien geparkten Auto. Das Dach setzt zeitlich zuerst Kondensat/Reif an, dann kommt die geneigte Frontscheibe, Seitenscheiben windrichtungsabhängig später…..
Die „Kälte“ des wolkenlosen Himmels „strahlt“ grantiert nicht auf mein Auto, DIE „saugt“ allerdings „gesetzmäßig“ die Restwärme ab mit der Folge, dass Luftfeuchte auf den Oberflächen nicht nur kondensiert, sondern „irgendwann“ GEfriert.
Comprende, Herr Heß? Oder fallen Ihnen auch zu solchen Fakten „Pastoren-Sprüche“ ein? 😉
Ich übersetze mal die „Strahlenkasperei“ in ein vielleicht leichter faßbares Bild / „Modell“ für Dietze und Heß und ff.:
In jedem Rinnsal bis hin zu großen Flüssen fließt das Wasser sowohl bergauf als auch bergab! „Netto“ landet auch irgendwann etwas im Meer ……
;-)))))
Ich warte auf Bestätigung durch die Strahlenkasper ….. 😉
Herr Schmidt,
Sie haben in diesem Fall recht.
Deshalb hatte ich nach ihrer Definition von Wärme gefragt.
Die Antwort haben Sie noch nicht gegeben.
Herr Schmidt hat die moderne thermodynamische Definition verwendet, Clausius in der Tat nicht.
Soso, der antike Clausius. Dann dürfte die Theorie die Sie hier, wohl unwissentlich, verwenden wohl aus der Steinzeit stammen. Prevost’s Theorie, welche die Grundlage für das Strahlungsgleichgewicht ist, ist von ~1792 und dieser glaubt Wärme wären Partikel, das Caloricum; Fourier übrigens auch. Und genau diese Theorie hat Clauisus ab den 1850ern widerlegt.
Wenn die zwei Körper sich gegenseitig anstrahlen, was Clausius mit „dass nicht nur der warme Körper dem kalten, sondern auch umgekehrt der kalte Körper dem warmen Wärme zustrahlt, aber das Gesamtresultat dieses gleichzeitig stattfindenden doppelten Wärmeaustausches“ beschreibt, werden Sie feststellen dass dem wärmeren Körper keine Wärme vom kälteren Körper hinzugefügt wird. Ansonsten müsste das Thermometer, da Wärme immer etwas postives ist, eine höhere Temperatur anzeigen.
Schauen Sie sich das Video an! Oder machen Sie das nicht um Ihr Unwissen nicht zu gefährden? Lesen Sie nach was Prevost’s Theorie und der Prevostsche Satz ist.
Na dann beweisen Sie mal mit einem Experiment dass dem NICHT so ist. Damit dürfte Ihnen ein Nobelpreis sicher sein und die Geschichte der Thermodynamik muss neu geschrieben werden.
Tja, da haben wir doch das Problem: Es gibt in der Realität keinen perfekten schwarzen Körper, den gibt es nur im Modell. Und das scheinen u.a. Sie nicht begreifen zu wollen, Ihr GHE existiert nur im einem Modell welches auf einer seit langem obsoleten Theorie und stark vereinfachten Annahmen beruht.
Dass Sie sich offenbar weigern sich das Experiment anzusehen und das ignorieren was man Ihnen sonst noch zeigt sagt doch alles: Sie weigern sich die Realität zur Kenntnis zu nehmen und spielen lieber mit ihrem unterkomplexen Modell herum und helfen damit den Alarmisten. Ganz tolle Leistung!
Sie haben das Strahlungsgleichgewicht im Dreikörpersystem immer noch nicht verstanden, wollen jede Quantifizierung des minimalen THE durch CO2 (zur Freude des IPCC) zunichte machen, sorgen dafür dass wir Kritiker als Spinner ignoriert werden und Klimaschutzpolitiker mit der Dekarbonisierung weitermachen können.
Natürlich habe ich verstanden dass Sie hier mit einem Zirkelschluss argumentieren indem Sie die Theorie des dynamischen Strahlungsgleichgewichts mit der Theorie des dynamischen Strahlungsgleichgewicht gem. Prevost erklären wollen. Das Prinzip der Wärmeübertagung haben Sie aber immer noch nicht verstanden.
Ausserdem versuchen Sie auszuweichen, es geht um die Erdoberfläche welche durch die GHGs als Teil der Luft von 255K auf 288K erwärmt werden soll, das ist wieder die Theorie und hier wird ignoriert dass die Realität nicht im Durchschnitt funktioniert.
Nein Dietze, diejenigen die den Alarmisten hier zuspielen das sind die Lukewarmer die es ermöglichen dass die Alarmisten mit ihren imginären Feedbacks die Erwärmung künstlich hochtreiben können.
Ihre neutrale Haltung ist es die den ganzen Betrug erst möglich gemacht hat, Sie zeigen die gleiche Ignoranz und Unbelehrbarkeit wie die Alarmisten. Ihre Weigerung sich einmal mit der Experiment und Prevost’s Theorie auseindanderzusetzen zeigt doch dass es hier nur um Ihr Ego geht, Sie sind ja nichtmal bereit anzuerkennen dass der Effekt nur im Modell existiert (schwarze Körper gibt es nicht).
“The hottest places in hell are reserved for those who, in time of great moral crisis, maintain their neutrality.” – Dante
Das angebliche Strahlungsgleichgewicht ist eigentlich schnell verstanden.
Wenn am Hamburger Wettermast 280 W/m2 Strahlung aus der Atmosphäre ankommen und die Sonne 300 W/m2 liefert und sich keine Temperatur von 45 Grad C einstellt, dann kann der Treibhauseffekt nicht so funktionieren, wie sie es sagen.
Und ich sage das, weil ich sehen kann, wie gefährlich die Dekarboniesierung ist.
Herr Schulz, wenn am Hamburger Wettermast 280 W/m2 Strahlung aus der Atmosphäre ankommen und die Sonne 300 W/m2 liefert und sich keine Temperatur von 45 Grad C einstellt, denken Sie bitte an meine Berechnung des solaren Temperaturmittelwerts von etwa -3 Grad über Tag/Nacht am Äquator (mit Albedo, Rotation, Speicherung – aber ohne Gegenstrahlung).
Und, wenn sie das in Hamburg so feststellen, heisst das eigentlich nur, wir wissen, das weder die eine noch die andere Rechnung stimmen kann, aber mehr noch, die Erklaerung ueber Strahlung funktioniert eben nicht!
Vor allem weil es die ominoese Strahlung von 155 W/m2 so nicht gibt!
Beispiel: Ich berechne dass die Sprengung von Ibbenbüren langfristig nur 0,00005 Grad bringt, Sie bekämpfen das heftig indem Sie fälschlich behaupten, es gibt gar keinen THE und somit ist der Effekt nur 0,00000 Grad – und glauben noch Sie bewirken etwas mit dem antiken Clausius während ich nur den Alarmisten helfe. Es ist nicht zu fassen.
Was nicht zu fassen ist, ist dass Sie Clausius leugnen, das ist hochgradig lächerlich. Ausserdem scheinen Sie zu vergessen das es primär erst einmal um die 33K natürlicher „GHE“ geht.
Lesen Sie sich mal das hier durch: Kanon der Erdbestrahlung, Milanković, Milutin 1941, insbesondere was auf Seite 484 zu lesen ist.
Es gibt keinen strahlenden „Treib- oder Glashauseffekt“. Finden Sie sich damit ab dass es nur ein Modell ist.
Herr Portius, wenn ich mich hier mal einmischen darf: bitte vergessen Sie nicht, dass die ganze Physik nur aus Modellen besteht!
Die Frage ist nicht, ob etwas „nur“ ein Modell ist, sondern ob das Modell zur Erklärung eines Sachverhaltes geeignet ist oder nicht.
Vollkommen richtig. Das Strahlungsgleichgewicht wird von Schwarzschild beschrieben, und dieser wendet sein Modell auf die Atmosphäre der Sonne an. Gleichzeitig erwähnt er auch dass die Erdatmosphäre sich, idealisiert, in einem adiabatischen Gleichgewicht befindet.
Man muss nun kein Genie sein um festzustellen dass Strahlungsaustausch aka Wärmeübertragung und Adiabatik sich per Defintion ausschliessen.
Schauen Sie sich an was Grok zum Strahlungsgleichgewicht sehr gut zusammenfasst:
Das muss auch per se nicht falsch sein, Wettermodelle arbeiten nach ähnlichen Prinzipien, ein 3D Gitterbox Modell, nur ist halt „Energie“ nicht gleich „Energie“ und die Atmosphäre hat keine Schichten die sich wie ein perfekter schwarzer Körper verhalten, d.h. dass sie alle auf sie treffende Strahlung absorbieren.
…würde nach (84) und (140) … 15,018 Grad ergeben.
Was sind die Gleichungen (84) und (140)?
Thomas Heinemann 10. März 2026 17:45
Das interessiert Herrn Portius nicht. Er hat sein Textfragment, das er in die Runde werfen kann und das reicht ihm.
So wie immer, wenn man bei seinen Aussagen mal nachhakt.
Dass Milankovitch vorher die Energieflussbilanz für die Erdoberfläche hergeleitet hat und dort auch die langwellige Einstrahlung der Atmosphäre eingeht, ignoriert er (oder tut es als „Modell“ ab). Sie hatten auf den Kommentar auch geantwortet und etwas zu Ekholm klargestellt …
Das wiederum interessiert mich nicht. Wenn er nichts liefert, ist sein Gebärden als Fälschungsversuch zu werten.
