Die Empfehlungen des WGBU lauten:
Die 2°C-Leitplanke wird völkerrechtlich verbindlich festgeschrieben.
• Für Kohlendioxid, dem im Klimaschutz die langfristig entscheidende Rolle zukommt, wird ein mit der 2°C-Leitplanke kompatibles globales Emissionsbudget aus fossilen Quellen bis zum Jahr 2050 verbindlich vereinbart.
• Folgende Meilensteine werden gesetzt: (1) Die Trendumkehr der weltweiten CO2-Emissionen im Zeitraum 2015–2020. (2) Die Rückführung der globalen Emissionen bis zur Jahrhundertmitte auf ein Niveau, das mit dem schmalen Emissionsbudget nach 2050 konsistent ist.
• Das globale CO2-Budget wird auf Pro-Kopf-Basis gleichmäßig auf die Weltbevölkerung aufge-teilt (glücklich wer keine Heizung braucht), so dass sich für alle Länder nationale CO2-Budgets berechnen lassen. Sie werden ebenfalls verbindlich festgeschrieben und bilden den Orientierungs-rahmen dafür, wie schnell und stark die Länder ihre CO2-Emissionen reduzieren müssen.
• Alle Länder verpflichten sich, international und objektiv überprüfbare Dekarbonisierungsfahrpläne vorzulegen, die über den geplanten nationalen Emissionspfad bis 2050 Auskunft geben.
Die 2°C-Leitplanke ist beliebig unscharf definiert als „Temperaturerhöhung bis 2100 gegenüber dem vorindustriellen Niveau.“
Und wann beginnt das vorindustrielle Niveau? *
Und warum die Eile?
Weil die CO2 Verweildauer in der Umwelt (bis zu Tausenden von Jahren) beträgt.
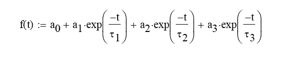
Hier widerspricht der WBGU dem IPCC und partiell (Schellnhuber und Rahmstorf als IPCC-Autoren) sich selbst, denn der IPCC postuliert die Zerfallszeit eines CO2-Pulses gemäß der Formel:
wo a0=0.217 und Tau1=172,9 Jahre, Tau2=18,51 Jahre und Tau3=1,186 Jahre sind.Demnach bleiben rund 22% für immer in der Atmosphäre. Als Literatur werden hierzu Bern 2.5CC (ch. 10) und Joos et al. 2001 zitiert (IPCC4 chapter 2, p. 213). Ein Bern 2.5CC gibt es in dem Kapitel 10 nicht und bei Joos gibt es keine Formel. Es wird auch keinerlei Begründung für die Konstanten gegeben. Was auch schwierig ist, da die Messungen viel kleinere und nur eine Zerfallszeit zeigen.

Solche Werte sind natürlich für ein Katastrophenszenario unbrauchbar.
Um seine Empfehlungen für Deutschland und die EU zu realisieren folgert der WBGU: „Selbst drastische heimische Minderungsanstrengungen werden für Deutschland und die EU nicht ausreichen, um innerhalb ihrer Budgets zu bleiben. Sie sind daher auf umfangreiche Koope-rationen mit Entwicklungsländern angewiesen, die noch Emissionsspielräume besitzen und diese insbesondere in den internationalen Emissionshandel einbringen können.
Für Deutschland gilt: Budget 2010–2050 [9 Mrd. t CO2], Emissionen im Jahr 2008
(Schätzung) [0,91 Mrd. t CO2], Reichweite des Budgets bei jährlichen Emissionen wie 2008 [10 Jahre]. (p28)
Deutschland müsste beispielsweise seine CO2-Emissionen in 20 Jahren auf Null reduziert haben. Das Etappenziel wäre daher minus 50 % bis 2020, relativ zum heutigen Niveau.“ (p34)
Graphisch sieht dies so aus:
Und weiter:
„Unter der konservativen Annahme von Zertifikatspreisen zwischen 10 und 30 € pro t CO2 entspräche dies einem Finanztransfer von 1.200–3.600 Mrd. € im gesamten Zeitraum, also durch-schnittlichen Geldflüssen von 30–90 Mrd. € pro Jahr.“ (p37)
(P.S.: Bütikhofer (Die Grünen, Mitglied des Europäischen Parlaments) sprach am 29.10.09 im DLF von 10-30 Milliarden. Entweder hat er keine Ahnung oder er lügt bewusst. Selbstredend vergaß er auch nicht die Zunahme von Extremereignissen (s. u.) zu erwähnen.)