Die Kenner der Literatur fragen auf einmal nach den Gleichungen. Sollten sie schon wissen, oder?
Werner Schulz 11. März 2026 23:57
Sie können anhand eines Textausschnittes sofort den Autor und Titel des Artikels/Buchs nennen und wissen dann auch sofort, auf welche Gleichung sich eine Nummer bezieht? Alle Achtung, ich ziehe meinen (nicht vorhandenen) Hut…
Der Punkt hier war allerdings, dass der zitierende (Herr Portius) auch keine Ahnung hatte, auf was sich denn die Nummern in seinem Zitat beziehen …
Der Autor und das Buch waren angegeben. Die „Kenner“ hätten also nur das Buch bemühen müssen, oder?
Schmidt/Müller demonstriert hier was für ein unaufrichtiger, niederträchtiger und schäbiger Typ er ist.
Zum einen hat er beim letzen mal wo ich ihm die Seite gezeigt habe selber herausgefunden woher der Ausschnitt stammt, aus Milankovic’s Arbeit Kanon der Erdbestrahlung von 1941 welche ich hier für Dietze verknüpft habe, s.o.. (den scheint das garnicht zu jucken und antwortet einfach nicht mehr).
Und natürlich findet man die Gleichungen (84) und (140) in genau jener Arbeit. Heinemann ist ganz offensichtlich nicht in der Lage dem Link zu folgen und selber nach den Gleichungen zu suchen und pöbelt stattdessen wieder nur rum; was für ein intelektueller Minderleister. lol
Unter (84) findet man dann gleich auch noch das hier „weder die Erdoberfläche noch die Erdatmosphäre als vollkommene Strahler zu betrachten sind.“
Müller und Heinemann wollen hier ganz offensichtlich mit Dreck schmeissen und Lügen verbreiten, so wie alle (Klima-)Genossen es gelernt haben und überall im Netz praktizieren. Zufall?
Die Formeln bitte, ihr link zum pdf ist keine sichere Verbindung. Wenn Sie sie Seite haben, zeigen Sie sie einfach.
Lieber Herr Heinemann, ich werde Ihnen mal helfen, ich zweifle nur, dass Ihnen diese beiden Gleichungen ohne den zugrunde liegenden Zusammenhang irgendwie weiterhelfen. Dazu müsste man schon das komplette Dokument zur Hilfe nehmen.
Aha, danke Herr Gregor.
Diese beiden Gleichungen der Himmelsmechanik belegen also die Behauptung von Herrn Portius nicht, sie behandeln ja keine Temperatur.
Demnach versucht Herr Portius hier physikalische Irreführung zu verbreiten. Sein Drang zum Verbreiten von physikalischem Unsinn ist also aggressiver als ich dachte.
Thomas Heinemann 13. März 2026 8:43
Milankowitch nummerierte seine Gleichungen pro Kapitel, die (140) gibt es mehrfach. Die in dem Zitat gemeinte dürfte
sein, die 84 beschreibt die eingestrahlte Energie.
Nun gut, haben Sie die Arbeit als pdf link auf einen vertrauenswürdigen Server?
Herr Gregor, war wohl nett gemeint von Ihnen, aber der Ball liegt immer noch bei Portius. Wenn er nicht liefert, steht weiterhin im Raum, ob Portius hier nicht einfach irreführen will.
Thomas Heinemann 13. März 2026 17:50
Nein.
Das kann Herr Heinemann nicht wissen, weil es die Literatur gar nicht sichtet.
Auf einmal? Fuehlen sie sich durchschaut?
Marcus Portius 12. März 2026 19:37
Ja, ich habe, nachdem Sie es mir nicht sagen wollten, selber herausgefunden, was die Quelle war. Wird dadurch das von mir zitierte falsch? Ich hatte Sie gefragt, woher der Text stammt und Sie wollten es mir nicht sagen. Ihnen reichte, dass der Autor irgendwie auf 15°C gekommen ist. Erklärt haben Sie es bis heute nicht.
Der einzige, der hier ständig unsachlich wird, sind Sie. Typischerweise wenn Sie in einer Sackgasse landen und nicht weiterwissen.
Der LInk war im Text!
So wie sie mit den Armen wedeln, sollte man sie zur zuverlässigen Windenergieprodukktion einsetzen!
Werner Schulz 13. März 2026 8:30
Können Sie ja gerne behaupten. Es gibt sicherlich inzwischen auch einen Kommentar mit Link auf das Buch. Am 7. Februar 2026 19:31, als ich nachgefragt hatte, gab es keinen Link und ich musste selber suchen gehen.
Darum geht’s hier aber nicht. Der Link ist oben gegeben.
Aber wir können sie beglückwünschen:
Ich kann das nur sofort, wenn der Link dasteht und ich die Gleichung raussuche.
Herr Heinemann kann es nicht, oder?
Werner Schulz 13. März 2026 20:22
Sie haben auf meinen Kommentar geantwortet, in dem es genau darum ging.
Dass Sie es können, müßten Sie erst mal zeigen. Dass es bei dem Buch nicht ganz so trivial ist, hat Herr Gregor gerade gezeigt. Ihr Ansehen würde in meinen Augen drastisch steigen, wenn Sie erklären könnten, wie Milankowitch die zitierten 15°C bestimmt …
Herr Müller/Schmidt
Laut dem Papier und ihrer eigenen Recherche ergeben sich die 15 Grad C aus den Formeln:
Da die Rechnung und Formel auch ihnen bekannt ist, sehe ich nicht, wie ich mein Ansehen bei ihnen verbessern kann. Tut mir leid.
Werner Schulz 14. März 2026 9:50
Ich habe lediglich darauf hingewiesen, was die Formeln sind. Daraus wird für mich nicht sofort klar, wie der Author daraus die 15°C ableitet. Und Sie können das – wie erwartet – auch nicht erklären. Warum diskutieren Sie denn überhaupt über das Buch, wenn Sie nichts zur Diskussion beitragen können?
Wenn ich einen sicheren link bekäme,,würde ich es selbst nachprüfen. Haben Sie einen?
Ich gehe davon aus, dass Herr Portius einen Täuchungsversuch macht und seine Behauptung ein substanzloser Bluff ist.
Warum springen Sie ihm dabei zur Seite, indem Sie die Sache nicht einfach aufklären helfen und mit der Quellenangabe aushelfen?
Die Quelle stand da! Ich will ihnen helfen, das zu verstehen. Klappt nicht, oder?
Wissen sie, was eine Selbsttäuschung ist?
Werner Schulz 14. März 2026 9:42
Herr Heinemann fragt nach einem „sicheren Link“. Versuchen Sie das pdf-File herunterzuladen und achten Sie dabei darauf, was Ihnen der Browser über die Sicherheit der Verbindung zum Server sagt. Dann verstehen sie vielleicht, worum es geht.
Sie reden hier über etwas, das Sie offensichtlich nicht verstehen. Das ist Ihre Selbsttäuschung ….
Ich würde sagen blinde Niedertracht beschreibt dieses Verhalten ganz gut, oder?
Im Rahmen der Netiquette kann man das so sagen, mir fallen dazu aber noch eine ganze Reihe andere Worte ein.
Auf jeden Fall kann man die pure Verzweiflung sehen, Müller und Heinemann merken offenbar garnicht wie lächerlich sie sich machen; und genau aus diesem Grund verweigern Alarmisten die öffentliche Diskussion in den Medien. Der Kaiser ist nackt.
Stellen Sie sich vor Lesch&Co würden im TV mit den Fakten konfrontiert werden, das wäre ein Spass! LOL
Versuchen sie moralisch ihre Physik zu verteidigen?
Die Sprengung von Ibbenbüren oder das CO2 beim Weiterbetrieb sind unbedeutsam für das Klima. Darin kann man sich einig sein.
Aber ob 0.00005 K oder es gibt keinen Einfluss vom CO2, wo ist der Unterschied? Messbar ist es nicht und erklärbar?
Das ist verletzte Eitelkeit, was man seit Jahren auf den verschiedenen Blogs beobachten kann (Watts, Eschenbach, Curry, Goddard/Heller etc. etc.), oder auch Experten we Lindzen oder Happer. Am Ende werden die Realisten verbannt, oder geben irgendwann entnervt auf; es ist in der Tat als würde man mit einer Wand reden.
Da hat man Jahrzehnte herumgerechnet und am Ende ist alles Schall und Rauch, verschwendete Lebenszeit, und natürlich nicht zu vergessen:
“The law that entropy always increases holds, I think, the supreme position among the laws of Nature. If someone points out to you that your pet theory of the universe is in disagreement with Maxwell’s equations – then so much the worse for Maxwell’s equations. If it is found to be contradicted by observation – well, these xperimentalists do bungle things sometimes. But if your theory is found to be against the Second Law of Thermodynamics I can give you no hope; there is nothing for it to collapse in deepest humiliation.” – Arthur Stanley Eddington
Soweit ich weiss hat bereits Immanuel Velikovsky in den 1960ern Carl Sagan darauf hingewiesen dass sein „Greenhouse effect“ auf der Venus gegen den 2ten HS verstösst. Sagan schreibt in einem seiner frühen Artikel selber von einer alternativen Theorie welche die Oberflächentemperatur durch Reibung (von Staub) erklärt.
Watts und auch Eschenbach sicherlich.
Sonst eher das Anhängen an der Strahlungserklärung. Nennen wir es den Dietzeeffekt!
Velikovsky ist selbst unserer Zeit weit voraus.
Man sieht es daran dass eine Inversionswetterlage niemals von der darüber liegenden Warmluft durch „Gegenstrahlung“ aufgelöst wird. Erst durch direkte Sonneneinstrahlung (Konvektion) oder advektivem Luftaustausch (Wind) löst sich die Inversionswetterlage auf. Und da will man mir erklären dass kalte Luft die wärmere Erde wärmer macht….
Herr Pesch, Sie werden es nicht glauben, aber kalte Styroporplatten machen auch warme Häuser wärmer. Und auch Gegenstrahlung wärmt, denn ohne sie müssten wir gegen Weltraumkälte anheizen. Dass es in frostklaren Nächten besonders kalt ist und durch Bewölkung wärmer wird, wollen Sie hoffentlich nicht bestreiten.
Da ist er wieder der physikalisch unsinnige Vergleich zwischen einem CO2 Molekül in der Gashülle und der Styroporplatte…. 🤦♂️🤦♂️
Naja, wenn Herr Dietze wenigstens die geringe Wärmeleitfähigkeit der Luft als Ursache sehen würde wollen….
OH GOTT, Dietze, haben SIE es wirklich nötig, sich so zu blamieren???
Wllen Sie intellektuell die „Ute“ unterbieten? 😉
Der irre Opa ist ja immer noch da – ein Jahr ist vergangen und der Kerl hat nichts gelernt.
Dietze&Co begreifen einfach nicht dass der GHE nur im Modell existiert; was man eigentlich schon unschwer daran erkennen kann dass der angebliche Effekt nur „im Durchshchnitt“ funktioniert.
Das kommt davon wenn man sich nicht mal die Zeit nimmt um herauszufinden was das für Modelle sind die man seinen Zahlen füttert, oder hartnäckig ignoriert was andere dazu schreiben. So gesehen ist der Treibstoff des GHE pure und reinste Ignoranz mit dem Zusatzstoff Leseinkompetenz.
Herr Portius,
Kennen Sie denn irgendeine naturwissenschaftliche Beobachtungstatsache, die sich ohne Modell erklärt?
Nein, denn es gibt kein Phänomen in der Natur, welches sich ohne Modell erklärt.
Nehmen wir mal die Wärmeleitung: sie glauben, dass im Wärmeleiter Wärme von
Warm nach kalt fließt. Aber das ist ein Modell, genauso wie es ein Modell ist, dass diese Wäme dort der Nettoenergiefluß von Phononen ist, die sich im Leiter in beide Richtungen fließen. Sowohl der Wärmefluß als auch die Phononen lassen sich (unterschiedlich aufwändig) messen. Aber, dass die Messung das zeigt, was sie soll, setzt ein Modell voraus.
Ist das Ihr „Offenbarungseid“, Heinemann 😉 ?
Guter Punkt fuer die relative Unwirksamkeit von Strahlung innerhalb der Atmosphaere!
Das Experiment fand leider nicht im Vakuum statt. Der Abkühlungseffekt könnte durch verringerte Impuls aus der Trockeneisrichtung erklärt werden.
Clausius 1854/1857:
Es kann nie Wärme aus einem kälteren in einen wärmeren Körper übergehen,
Verschiedene Betrachtungen über das Verhalten und die Natur der Wärme hatten mich zu der Überzeugung geführt, dass das bei der Wärmeleitung und der gewöhnlichen Wärmestrahlung hervortretende Bestreben der Wärme von wärmeren zu kälteren Körpern überzugehen,
A) Wärme geht von warm nach kalt,
B) die Richtung des Energieflusses von Wärmestrahlung, gegeben durch die Strahlrichtung der Wärmestrahlung, ist unabhängig von der Temperatur
Herr Portius, bestätigen Sie nun B) als physikalisch richtig oder wollen Sie weiterhin physikalischen Unsinn verbreiten?
Ich stelle meine Worte an dieser sehr passenden Stelle nochmals ein, in der Hoffnung auf eine „aufklärende“ Antwort:
Zitat (leicht geändert) Anfang:
„Ich übersetze mal die „Strahlenkasperei“ in ein vielleicht leichter faßbares Bild / „Modell“ für Dietze und Heß und Heinemann und ff.:
In jedem Rinnsal bis hin zu großen Flüssen fließt das Wasser sowohl bergauf als auch bergab! „Netto“ landet auch irgendwann etwas im Meer ……
;-)))))
Ich warte auf Bestätigung durch die „Experten“ ….. 😉“
Zitat Ende ….
Nur damit wir vom selben reden: Meinen Sie mit Wärme die Energieübertragung zwischen zwei Systemen?
Herr Heß, Strahlung hat keine Tecmperatur sondern ist ein elektromagnetischer Energiefluss. Auch Strom hat keine Temperatur und fliesst glücklicherweise auch von warm nach kalt. Wenn Strahlung nur von warm nach kalt ginge, könnten wir ja viele TV-Sender nicht empfangen. Ich frage mich wie ein Schwarzkörper für alle ankommenden Strahlungen Spektralanalysen machen und die Quelltemperaturen feststellen soll um die „kälteren“ Photonen zu reflektieren. Wer an solchen Blödsinn glaubt, hält auch das Gesetz von S-B für falsch – und damit auch den THE durch Gegenstrahlung. Man halte z.B. nur einen Spiegel vor einen starken Scheinwerfer. Dann wird oft die Birne durchbrennen.
ich wollte nur wissen, wie sie Wärme definieren. Das haben Sie jetzt nicht gesagt.
Ein einzelnes Photon hat keine Temperatur, Temperatur ist eine Zustandsgröße eines Systems, nicht eines Teilchens. Ein Strahlungsfeld besitzt jedoch Energie und Entropie; deshalb lässt sich für thermische Strahlung thermodynamisch eine Temperatur definieren. Genau darauf basiert die Theorie der Wärmestrahlung seit Planck.
Die Temperatur des Strahlungsfelds ist aber fiktiv. Wenn die Sonnenstrahlung eine Temperatur hätte, wäre sie auf dem langen Weg von 150 Mio km zu uns längst auf 3 K abgekühlt. Die Wärme wird erst bei der Absorption erzeugt. Strom hat doch auch keine Temperatur, aber kann in einem Widerstand Wärme erzeugen.
Die Temperatur eines Strahlungsfeldes ist keine „fiktive“ Größe. Ein Strahlungsfeld besitzt Energie und Entropie. Sobald für ein System Energie und Entropie definiert sind, lässt sich daraus thermodynamisch auch eine Temperatur bestimmen. Genau deshalb kann man einem Strahlungsfeld eine Temperatur zuordnen. Die Temperatur ist damit eine reale thermodynamische Eigenschaft des Strahlungsfeldes und keine bloße Fiktion.
Herr Heß, weder ein Magnetfeld noch ein elektrostatisches hat eine Temperatur. Und wenn die Feldstärken wechseln, ergibt sich auch keine Temperatur, wohl aber ein Energiefluss. Dem kann man eine Temperatur „zuordnen“ wenn man annimmt dass er von einem Scharzkörper absorbiert wird.
Herr Dietze,
ihr Vergleich mit statischen elektrischen oder magnetischen Feldern führt hier in die Irre. Ein Strahlungsfeld ist kein einzelnes Feld, sondern ein Ensemble elektromagnetischer Moden mit einer spektralen Verteilung. Diese spektrale Verteilung besitzt Energie und Entropie und kann deshalb thermodynamisch durch eine Temperatur beschrieben werden.
Die Situation ist ganz analog zu einem Elektronengas: Ein einzelnes Elektron hat keine Temperatur, wohl aber ein Ensemble vieler Elektronen mit einer statistischen Energieverteilung. Ebenso hat ein einzelnes Photon keine Temperatur, ein Photonengas mit einer bestimmten spektralen Verteilung dagegen schon.
Genau diese thermodynamische Beschreibung der Strahlung, als Photonengas mit Energie und Entropie, wurde von Max Planck entwickelt.
Herr Dietze
Sie argumentieren falsch. Die Temperatur des Strahlungsfeldes ist durch die Energieverteilung der Photonen bestimmt, die dieses Strahlungsfeld bilden. Gucken Sie einem einem ordentlichen Physikbuch nach.
Herr Heinemann. wenn die Temperatur des Strahlungsfeldes durch die Energieverteilung der Photonen bestimmt ist, müsste doch die Sonnenstrahlung, wenn Sie auf dem Weg zu uns abkühlt, die Energieverteilung der Photonen (also das Spektrum) verändern. Das geschieht aber nicht.
Herr Dietze
Nein, passiert nicht, die Energieverteilung bleibt gleich. Wieso meinen Sie, sie sollte sich ändern? Nur weil die Bestrahlungsdichte von der Sonnenoberfläche zur Erde entsprechend der Oberflächenzunahme abnimmt?
Ist Ihnen der Unterschied zwischen einer durchstrahlten Oberfläche im interplanetaren Raum und der Sonnenoberfläche klar?
Wie kommen Sie darauf, dass die Sonnenstrahlung auf dem Weg zu uns abkühlt?
Weil Sie und Herr Heinemann fälschlich behaupten, das Strahlungsfeld aus vielen unterschiedlichen Photonen habe eine Temperatur. Elektromagnetische Strahlung hat – ebenso wie el. Strom – KEINE Temperatur.
Herr Dietze,
Das ist keine „fälschliche Behauptung“ von Herrn Heß und mich, sondern eine objektiv überprüfbare Tatsache, die sich in Physikbüchern findet.
Also, halten Sie sich einfach an die Fakten und fantasieren Sie nicht rum.