Dies wird den Strompreis nicht erhöhen, sondern explodieren lassen.
Und dabei erwartet der WBGU, dass sich „der weltweite Elektrizitätsbedarf sich bis 2030 voraussichtlich verdoppeln wird (gegenüber 2000).“
„Simulationsrechnungen mit Hilfe integrierter Analysemodelle („Integrated Assessment Models“), in denen Wirtschafts- und Klimasystem dynamisch miteinander gekoppelt werden, zeigen, dass bereits im Jahre 2010 weltweit nicht mehr als 25 % der entsprechenden Investitionen in konventionelle fossile Kraftwerksanlagen fließen sollten, wenn ein gefährlicher Klimawandel verhindert werden soll.“ (p43)
Genial, Wirtschaftsmodelle, die keine Wirtschaftskrise vorausgesagt haben, werden mit Klimamodellen, die steigende Temperaturen trotz real sinkender berechnen, dynamisch gekoppelt. Und heraus kommt Wunschdenken. Wahrlich ein wissenschaftlicher Beirat. Hansen hat schon 1988 berechnet, dass nur eine drastische Reduzierung des CO2 uns retten kann. Die Prophezeiung hat, wie üblich, nichts mit der Realität zu tun.

Kommen wir zurück zu den Zahlen. Im UN-Entwurf für Kopenhagen steht:
„USD 67 billion] [in the range of USD 70–140 billion] per year. [Sources of new and additional financial support for adaptation [must meet the full agreed incremental costs of adaptation and initially be within a minimum range of USD 50–86 billion per annum and regularly up-dated.” (p39) (Fette Hervorhebungen durch mich)
Weiter mit dem WBGU:
„Die in diesem Zusammenhang resultierenden Einzahlungsverpflichtungen der einzelnen Länder ergäben sich dann aus der historischen Verantwortung der Staaten für den CO2-Ausstoß. Diese Beiträge könnten innerhalb der Länder aus den Einnahmen einer nationalen CO2-Steuer generiert werden.“
„Der Weltklimabank wird die Erfüllung der genannten Aufgaben nur gelingen können, wenn sie mit entsprechend weit reichenden Befugnissen ausgestattet ist und auch über wirksame Sanktionsmechanismen verfügt, etwa im Falle absehbarer oder tatsächlicher Überschreitungen der zugewiesenen nationalen Emissionsbudgets. Schätzungen gehen von – jährlich ansteigenden – Beträgen in der Größenordnung bis zu 350 Mrd. US-$ zwischen 2010 und 2030 aus.“
Was rechtfertigt diese gewaltigen Summen?
Der WGBU begründet die Dringlichkeit und Härte damit, dass „Einige Auswirkungen des Klimawandels deutlich schneller voran schreiten als bislang projiziert, vor allem der Meeresspiegelanstieg.“
„Bis 2100 könnte der Meeresspiegel jedoch um 50–150 cm ansteigen (Rahmstorf, 2007), bis 2200 um 1,5–3,5 m (Delta Committee, 2008) und bis 2300 um 2,5–5,1 m (WBGU, 2006).“ Da staunt man, denn erstens hat der IPCC seine Prophezeiungen ständig nach unten korrigiert, und ferner gibt es seit 2005 überhaupt keinen Anstieg mehr (Abb. 1).
„Bis 2100 könnte der Meeresspiegel jedoch um 50–150 cm ansteigen (Rahmstorf, 2007), bis 2200 um 1,5–3,5 m (Delta Committee, 2008) und bis 2300 um 2,5–5,1 m (WBGU, 2006).“
Da staunt man, denn erstens hat der IPCC seine Prophezeiungen ständig nach unten korrigiert, Ferner gibt es seit 2005 überhaupt keinen Anstieg mehr (Abb. 1).