Ich habe Ihnen ein paar Hilfestellungen gegeben wie Sie Ihre Defizite in der Physik zu diesem Punkt durchs Selbststudium vermindern können. Haben Sie schon ein Resultat vorzuweisen oder beschäftigen Sie sich immer noch mit sich mit Ihren Irrtümer?
Es hat micv nur 30 sec gekostet, ein Skript zu finden, was Ihre Behauptung widerlegt, hier z.B.
https://people.physik.hu-berlin.de/~sokolov/TDBACH/SPW12.pdf
Wie wollen Sie Irrtum rechtfertigen, wenn jeder Sie in 30 sec widerlegen kann?
Ihr Einwand beruht auf einer Verwechslung. Ein einzelnes Photon hat natürlich keine Temperatur – genauso wenig wie ein einzelnes Gasmolekül eine Temperatur hat. Temperatur ist keine Eigenschaft eines einzelnen Teilchens, sondern eines Ensembles im thermodynamischen Sinn.
Ein Strahlungsfeld besteht aus sehr vielen Photonen mit unterschiedlichen Energien. Entscheidend ist daher nicht das einzelne Photon, sondern die Energieverteilung der Photonen. Wenn diese Verteilung der Planckverteilung entspricht, kann man dem Strahlungsfeld eine Temperatur zuordnen. Diese Temperatur ist einfach der Parameter dieser Verteilung und lässt sich direkt aus dem gemessenen Spektrum bestimmen. Genau so wird z. B. die 2,7-K-Temperatur der kosmischen Hintergrundstrahlung bestimmt.
Bei der atmosphärischen Gegenstrahlung oder die Abstrahlung der Erde ist die Situation etwas komplexer, weil die Strahlung aus vielen Schichten mit unterschiedlichen Temperaturen stammt. Das resultierende Strahlungsfeld ist daher eine Überlagerung mehrerer Emissionsbeiträge und kein perfektes Planckspektrum. Trotzdem lässt sich daraus eine effektive Strahlungstemperatur bestimmen, genau das macht man in der Infrarot-Fernerkundung ständig.
Im Übrigen wird auch einem materiellen Körper thermodynamisch streng genommen nur dann eine eindeutige Temperatur zugeordnet, wenn er sich im Gleichgewicht befindet. Reale Systeme – etwa die Atmosphäre oder ein Metallstab mit heißem und kaltem Ende – besitzen ebenfalls Temperaturgradienten. Man arbeitet dann mit lokalen oder effektiven Temperaturen.
Die pauschale Aussage „elektromagnetische Strahlung hat keine Temperatur“ greift daher zu kurz. Richtig ist nur: Ein einzelnes Photon hat keine Temperatur. Ein thermisches Strahlungsfeld – auch wenn es aus mehreren Schichten stammt – kann jedoch sehr wohl über sein Spektrum einer Strahlungstemperatur zugeordnet werden.
Frage Herr Heß,
wenn die Sonne scheint, dann enthält das Strahlungsfeld doch allerhand unterschiedliche Elektronen aus Solarstrahlung und vom Boden kommend, aus der Atmosphäre…
Muss man die Elektronen spektral zuordnen, um die Planckverteilung beobachten zu können?
Herr Schulz
Falsch, das Strahlungsfeld besteht bekanntlich aus Photonen.
Man erhält die Planckverteilung indem man bekanntlich die Intensitätsverteilung der Strahlung spektral aufgelöst vermisst, also letztlich Photonen entsprechend ihrer Frequenz zählt.
Sicher. Gut aufgepasst Herr Heinemann.
Wenn die Sonne scheint, dann enthält das Strahlungsfeld doch allerhand unterschiedliche
ElektronenPhotonen aus Solarstrahlung und vom Boden kommend, aus der Atmosphäre…Muss man die
ElektronenPhotonen spektral zuordnen, um die Planckverteilung beobachten zu können?Und woher weiss man ob das Photon von der Sonne kommt oder vom Boden? In dem Photonenfeld tummeln sich ja Photonen von allen Quellen. Und sie „fliegen“ in alle Richtungen?
Und wenn man die Photonen spektral unterscheiden kann, kann man dann ein Photon einer Quelle ganz genau zuordnen?
Man erhält die Planckverteilung indem man bekanntlich die Intensitätsverteilung der Strahlung spektral aufgelöst vermisst, also letztlich Photonen entsprechend ihrer Frequenz zählt.
Aus der Richtung, woher es kommt?
In welchem Photonenfeld? Die Photonen der Sonnenstrahlung, die bei der Erde ankommen, kommen ja aus Richtung der Sonne und sind nicht thermisch, sie haben auch keine Temperatur mehr, sobald sie die Sonnenoberfläche verlassen haben. Diesen Punkt findet Herr Dietze ja so aufregend, dass er darüber nicht cool nachdenken kann.
Die thermischen Photonen in der Luft, die von den Treibhausgasen erzeugt werden, sind lokal thermisch und damit isotrop. Die gehen lokal in jede Richtung.
Nein, nur die Wellenlänge des Photons zu kennen, reicht nicht.
In der Atmosphäre kann man nicht unterscheiden wo die Photonen herkommen, weil die Strahlung in ihr isotroph in alle Richtungen geht? Die der Sonne sind aber gerichtet?
Was braucht man noch?
Oder anders gefragt, woher weiss Herr Dietze oder sie oder der Erdboden wo die Photonen herkommen?
Könnte man sagen Solar und Atmosphärische Strahlung sind überlagert?
Mein Gott Schulz, Sie stehen sich wieder selbst im Weg
Was ist das wieder für ein Schwachsinn, was schrieb ich denn EXAKT, hm?
Nein, nur die Wellenlänge des Photons zu kennen, reicht nicht.
Na, die Herkunft des Photon natürlich, ist doch klar.
Sie sehen ja, dass beide Strahlungensarten in der Luft vorkommen. War das Ihre Frage? Warum fragen Sie das dann?
Möglicherweise haben ich Sie da missverstanden und Sie haben sich nur ungenau ausgedrückt. Tut mir leid, wenn ich überreagiert hätte und Sie nun verunsichert habe.
Nehmen wir msl ein konkretes Beispiel: in der Sonnenstrahlung wie auch in der Wärmestrahlung der Treibhausgase kommen Photonen mit 15 um Wellenlänge vor. Das CO2 emittiert solche, aber ein paar liefert auch die Sonne. Wenn man nun einen Photonencounter zum Himmel richtet und so ein Photon detektiert, kann man nicht unterscheiden, ob es von irgendeinem CO2 Molekül aus der Luft direkt frisch emittiert kommt, oder an irgendeinem Luftmolekül in diese Richtung gestreut wurde und woanders emittiert wurde oder das Glück hatte, von den THGs unabsorbiert direkt von der Sonne kam. Die meisten 15 um Photonen freilich sind thermische Photonen vom CO2. Die Chance, dass es ein solches ist, ist am höchsten.
Sparen sie sich doch ihr Selbstmitleid. Von Ihnen erwarte ich nichts anderes.
Von der Sonne kommen gleichwertige Photonen so wie vom CO2 in der Atmosphäre?
Und gestreut in der Atmosphäre erreichen sie die Erdoberfläche?
Muss man in der Nacht messen oder?
Und werden die Photonen, also 15 Micro Meter auch vom CO2 aus der Sonne absorbiert? Und dann erreichen sie den Boden nicht gleich, richtig?
Woher kennt man die Herkunft?
Strahlungensarten?
Im Strahlungsfeld der Sonne oder der Atmosphäre befinden sich keine Elektronen, sondern Photonen. Elektronen gehören zur Materie; Strahlung besteht aus Photonen. Die Temperatur eines Strahlungsfeldes ergibt sich aus seiner spektralen Energieverteilung, nicht daraus, dass man einzelne Teilchen „zuordnet“.
Ja weiss auch nicht warum ich Elektronen gesagt habe, wahrscheinlich wegen der vergleichenden Diskussion um Waermeleitung oder Strom…..
Das war aber nicht die Frage. Hier noch mal!
Wenn die Sonne scheint, dann enthält das Strahlungsfeld doch allerhand unterschiedliche
ElektronenPhotonen aus Solarstrahlung und vom Boden kommend, aus der Atmosphäre…Muss man die
ElektronenPhotonen spektral zuordnen, um die Planckverteilung beobachten zu können?Ja. In der Realität ist das Strahlungsfeld eine Mischung aus Solarstrahlung, Bodenstrahlung und atmosphärischer Emission mit unterschiedlichen Spektren. Deshalb misst man das Spektrum und bestimmt daraus Helligkeitstemperaturen; aus dem gesamten Strahlungsfluss kann man dann zusätzlich eine effektive Strahlungstemperatur ableiten.
Genau so wird auch die atmosphärische Gegenstrahlung beschrieben: Sie ist kein einzelnes Planckspektrum einer bestimmten Luftschicht, sondern eine spektrale Mischung vieler Emissionsbeiträge, die in einfachen Modellen wie bei Herrn Dietze durch eine effektive Strahlungstemperatur zusammengefasst wird.
Ist es nicht einfacher die Temperatur zu messen?
Strahlungsmessungen sind heutzutage sicher Standard und daraus lässt sich dann vieles ableiten.
Deswegen haben die IR-Thermometer auch die ‚zigfach größerere Messunsicherheit gegenüber berührender Messung!
War das mal wieder ein typischer „Heß“? AU weia …..
Ja Da haben Sie in der Tat mehr Erfahrung als ich. Können Sie da quantitativ werden.
Wenn Sie heutzutage Oberflächentemperaturen oder Temperaturen unterschiedlicher Atmosphärenschichten messen, wie groß ist denn da die Messunsicherheit der berührenden Messung zur Messung über Strahlung?
Bzw. Wie macht man Fernerkundung mit berührender Temperaturmessung?
Das war ja im Grunde die Frage von Herrn Schulz.
ich habe nur höflich versucht die Frage von Herrn Schulz zu beantworten, wenn Sie das besser wissen, fände ich es super wenn Sie das beantworten, da ich immer gerne was Neues lerne. Ich habe ja nicht in der DDR Abitur gemacht wie Sie und kann deshalb noch viel von Ihnen lernen.
Trotz Ihrer Süffisanz, Herr Heß:
(Aber vielleicht wollen ja auch andere etwas lernen …..)
Wenn Sie so fragen, liegt im „berührenden“ Kalibrierwesen in den betreffenden Temperaturbereichen die Unsicherheit im mK-Bereich, an Fixpunkten beim Wassertripelpunkt und Gallium sogar darunter.
Ein berührend messendes Fieberthermometer wird „nur“ auf Einhaltung eines „Gutbereiches“ bei 37 und 42 °C vermessen (±0,25K), es ginge systembedingt auch „genauer“.
Übliche technische Widerstandthermometer erlauben Messunsichheiten (je nach Klasse) von wenigen 0,1 K.
Meteorologische Glasthermometer wurden üblicherweise in 10-K-Schritten kalibriert mit Unsicherheiten kleiner 50 mK und gerätespezifisch dokumentiert (Werkprüfschein o.ä.). Ich bezweifele allerdings, ob die daraus ableitbaren Korrekturen immer in die weitergegebenen Temperaturdaten eingeflossen sind …..
Bei den heutigen „elektrischen“ kann man mittlerweile sicherlich überall die kalibrierten Kennliniendaten hinterlegen, sodaß manuelle Korrekturen für Anzeige und Sensor theoretisch entfallen.
Was aber bleibt, sind „Limburgs Wahrheiten“, gelle …. 😉
Die „berührungslosen“ kommen an solche geringen Messunsicherheiten nicht heran. Neben den „inneren“ Unsicherheiten (es braucht ähnlich einem Thermoelement eine „Vergleichsstelle“, die direkt ins Ergebnis eingeht), dazu muß das Epsilon der Meßfläche bekannt und am Gerät eingestellt sein.
Man kann in der Praxis z.B. zwar recht einfach feststellen, welche Wände eines Zimmers wärmer oder kälter sind oder irgendwelche „Hotspots“ suchen, für Absolutmessungen aber eher immer fehlerbehaftet.
Deshalb findet man auch kaum Angaben zur tatsächlichen K-Messunsicherheit, wenn, dann Angaben in % (z.B. 1,5%), Bezugspunkte werden allerdings nicht genannt.
Wenn ich also meine ersten Fehlerrechnungen in Physik der 7. oder 8. Klasse der POS mit den auch heute noch gültigen Regeln zugrunde lege bezüglich der Prozentangaben bei analogen Messwerken von z.B. 2%, würde das bei einem IR-Thermometer von – 50 bis 400 °C einen Grundfehler von ± 9K (!!!) bedeuten.
Und von Satelliten aus ist die Physik auch nicht viel anders …..
Satelliten messen die Infrarotstrahlung, die von der Erde und der Atmosphäre ausgesendet wird. Die Instrumente an Bord registrieren diese Strahlung in verschiedenen Wellenlängenbereichen.
Damit die Messung zuverlässig ist, werden die Radiometer im Orbit ständig kalibriert. Dazu besitzen sie interne Schwarzkörper-Referenzen sowie den freien Weltraum als kalte Referenz. Auf diese Weise lässt sich die Strahlungsintensität sehr genau bestimmen.
Für die Unsicherheit der Strahlungstemperatur habe ich so 0.1 K in Erinnerung. Immerhin haben die ja jetzt 50 Jahre Erfahrung.
Um dann in einer spezifischen Schicht der Atmosphäre die Temperatur zu berechnen braucht man Rechenverfahren, da habe ich mir so 0.5 K gemerkt als Unsicherheit.
Ob man das in der Atmosphäre mit Berührungsthermometern z.b. in Ballons genauer hinkriegt weiß ich nicht.
Wissen Sie nun auch noch, WOHER „MAN“ weiß, dass man die „Strahlungstemperatur“ (genaugenommen totaler fachlicher Blödsinn von Ihnen, weil an OBERFLÄCHEN gebunden, (den Rest Ihrer „Erläuterungen“ möchte ich jetzt lieber nicht weiter hinterfragen …..),Herr Heß! 😉 ) „in einer spezifischen Schicht“ mit 0,1 K Unsicherheit (welches K? (Erweiterungsfaktor….)) messen kann??? DAS klappt nicht mal aus 1 m Entfernung mit einem IR-Thermometer in Ihrer Wohnung (ich hätte beinahe bei Ihrem „Brett vorm Kopf“ geschrieben, tschuldigung ….).
Ich könnte Ihnen gerne einige Anbieter von Grundkursen zur Temperaturmessung empfehlen …..
Kann sein das ich mich geirrt habe, das war meine Erinnerung. Kennen Sie die genauen Messunsicherheiten der Satellitenmessungen?
Herr Heß, Fragen Sie doch mal die Fraktion der Strahlenkasper!
Anscheinend haben Sie weder berufliche noch private Erfahrungen mit Temperaturmessungen, „lehnen sich aber aus dem Fenster“ wie ein „Experte“ (könnte ja klappen mit den „Lehren“ aus dem Schauspielkurs zum ABI …).
Bei „berührender“ Messung ist schon erheblicher Aufwand für 100 mK Messunsicherheit nötig, … Ihre Frage habe ich unter
Ulrich Tengler
Antwort auf Günter Heß
15. März 2026 16:24
wohl ausreichend erläutert …..
Deshalb frage ich ja sie. Habe aber die Antwort auf folgende Frage noch nicht bekommen.
Hochwertige Satellitenradiometer erreichen Radiance-Unsicherheiten im Bereich von etwa 0.1–0.5 %, habe ich gelesen. Gilt das für die IR Thermometer auch die sie erwähnten. Oder messen die etwas anderes als Radiance.
„Ein elektromagnetisches Feld hat nicht automatisch eine Temperatur. Eine Temperatur ist nur dann definiert, wenn die Energieverteilung des Strahlungsfeldes thermisch ist, also der Planckverteilung entspricht. Dann spricht man von einer Strahlungstemperatur“
Herr Heß, Sie haben die „Strahlungstemperatur“ einer thermischen Planckverteilung des Emissionsspektrums mißverstanden. Das ist die Temperatur der emittieren Schwarzkörperoberfläche. Oder wenn die Strahlung (ggf. geschwächt durch das Entfernungsquadrat oder eine Absorption) ist es die Temperatur einer absorbierenden Schwarzkörperoberfläche. Die Strahlung selbst HAT ABER KEINE TEMPERATUR, denn für nur paar Linien wäre sie undefiniert und die Sonnenstrahlung würe auf 3 K abkühlen. Auch ein „Elektronengas“ nach Heinemann gibt es nicht (wären die Elektronen Massepartikel, könnte er ja vielleicht sogar die Gasgleichung anwenden).
Herr Dietze,
Sie sind offensichtlich kein Physiker. Natürlich können die stromtragenden Elektronen eine Temperatur haben. Üblicherweise haben sie die Temperatur des Leiters.
Aber geht auch anders, suchen Sie mal nach „hot electrons“ und ihre Wirkung in elektronischen Bauteilen.
Herr Heinemann, mag sein dass Physiker Elektronen oder die Umgebungstemperatur „zuordnen“.
Ich weiß nicht, was Sie mit „zuordnen“ speziel meinen. Aber Elektronen wie Photonen können eine Tenperatur haben wie jedes andere Partikel auch.
In den Begriffen Elektronengas und Photonengas wird -gas imselben physikaluschen Sinne wie immer für ein Gas benutzt.
Wer sieht noch durch?
Sie sagen:
Und Herr Heß sagt:
Wenn Sie durch die beiden Aussagen von Heß und mir nicht mehr durchsähen, müsten Sie fragen. Beide Aussagen besagen dasselbe.
Die beiden Aussagen widersprechen sich
Nein, wenn das so wäre, hätten Sie den Widerspruch ja zeigen können. Können Sie aber nicht, also halten Sie sich nicht mit Spuk auf.
Er steht ja da! Lesen können sie oder?
Nun, Ihren Widerspruch müssen Sie erst schreiben, damit man ihn lesen kann.
Herr Schulz, haben Sie jetzt verstanden, dass hier kein Widerspruch besteht? Dass eine einzelne Partikel keine Temperatur hat, sondern nur Ensemble von Partikeln, ist klar, Elektronen und Photonen betrifft das ebenso wie jedes andere Partikel.
…. gemäß Pipi-Langstrumpf – Füsigg …..
Ah ja, deshalb sagten sie:
Inklusive Tippfehler, unterscheidet sich ihre Aussage 100% von der von Herrn Heß.
Ich denke das ist die von ihnen ständig zur Schau gestellte Schwäche oder nicht vorhandene Selbstreflektion.
Herr Schulz,
Nochmal: wenn es unklar für Sie wäre, hätten Sie den Punkt genannt. Beschweren Sie sich nicht über Dinge, die Sie nicht benennen können.
Kann jeder selber sehen. Herr Steinmetz sollten sie noch antworten….
Ich sehe es nicht.