Abb1: Der gemessene Anstieg des Meeresspiegels
Die Prognose von Rahmstorf beruht auf einer linearen Skalierung des Anstieges des Meeresspiegels mit einer angenommenen Erhöhung der globalen Temperatur. Ein Blick in die Vergangenheit offenbart, dass dies willkürlich und nicht begründet ist (Abb.2).

Abb. 2: Anstieg des Meeresspiegels (Singer-NIPCC p.16)
Obwohl es von 1940-1970 eine globale Abkühlung gab, stieg der Meeresspiegel an. Eine lineare Abhängigkeit sieht anders aus.
Aus dieser unrichtigen Behauptung schlussfolgert der WBGU: „Bis zur Jahrhundertmitte dürfen höchstens noch etwa 750 Mrd. t CO2 in die Atmosphäre freigesetzt werden, wenn die Leitplanke von ?2°C mit einer Wahrscheinlichkeit von 67 % eingehalten werden soll. Möchte man diese Wahrscheinlichkeit auf 75 % erhöhen, müssen die kumulativen Emissionen im nämlichen Zeit-raum sogar unter 600 Mrd. t CO2 bleiben. Nach 2050 darf in jedem Fall weltweit nur noch eine kleine CO2-Menge ausgestoßen werden.“
Da fragt man sich, wenn das Überschreiten der 2°C so bedrohlich für die Welt ist, wie kann man dann bei einer Wahrscheinlichkeit von 2:1 zufrieden sein? Dies hat 20 Seiten später auch der WBGU gemerkt.
„An dieser Stelle sollte angemerkt werden, dass Wahrscheinlichkeiten für die Schadensabwen-dung im 50–90 %-Bereich, wie sie im Zusammenhang mit der Klimaproblematik üblicherweise diskutiert werden, im Alltagszusammenhang (Verkehrssicherheit, Infektionsgefahr usw.) völlig inakzeptabel wären.“ (p24)
Mehr Begründung gibt es nicht, aber dafür weitere mögliche Katastrophenszenarien.
„Zunahme von Wetterextremen, wie Hitzewellen, Dürren, Starkregen, Überflutungen und Tropenstürmen, wurde in vielen Regionen bereits beobachtet.“
„Die Nahrungsmittelproduktion wird bei einer Erwärmung um 2–4 °C voraussichtlich weltweit sinken.“
Alles nur Behauptungen und alle sind falsch.
1. Hitzewellen und Dürren
Klimaänderung Schweiz:
Werden Dürreperioden häufiger?
Die Frage nach einer Zunahme oder Verstärkung von Dürreperioden im Alpenraum in einem veränderten Klima wurde bisher meist nur am Rande behandelt. Die letzten größeren Dürreperioden liegen ein Viertel- bzw. ein halbes Jahrhundert zurück (1976 bzw. 1947 und 1949), und im 20. Jahrhundert waren Tro-ckenzeiten gegenüber den vorangehenden Jahrhunderten deutlich seltener.
Die extremsten Sommerdürren traten – in absteigender Reihenfolge – in den Jahren 1540, 1669, 1603 und 1947 auf. In diesen Sommern herrschten im Schweizer Mittelland klimatische Verhältnisse, wie sie üblicherweise im südlichen Mittelmeerraum auftreten.
Dieser Bericht wurde vom «Beratenden Organ für Fragen zur Klimaänderung» (OcCC) gemeinsam mit ProClim- initiiert. Er basiert auf einem Workshop vom April 2000.
Jetzt verursacht derjenige, der mit dem Auto auf Arbeit fährt, gemäß dem WBGU („Klimaschuld“), die Dürren in Afrika. Wer oder was hat aber dann die Dürren verursacht lange vor der Industrialisierung?

Weder in Europa (Schweiz) noch in den USA ist ein Trend oder eine Zunahme erkennbar, sondern nur ein zyklisches Auf und Ab, trotz steigender CO2-Konzentration.
2. Starkregen und Überflutungen
Dies war das Thema des ersten Berichtes, Floods.doc.
Die Zusammenfassung lautete:
In keiner der Untersuchungen wird eine positive Korrelation zwischen Temperaturerhöhung und den Auftreten von Hochwassern gefunden. Eher ist das Gegenteil der Fall.