Und ich bin mir sicher, dass ich nicht der einzige bin, der eine Erklärung zu Ihrer Unterstellung braucht, um Sie von dem Verdacht zu befreien, hier nur substanzlos herumstänkern zu wollen.
Sie unterstellen mit eine Unterstellung, dabei steht alles da.
Sie sagen:
Und Herr Heß sagt:
Vielleicht fehlt ja ein „k“ bei ihnen, aber deshalb habe ich gefragt ob sie lesen können. Verstehendes vielleicht?
Die Aussage von Herrn Hess ist die zutreffendere und die von Herrn Heinemann ist schon vom Ansatz, Photonen als „Partikel“, her grundlegend falsch. Photonen sind keine materiellen Partikel mit Masse, sondern quantisierte Anregungen des EM-Feldes. Sie tragen eine definierte Energie und einen Impuls, die bei Wechselwirkungen auf Ladungen in Materie, beispielsweise Elektronen, übertragen werden können. Temperatur entsteht jedoch erst durch die statistische Verteilung von Energie auf viele Freiheitsgrade eines Systems und ist daher keine Eigenschaft eines einzelnen Photons, aber auch keine des Elektrons sondern entsteht erst als Resultierende des Energieübertrages und dessen „Wirkung“ im „Partikelsystem“. Um mal in dem obigen Sprachgebrauch zu verharren.
Herr Steinmetz
Unsinn, gucken Sie in ein Lehrbuch der Elemenatarteilchenphysik. Das Photon ist ein Boson und diese zählen zu den Teilchen=Partikeln.
Das kann man so durchgehen lassen. Das Photon hat keine Ruhmasse/Masse aber Energie und Impuls.
Das habe ich offensichtlich auch so geschrieben.
Also, wir sind und zu den beiden unteren Punkten einig.
In der Teilchenphysik werden Photonen als Bosonen klassifiziert und daher häufig als „Teilchen“ bezeichnet. In der quantenfeldtheoretischen Beschreibung sind sie jedoch die quantisierten Anregungen des elektromagnetischen Feldes. Das Wort „Teilchen“ ist hier eine praktische Bezeichnung für diskrete Feldanregungen und bedeutet nicht, dass Photonen materielle Partikel im klassischen Sinn sind.
Herr Steinmetz
Meine Rede. Wir stimmen überein.
Na ja, das gilt natürlich für Elektronen, Quarks, etc. genauso. Auch diese (fermionischen) Teilchen/Partikel werden als Anregungen ihres Quantenfeldes verstanden (Elektronfeld, Quarkfeld, etc.).
In der Quantenfeldtheorie macht der klassische Materiebegriff ja keinen Sinn.
Und was ist die reale Quintessenz, Heinemann?????
Nur „Modellierungen“ …..
Nix genaues weiß man nicht….., gelle …
Ist ja auch für Erkenntnisprozesse ok, dass man sich „Bilder“ schafft, nur sollten daraus keine Dogmen werden, die in (Weiter-) Denkverboten münden.
Ständiger Zweifel war schon immer der Antrieb von Forschung und Wissenschaft ….
Haben speziell die Strahlenkasper vergessen…., die auf der Stelle treten oder noch schlimmer.
Wovon die Quintessenz?
Temperatur, Quantentheorie und Quantenfeldtheorie erklären Messergebnisse. Dafür existieren sie.
Nur das Photonen keine „Partikel“ sind, sondern schlicht EM-Felder welche an „Partikel“ koppeln wenns bressiert. 😀
Man muss hier sauber unterscheiden. In der Thermodynamik werden Größen wie Energie, Druck oder Entropie immer einem Systemzustand zugeordnet, nicht der Substanz. Das System kann Materie sein oder eben ein Strahlungsfeld.
Bei Materie entstehen diese Größen aus der Bewegung vieler Teilchen, bei Strahlung aus vielen Photonen. Physikalisch ist das nur ein anderer mikroskopischer Mechanismus. Deshalb kann auch Strahlung Energie transportieren, Druck ausüben und Entropie besitzen.
Ist das Strahlungsfeld im thermodynamischen Gleichgewicht, hat es auch eine thermodynamische Gleichgewichtstemperatur. Das gilt übrigens genauso für Materie: Auch die thermodynamische Temperatur eines Körpers ist streng genommen nur im Gleichgewicht eindeutig definiert. Befindet sich ein System nicht im Gleichgewicht, arbeitet man nur noch mit lokalen oder effektiven Temperaturen.
Dasselbe gilt für Strahlung. Ist sie nicht im Gleichgewicht, kann man trotzdem eine Strahlungs- oder Helligkeitstemperatur definieren: Man fragt, welche Temperatur ein Schwarzkörper haben müsste, um bei einer bestimmten Wellenlänge die gleiche Intensität zu emittieren. Das ist dann keine Gleichgewichtstemperatur mehr, aber eine sinnvolle physikalische Vergleichsgröße.
Genau solche effektiven Strahlungstemperaturen werden übrigens auch in einfachen Treibhauseffekt-Modellen wie dem Ihren verwendet, wenn man aus einer Strahlungsleistung über das Stefan-Boltzmann-Gesetz eine Temperatur bestimmt.
Herr Heß, wenn das Strahlungsfeld im thermodynamischen Gleichgewicht ist, soll es auch eine thermodynamische Gleichgewichtstemperatur haben. Also hat das Feld eines Magneten Raumtemperatur. Und Sonnenstrahlen haben wohl die Temperatur der Sonnenoberfläche. Leider müssten die sich dann auf den langen Weg durch den Weltraum auf 3 K abkühlen. Da die das aber nicht tun, plädiere ich dafür dass Strahlung keine Temperatur hat, sondern nur ein Energietransport ist.
Max Planck war vor etwa 125 Jahren Gottseidank anderer Meinung als Sie. Deshalb hat er die Quantentheorie entdeckt.
Planck behandelt Strahlung ausdrücklich thermodynamisch und führt für monochromatische Strahlung eine Entropiedichte s(u, ν) ein, die nur von der Energiedichte u bei der Frequenz ν abhängt. Die Temperatur wird dann, wie in der Thermodynamik üblich, über die Ableitung der Entropie nach der Energie definiert. Bei Planck lautet seine Gleichung (117): 1/T = ds/du
Dabei ist s die Entropiedichte der Strahlung und u die Energiedichte der monochromatischen Strahlung. Genau über diese Beziehung definiert Planck die Temperatur des Strahlungsfeldes.
Dazu schreibt er:
“Through this law the concept of temperature gains significance also for radiation of a quite arbitrary distribution of energy. For since s depends only on u and ν, monochromatic radiation, which is uniform in all directions and has a definite energy density u, has also a definite temperature given by (117), and, among all conceivable distributions of energy, the normal one is characterized by the fact that the radiations of all frequencies have the same temperature.”
Deshalb plädiere ich dafür genau zu studieren wie konsequent Max Planck die Konzepte und Definitionen der Thermodynamik benutzt hat, um die Quantentheorie und die Planckfunktion abzuleiten.
Aber einem elektromagnetischen Feld?? Vielleicht ordnen Sie dann auch noch Gravitationswellen eine Temperatur zu. Und zu meinem Argument dass sich dann ja heisses Sonnenlicht auf dem Weg durch das Weltall auf 3 K abkühlen müsse und sich die Spektren verändern, haben Sie keine Antwort. Davon abgesehen sollten wir uns hier mit dem THE befassen anstatt über fiktive Physik zu debattieren und letztlich gar noch zu behaupten, Strahlung übertrage wegen dem 2.HS nur Energie von warm nach kalt.
Herr Dietze,
Welches elektromagnetische Feld hat denn die Strahlung der Sonne? Geben Sie DAS Feld mal an, wenn das so einfach wäre. Ihre 1+ haben Sie jedenfalls nicht in Quantenfeldtheorie bekommen.
Unsere Diskussion bezieht sich auf die Temperatur der Strahlung der Sonne. Können Sie der EIN elektromagnetisches Feld zuordnen?
Soll ich Sie nun noch weiter auf die Folter spannen und aufs Selbststudium der Physik verweisen oder soll ich Ihnen die Lösungen verraten?
Ich bin etwas über Ihre Engstirnigkeit und Aufgeregtheit überrascht. Sie haben nicht mal versucht, meine Fragen zu beantworten. Dabei müsste Ihnen da ein Licht aufgehen…
Herr Dietze,
Ich habe eine Antwort. Aber Ihre Mutmaßung ist nicht ganz korrekt. Denn Sie setzen unreflektiert etwas voraus – ganz dummer Fehler.
Was ist denn die Voraussetzung, dass sich das Licht nach Verlassen der Sonnenoberfläche „abkühlen“ kann?
Davor müssen Sie doch erstmal klären, ob das Licht nach Verlassen der Sonnenoberfläche überhaupt noch eine Temperatur hat. Hat es das denn? Die Frage habe ich Ihnen im Prinzip schon gestellt, ich schrieb, lesen Sie:
Nein, passiert nicht, die Energieverteilung bleibt gleich. Wieso meinen Sie, sie sollte sich ändern? Nur weil die Bestrahlungsdichte von der Sonnenoberfläche zur Erde entsprechend der Oberflächenzunahme abnimmt?
Ist Ihnen der Unterschied zwischen einer durchstrahlten Oberfläche im interplanetaren Raum und der Sonnenoberfläche klar?
Die Frage sollten Sie beantworten. Da lernen Sie was.