3. Tropenstürme
Dies wurde im 2. Bericht näher betrachtet. Zitat: "Unsere Resultate unterstützen nicht die Annahme, dass die Frequenz tropischer Wirbel-stürme oder Hurrikane durch einen Anstieg der Treibhausgaskonzentration in der Atmosphäre zunehmen wird", schreiben Tom Knutson und seine Kollegen vom Geophysical Fluid Dynamics Laboratory der NOAA.
There is a strong negative correlation between hurricane activity in the North Atlantic and ty-phoon activity in the North Pacific; years with high hurricane activity tend to be years with low typhoon activity, and globally the number of tropical cyclones tends to be fairly constant. This, too, argues that atmospheric circulation is a far more important factor in tropical cyclone for-mation that sea surface temperature.
Nach Gray (Professor Emeritus of Atmospheric Science at Colorado State University)
Zur Ergänzung die neueste Untersuchung zur akkumulierten Zyklonenergie.

Wirbelstürme nehmen mit wachsender CO2-Konzentration zu, dies sieht doch jeder, nicht wahr.
4. Nahrungsmittelproduktion wird sinken
Es gibt eine Vielzahl von Arbeiten hierzu, die unisono das Gegenteil belegen. Interessierte finden diese hier http://www.co2science.org/
Es reicht aber auch die Frage zu stellen, wozu gibt es Gewächshäuser, zur Ertragssteigerung oder –minderung? Zusätzlich wird in vielen noch der CO2-Gehalt erhöht. Wozu wohl?
Soweit zur Wahrheit.
Keine der angeführten Begründungen rechtfertigt drastische CO2-Einsparungen, weil dies nur ein vorgeschobenes Argument ist.
Die wahren Absichten sind wohl im Report „Klimahysterie – was steckt dahinter?“ (CO2-Schwindel.pdf) zu finden. Dort wird Maurice Strong, die graue Eminenz des Klimaschwindels, mit folgenden Worten zitiert:
„We should consider new taxes, user chargers, emission permits, citizen funding all based on the polluter-pays principle.”
“What if a small group of these world leaders were to conclude that the principle risk to the earth comes from the actions of the rich countries? And if the world is to survive, those rich countries would have to sign an agreement reducing their impact on the environment? Will they do it? Will the rich countries agree to reduce their impact on the environment? Will they agree to save the earth?
“The group’s conclusion is ‘no.’The rich countries won’t do it. They won’t change. So, in order to save the planet, the group decides: Isn’t the only hope for the planet that the industrialized civilization collapse? Isn’t it our responsibility to bring that about?”
Das Zitat ist 19 Jahre alt. Er scheint sich nur in einem Punkt geirrt zu haben. Die angesprochene Gruppe trifft sich im Dezember in Kopenhagen und die Antwort wird wohl ‚Ja’ lauten, weil dies so im Entwurf steht. Die CO2-Steuer propagiert ja auch der WBGU.
„The scheme for the new institutional arrangement under the Convention will be based on three basic pillars: government; facilitative mechanism; and financial mechanism, and the basic or-ganization of which will include the following:
(a) The government will be ruled by the Convention of Parties with the support of a new sub-sidiary body on adaptation, and of an Executive Board responsible for the management of the new funds and the related facilitative processes and bodies. The current Convention secretariat will operate as such, as appropriate.
(b) The Convention’s financial mechanism will include a multilateral climate change fund including five windows: (a) an Adaptation window, (b) a Compensation window, to address loss and damage from climate change impacts, including insurance, rehabilitation and compensatory components, (c) a Technology window; (d) a Mitigation window; and (e) a REDD window, to support a multi-phases process for positive forest incentives relating to REDD actions.
(c) The Convention’s facilitative mechanism will include: (a) work programmes for adaptation and mitigation; (b) a long-term REDD process; (c) a short-term technology action plan; (d) an expert group on adaptation established by the subsidiary body on adaptation, and expert groups on mitigation, technologies and on monitoring, reporting and verification; and (e) an international registry for the monitoring, reporting and verification of compliance of emission reduction com-mitments, and the transfer of technical and financial resources from developed countries to de-veloping countries. The secretariat will provide technical and administrative support, including a new centre for information exchange.”