Ihr Einwand vermischt mehrere Dinge. Ein elektromagnetisches Feld hat nicht automatisch eine Temperatur. Eine Temperatur ist nur dann definiert, wenn die Energieverteilung des Strahlungsfeldes thermisch ist, also der Planckverteilung entspricht. Dann spricht man von einer Strahlungstemperatur. Genau so wird z. B. die Temperatur der kosmischen Hintergrundstrahlung bestimmt.
Sonnenlicht ist dagegen kein Strahlungsfeld im thermischen Gleichgewicht mit dem interplanetaren Raum. Beim Ausbreiten im Vakuum bleibt sein Spektrum im Wesentlichen erhalten; nur die Intensität nimmt mit der Entfernung ab. Deshalb „kühlt“ sich Sonnenlicht auf dem Weg durch das Weltall auch nicht auf 3 K ab.
Auch der zweite Hauptsatz wird hier von Ihnen missbraucht und Clausius missverstanden. Thermodynamisch ist Wärme nicht einfach Energie, sondern Energieübertragung aufgrund eines Temperaturunterschieds. Wenn zwei Systeme Strahlung austauschen, senden beide ständig Energie aus. Entscheidend ist der Nettofluss: der geht im Mittel vom wärmeren zum kälteren System.
Niemand behauptet also, dass einzelne Strahlungsbeiträge nur von warm nach kalt laufen dürfen. Der zweite Hauptsatz betrifft den Netto-Wärmefluss, nicht einzelne Photonen oder Teilflüsse.
Auch in der Energiebilanz der Oberfläche wird das genau so behandelt. Thermodynamisch ist Wärme die Energieübertragung aufgrund eines Temperaturunterschieds. Bei Strahlung senden zwar sowohl Oberfläche als auch Atmosphäre ständig Energie aus, aber der Netto-Wärmefluss durch Strahlung geht von der wärmeren Oberfläche zur kälteren Atmosphäre.
Da ist doch mein „Modell“ mit Rinnsalen und Flüssen doch als „anschauliches“ gut zu gebrauchen, oder, Herr Heß? 😉
Mal zum Nachdenken (zur Selbstkontrolle, ob man das Physikbuch verstanden hat) zur Strahlung (= der Photonenstrom), die von der Sonnenoberfläche aus in Weltall strahlt:
Man betrachte dort ein (virtuelles) Volumen aus dem Strahlenbündel. Fragen dazu.
A) Die Strahlung/Photonen, die dort durchgehen, sind die im thermischen Gleichgewicht, d.h. haben diese eine Temperatur?
B) können Photonen untereinander thermalisieren, so wie das Atome können?
Herr Dietze, Ihre Physikkenntnisse sind zwar nur rudimentär, aber Sie sind auf dem richtigen Wege: Ergebnis richtig – Erklärung falsch.
Photonen im thermischen Gleichgewicht und Thermalisierung?? Was soll dieser Quatsch? Photonen sind doch keine Gasmoleküle mit Masse! Die thermischen Wirkungen entstehen doch erst bei Absorption!! IHRE Physikkenntnisse scheinen rudimentär zu sein. Ich habe mein Physikexamen an der TH jedenfalls mit 1+ gemacht. Sie widersprechen sich doch selbst wenn Sie erst behaupten, Strahlung habe eine Temperatur, aber dann meine Aussagen als richtig bezeichnen. Und was soll diese sinnlose Debatte zum Thema THE beitragen??
Herr Dietze,
Nana, lesen Sie einfach in den Physikbüchern nach statt sich über Ihre Fantasie aufzuregen.
Das ist nicht das Argument.
Die thermischen Wirkungen entstehen doch erst bei Absorption!!
Es entsteht dann eine „thermische Wirkung“, aber das diskutieren wir hier nicht.
Nochmal, Sie liegen nicht komplett falsch, Sie müssen einfach nur mal lesen, was ich schreibe.
Gute Frage, aber um eine häufige Floskel zu bemühen, „sie haben nicht verstanden“, es geht um die Selbst“ Aufhellung“ einer Person.
Was ist der Unterschied in der Atmosphäre bei 500 kPa und bei 1 bar?
Herr Dietze, Sie wissen aber schon, dass der Detektor bei einem FTIR-Spektrometer auf 77 K gekühlt wird? Warum macht man das wohl?
Ich rate mal, weil man es nicht auf 4 K kuehlen kann, ohne viel Energie reinzustecken?
Oder haengt das etwa mit dem CO2 zusammen?
Es gibt wohl nur eine Wahrheit – durch Eisbohrungen und verschiedenen Studien bewiesen.
Nichts wird seit ungefähr seit 3 Millionen Jahren im Durchschnitt wärmer.
[scinexx.de/news/geowissen/erde-kuehlt-schneller-ab-als-gedacht/]
{scinexx.de/news/geowissen/wie-viel-sauerstoff-verliert-unser-planet/]
„Aperçu IA:“
Die Erde ist laut Satellitendaten der letzten 35 Jahre deutlich grüner geworden, eine Zunahme der Blattfläche, die etwa der doppelten Fläche der USA entspricht wissenschaft.de. Hauptursache ist der anthropogene Anstieg des CO²-Gehalts, der wie ein Dünger wirkt, sowie verstärkte Aufforstungen und intensive Landwirtschaft. “
Also einfach: Ohne CO² und Photosynthese kein Sauerstoff.
Und ohne Sauerstoff sterben wir.
Alles andere ist Verarschung.
Herr, lass Hirn vom Himmel hageln!
Ach, wie ist das peinlich.
Er ist mit Seinesgleichen in guter und durchaus ebenbürtiger Gesellschaft!
Das ist nichts weiter als das Ergebnis des Wirkens des Peter-Prinzips in Unseren Großartigen Volksparteien, Sparkassen, et al., es kann doch nicht sein, dass wir von Idioten regiert werden sollen, oder?
Leider seit Jahrzehnten bittere Realität ….., aber nicht mal die Schwaben merken das noch …..
Es gab einmal eine Zeit, da galt ein Minimum an Allgemeinbildung als stillschweigende Voraussetzung für ein politisches Spitzenamt. Niemand verlangte einen Nobelpreis in Physik, aber die grobe Funktionsweise unseres Planeten zu kennen – Erde, Sonne, Atmosphäre – wurde gemeinhin als solide Basis betrachtet. Eine Art geistiger TÜV, bevor man sich anschickt, ein Bundesland zu regieren.
Diese Zeiten scheinen vorbei zu sein. Heute genügt offenbar eine Mischung aus Selbstbewusstsein, Parteibuch und der festen Überzeugung, dass Naturgesetze ohnehin nur Meinungen mit schlechter Öffentlichkeitsarbeit sind.
Wenn ein Kandidat für das Amt eines Ministerpräsidenten in einer Schulklasse den Treibhauseffekt erklärt und dabei eine Version präsentiert, bei der die Atmosphäre irgendwo zwischen Erde und Sonne schwebt und die Sonne offenbar heißer wird, weil sie beleidigt auf CO₂ reagiert, dann muss man anerkennend sagen: Hier wird politisches Neuland betreten. Und nicht nur politisch – sondern auch physikalisch. Man möchte sich das bildlich vorstellen: Die Erde unten, die Sonne oben, dazwischen irgendwo eine Art atmosphärische Wolldecke, die mal dicker, mal dünner wird, während die Sonne temperamentvoll ihre Temperatur anpasst wie ein Heizkörper mit Stimmungsschwankungen.
Isaac Newton hätte vermutlich kurz innegehalten, seine Perücke abgenommen und leise gefragt: „Meinen die das ernst?“
Doch die eigentliche Pointe liegt gar nicht im naturwissenschaftlichen Unfall. Die Pointe liegt darin, dass solche Momente heute politisch völlig folgenlos bleiben. Früher wäre ein Kandidat nach einer derartigen Darbietung vermutlich mit einem dezenten Hinweis auf Volkshochschulkurse in Geografie und Physik in den politischen Vorruhestand verabschiedet worden.
Heute hingegen scheint es eher ein Qualifikationsmerkmal zu sein.
Die moderne Karriereleiter in der Politik funktioniert offenbar nach einem einfachen Prinzip:
1. Möglichst früh in eine Partei eintreten.
2. Möglichst wenig außerhalb der Parteiblase lernen.
3. Möglichst großes Selbstbewusstsein entwickeln – völlig unabhängig von tatsächlichem Wissen.
Wer diesen Dreiklang beherrscht, hat beste Chancen auf höchste Ämter. Denn Wissen ist in der heutigen politischen Praxis eher hinderlich. Wissen erzeugt Zweifel. Zweifel erzeugen Vorsicht. Vorsicht wiederum verlangsamt Entscheidungen – und wer will das schon in einer Zeit, in der man mit maximaler Überzeugung auch maximalen Unsinn erzählen kann?
Viel wichtiger als Bildung ist daher eine Eigenschaft, die zuverlässig jede Wissenslücke überstrahlt: Narzissmus. Ein stabiler innerer Spiegel, in dem man sich selbst als staatsmännische Erscheinung bewundern kann, während im Hintergrund die Realität verzweifelt versucht, Anschluss zu finden. Die Logik lautet ungefähr so: Wenn ich fest genug glaube, dass ich kompetent bin, wird sich die Kompetenz schon irgendwie einstellen. Oder zumindest niemand mehr danach fragen. Das Ergebnis ist eine politische Kultur, in der ein grundlegendes Missverständnis über einen der bekanntesten physikalischen Effekte unseres Planeten nicht etwa peinlich ist – sondern lediglich ein kleiner kommunikativer Betriebsunfall.