Liest man die 188 Seiten des Entwurfes so beinhaltet dieser, dass eine Weltregierung geschaffen werden soll (Punkt a). Der WBGU verklärt dies als Weltklimabank. Unter Punkt b wird festgelegt, dass die entwickelten Staaten umfangreiche finanzielle Transfers als „Klimaschuld“ leisten sollen. Und im letzten Punkt wird besagt, wie die Weltregierung dies durchsetzen soll.
Sucht man in dem Entwurf nach Begriffen wie Demokratie, Wahl oder Votum so findet man diese kein einziges Mal.
Staaten, die diesen Vertrag unterzeichnet haben, können aus diesem nur wieder austreten, wenn alle anderen Unterzeichner diesem zustimmen1. Die Wahrscheinlichkeit dafür, dass dies einem der entwickelten Staaten oder der Geldgeber gelingen sollte, dürfte gegen Null gehen.
Fassen wir zusammen. Es gibt keinen Beweis für eine menschengemachte Klimaerwärmung (s. Bericht „CO2 and temperature“). Alle „Beweise“ stammen von Computermodellen, deren Glaubwürdigkeit widerlegt wurde (s. Bericht „Klimamodelle – wie verlässlich sind sie“). Keine der angedrohten Katastrophen ist eingetreten, keine korreliert mit der CO2-Konzentration. Es gibt somit keinen nachvollziehbaren, wissenschaftlich begründeten Anlass für die geplanten drastischen Maßnahmen. Die Eile des WBGU scheint eher aus der Furcht zu stammen, dass es kälter wird und sich die Leute dann nicht mehr länger manipulieren lassen.
„In der Klimapolitik geht es keineswegs ums Klima, sondern es geht um Macht, um Ideologie und es geht um die Beschränkung der menschlichen Freiheit. Genauso wie im Kommunismus und im Nationalsozialismus will man die freie und spontane Entwicklung der Menschheit durch eine zentralistische Art der Planung der ganzen Welt ersetzen.“
Vincent Ebert (Physiker und Kabarettist)
Besser kann man es nicht sagen.
Dr. B. Hüttner für EIKE
1 Private Mitteilung von Lord Monckton of Brenchley
* Lt. SPM des AR 4 ist das Bezugsjahr 1750. Es bleibt unerfindlich, wie man die damalige "mittlere Globaltemperatur" bestimmen konnte. Es bleibt auch unklar warum man dieses Jahr als Referenzpunkt nehmen soll, wenige 10 Jahre nach dem Ende einer Kaltzeit . Dazu Wikipedia: "So stellen zum Beispiel die Zeiträume von 1570 bis 1630 und von 1675 bis 1715 besonders kalte Zeitabschnitte dar"















Wir freuen uns über Ihren Kommentar, bitten aber folgende Regeln zu beachten:
- Bitte geben Sie Ihren Namen an (Benutzerprofil) - Kommentare "von anonym" werden gelöscht.
- Vermeiden Sie Allgemeinplätze, Beleidigungen oder Fäkal- Sprache, es sei denn, dass sie in einem notwendigen Zitat enthalten oder für die Anmerkung wichtig sind. Vermeiden Sie Schmähreden, andauernde Wiederholungen und jede Form von Mißachtung von Gegnern. Auch lange Präsentationen von Amateur-Theorien bitten wir zu vermeiden.
- Bleiben Sie beim Thema des zu kommentierenden Beitrags. Gehen Sie in Diskussionen mit Bloggern anderer Meinung auf deren Argumente ein und weichen Sie nicht durch Eröffnen laufend neuer Themen aus. Beschränken Sie sich auf eine zumutbare Anzahl von Kommentaren pro Zeit. Versuchte Majorisierung unseres Kommentarblogs, wie z.B. durch extrem häufiges Posten, permanente Wiederholungen etc. (Forentrolle) wird von uns mit Sperren beantwortet.
- Sie können anderer Meinung sein, aber vermeiden Sie persönliche Angriffe.
- Drohungen werden ernst genommen und ggf. an die Strafverfolgungsbehörden weitergegeben.
- Spam und Werbung sind im Kommentarbereich nicht erlaubt.