Man fragt sich unweigerlich: Was kommt als Nächstes? Vielleicht erklärt ein zukünftiger Ministerpräsident den Wasserkreislauf so: Regen entsteht, wenn Wolken zu schwer werden und ein bisschen Wasser ablassen müssen.
Oder Gravitation: Dinge fallen nach unten, weil der Boden sie mag.
Doch möglicherweise liegt gerade darin das eigentliche Erfolgsgeheimnis moderner Politik: eine bewundernswerte Resistenz gegen die Realität. Denn wer sich nicht von Fakten irritieren lässt, kann mit unerschütterlicher Zuversicht auftreten. Und Zuversicht – das wissen wir spätestens seit dieser Treibhauseffekt-Vorlesung – ist in der Politik offenbar wichtiger als Physik.
Die Sonne wird schließlich auch heißer, wenn man nur fest genug daran glaubt.
Ich behaupte, dass für jede Stufe der Karriereleiter eine interne Prüfung auf absolute Loyalität abgelegt werden muss. Sonst könnte schnell wer von diesen ehrgeizigen Garnixkönnern ein eigenes Süppchen kochen. Der Herr Epstein hat sowas betrieben, vermute ich. Ein paar Filmchen mit blondgelockten Kinderchen, oder irgendwelchem Getier garantieren Spurtreue.
Interessant wäre die Nachbesprechung der Schüler und Schülerinnen. Die haben sicher schon mal ein Landesmuseum von innen gesehen. Und diese Presseshow werden sie sicherlich auch richtig einordnen und sich merken (!). Köstlich.
Hr.Lauterbach ist Arzt, soviel zum Thema Ausbildung und Eignung für politische Ämter.
Naja, Herr Lauterbach ist Gesundheitsökonom. Zu seinen Fähigkeiten als Arzt zitiere ich hier einfach mal wiki:
Und seine überragenden ärztlichen Fertigkeiten hat er einmal sehr werbewirksam im Fernsehen unter Beweis stellen können, als er nämlich am 17.12.2021 im Impfzentrum am Zoo in Hannover zwei Kindern während der Coronazeit eine Impfung verpasste.
https://www.youtube.com/watch?v=2u5Te5PciI4
und
https://www.n-tv.de/mediathek/videos/panorama/Lauterbach-greift-selbst-zur-Spritze-und-impft-Kinder-article23007293.html
leben die Kinder noch?
Welch ein Glück für die Patienten denen er nicht im Praktikum gegenüber stand. 😀
Wenn Herr Lauterbach ein Arzt ist dann bin ich der Weihnachtsmann.
Was manchmal so als Arzt durchgeht hat man im Wilden Westen gesehen, oder?…
Back to the roots, damals war noch „Teeren und Federn“ in Mode, als Kennzeichnung für Betrüger… 😊
Man kann es verstehen. Und gedankenlos wünscht man es sich vielleicht….?
Schöner Beitrag – gefällt mir!
Das wohl eigentlich schlimme daran ist, das die Medien landauf, landab diesen Mist auch noch als Weißsagung im Sinne ihrer Lei(d)tideen breitlatschen, sozusagen als Bestätigung für ihr Frameworking gebrauchen. :-D.
Ja, der Hagel hat vieles in der Realschule mit Halbwissen abgespeichert – wie die meisten Schüler- und dann hat sein Gehirn in der Erinnerung eine eigene Theorie gebastelt und mit Emotionen umgeben. Im Brustton eigener Überzeugung kommt dann was neues. Ich erleb das bei vielen ehemaligen Schülern. Die falsche Vorstellung ist
1) Das Ozonloch, weil es dünner wird kommt nun viel mehr Sonnenenergie auf die Erde. Energie und Wärme ist für Schüler dasselbe.
2) Die Treibhausgase halten diese Sonnenwärme nun auch noch fest, somit wird die ganze Erde wärmer.
Das klingt bei ihm dann so: Zwischen der Erde und der Sonne befindet sich die Atmosphäre. Und je dünner diese wird, desto heißer wird die Sonne. Der Grund dafür sind CO2-Emissionen und und und. Und das ist der Treibhauseffekt.
Wie im Artikel vermutet, stellen sich viele Mitmenschen das Ozonloch als ein tatsächliches Loch in der Atmosphäre vor, wo nun die Sonne verstärkt auf den Boden strahlt. Volkstümlich sagt man halt, die Sonne wird wärmer.
Ich hätte nicht gedacht, dass diese Aussage eine glaubhafte Erklärung finden könnte.
CO2 oder Ozon, oder?
In der Argumentation liegt ja auch noch eine logische Absurdität, ganz abgesehen vom physikalischen Unsinn. Er sagt, dass die Atmosphäre dünner wird, und zwar, weil wir CO2 hineinbringen. Je mehr wir hineinbringen, desto dünner vermutlich.
Zum Glück läuft es bei der Luft in meinen Fahrradreifen andersherum.
So absurd ist das duenner werden gar nicht.
Wenn CO2 die Atmosphaere waermer macht, dann dehnt sich diese aus, was die gemittelte Dichte verringert …
Herr Schulz, es ist doch so (wenn man mal den Bezug zum Ozonloch weglässt): wenn wir zusätzliches Material einbringen, sagen wir CO2, dann nimmt die Gesamtmasse der Atmosphäre und damit der mittlere Bodendruck zu. Bei gleicher Temperatur T steigt damit auch die Dichte, denn p*V = const., also V muss kleiner werden, wenn p größer wird.
Nun argumentiert ja unser Spitzenpolitiker, T würde steigen, weil die Atmosphäre dünner wird. Wenn sie aber doch bei T = const. schon dichter wird, müsste die Temperatur am Ende sogar fallen.
Und wo kommt der Sauerstoff her?
Keine Antwort? Fehler gefunden?
richtig, nicht die fluorierten Kohlenwasserstoffe vergrößern das Ozonloch, sondern der Glaube, CO2 vergrößert das Ozonloch und verdünnt somit die ganze Atmosphäre, so dass mehr Sonnenstrahlung reinkommt.
Ob die Lehrerin diese Fehlaussagen erkannt hat bin ich nicht sicher, denn so ein Politik-Besuch findet im Rahmen des politischen Unterrichtes statt, es ist also keine Chemie/Physiklehrerin.
Auf alle Fälle haben die Redakteure der deutschen mainstream-Medien auch nichts erkannt, denn in der Öffentlichkeit war dieses Unwissen des CDU-Politikers keinerlei Thema. Und auch die AFD hat diese Steilvorlage für den Wahlkampf nicht aufgegriffen.
Lieber Herr Kowatsch,
beim Ozon bin ich tatsächlich anderer Meinung. Die Ausdünnung der Ozonschicht führt zu weniger Absorption hochfrequenter – und damit energiereicher – UV-Strahlung innerhalb der Ozonschicht. Damit gelangt mehr energiereiche Strahlung auf die Erdoberfläche und kann dort in Wärme umgewandelt werden. Messtechnisch hat man diesbezüglich tatsächlich eine Abkühlung der Ozonschicht festgestellt. Der Abfall der Stärke der Ozonschicht begann Ende der 70er Jahre und Anfang der 90er Jahre wurde ein Minimum mit ca. 45% der Anfangsstärke (über der Antarktis) erreicht. Dieser Effekt fand weltweit – nur in unterschiedlichen Ausprägungen – statt und stimmt zeitlich mit Ihrem formulierten Temperatursprung Ende der 80er Jahre überein.
Da die Ozonschicht ganz offensichtlich den Strahlungshaushalt der Troposphäre beeinflusst, sollte man diese Ursache nicht einfach so als abwegig darstellen.
Also hatte er das, wenn dann, falsch verwechselt, oder es ist ihm falsch gefluestert worden. Oder die Lehrerin hat oefter mal reingquatscht, so das die Schueler keine Moeglichkeit hatten, ihn zu korregieren….
Volle Zustimmung!
Das Schlimme dabei, 2/3 der „normalen“ Deutschen würden sich mit dieser Erklärung, oder jeder x-beliebigen anderen, zufrieden geben. Im restlichen Drittel findet man eine Mehrheit von „gebildeten“ Zeitgenossen die wenigstens die offizielle Version der „Gegenstrahlung“ durch das CO2 benennen, und vielleicht auch noch erklären könnten. Es bleiben vielleicht 5% (oder weniger) die auch die „Gegenstrahlung“ als physikalischen Nonsens von gleicher Qualität wie die von Herrn Hagel ausgeführten Erklärung erkennen können. 5% gegen 30 % grüne 🤪 und 65% Ignoranten stehen auf verlorenem Posten so lange das Schiff auf das Riff zusteuert. Erst wenn es kracht werden die meisten wach, aber dann ist es zu spät, die Arbeitsplätze weg, das Klima „gerettet“, und der Rest der Welt lacht sich krank mit Blick auf Öko-Deutschland wo das CO2 die Sonne heisser macht….. 🤪🤪🤪🤦♂️🥳
„Es bleiben vielleicht 5% (oder weniger) die auch die „Gegenstrahlung“ als physikalischen Nonsens von gleicher Qualität wie die von Herrn Hagel ausgeführten Erklärung erkennen können“
Herr Pesch, ich erinnere Sie (als einen der 5% Intelligenten) daran dass die Gegenstrahlung (etwa150 W/m²) gemessen wird, also existiert und sich zu 240 W/m² von der Sonne addiert sowie gemäß S-B die Temperatur des isothermen Erdmodells von -18 auf +15 Grad erhöht.
Was soll daran intelligent sein, wenn die Messwerte genau was anderes sagen und diese 150 W/m2 nur eine Bilanzgroesse ist, aber keine Realitaet?