Diese Richtlinien sind sehr allgemein und können nicht jede mögliche Situation abdecken. Nehmen Sie deshalb bitte nicht an, dass das EIKE Management mit Ihnen übereinstimmt oder sonst Ihre Anmerkungen gutheißt. Wir behalten uns jederzeit das Recht vor, Anmerkungen zu filtern oder zu löschen oder zu bestreiten und dies ganz allein nach unserem Gutdünken. Wenn Sie finden, dass Ihre Anmerkung unpassend gefiltert wurde, schicken Sie uns bitte eine Mail über "Über Uns->Kontakt"@ Dr. Hüttner
Leider hat Frau Merkel von Helmut Kohl gelernt, politisch zu überleben. Das kann sie hervorragend. Wann sie den Absprung vom Klimatismus schafft, wissen wir nicht. Aber nichts ist unmöglich. Denn schon Adenauer sagte: „was kümmert mich mein Geschwätz von gestern“.
Sehr geehrter Herr Wehlan,
als Physikerin müsste Frau Merkel wissen, dass die Klimamodelle nicht funktionieren können. Aber, anstatt sich an die Seite von Vaclav Klaus zu stellen, betreibt sie das Gegenteil. Die Frage ist warum?
Ihr Beispiel mit Helmut Schmidt ist hervorragend. Er hat das Richtige getan, obwohl scheinbar der Zeitgeist, aber in Wirklichkeit eine lautstarke Minderheit, dagegen war. Nichts verbietet Frau Merkel auch das Richtige zu tun.
@ Dr. Hüttner
Sehr geehrter Herr Dr. Hüttner,
natürlich bin ich mir nicht sicher, ob Frau Merkel nur „mitheult“ oder das ganze mitinitiiert. Damals (1996) war sie Umweltministerin. Wer dieses Ministerium kennt, weiß, dass dort bereits damals Beamte das Sagen hatten, gegen die Frau Merkel nichts machen konnte, wenn sie politisch überleben wollte. Der ganze grüne Unfug kommt zum Großteil von der Beamtenschaft, die ja eigentlich nichts zu tun hat, aber sich viel Sorgen macht.
Allerdings kann man Frau Merkel unterstellen, dass sie mehr von Naturwissenschaft versteht als ein Normalbürger, zumal ihr Mann wohl weiß, dass das mit dem CO2 nicht so klar ist wie es in den Medien verbreitet wird.
Aber was meinem Sie, was passieren würde, wenn sich Frau Merkel auf die Seite der Skeptiker schlagen würde ? Eine Entrüstung ohne Ende würde durch die Beamtenschaft, die Medien, ja sogar durch die CDU gehen – vergleichbar damit als Helmut Schmidt den NATO-Doppelbeschluss gegen die „Gefühle“ der SPD durchgesetzt hatte.
Alle Politik geht in einer Demokratie vom Volke aus. Beim Klimaschutz mag man das bedauern. Fragt sich nur, wer denn das Volk ist.
Werter Herr Wehlan,
Sie haben natürlich Recht, aber in einem Punkt kann ich Ihnen nicht zustimmen. Frau Merkel heult nicht mit, sondern Sie hat das Theater mitinitiiert, wie aus einem Brief von Prof. Gerlich vom 18.02.96 entnehmbar ist. Zitat: „Ich habe erfahren, daß Ihr Ministerium sehr stark daran beiteiligt ist, die Arbeit von Prof. Dr. H. Metzner zu blockieren, nur weil seine Umweltakademie Leute zu Wort kommen ließ, die nicht die offiziell von der Regierung vorordneten „wissenschaftlichen“ Meinungen vertraten, sondern mit der mühseligen Untersuchung von Meßreihen nachweisen konnten, daß eventuelle CO2-Temperaturkorrelationen dadurch erklärt werden müßten, daß CO2-Erhöhungen in der Luft die Folge von Temperaturerhöhungen sind.“
Falsches Handeln kommt von falschem Denken. Es ist der Ungeist der „Grenzen des Wachstums“ von 1972 und der unsinnigen Schlussfolgerungen des Club of Rome daraus. Das Verhungern der Welt und das Ende der natürlichen Ressourcen wurde uns für das Jahr 2000 angekündigt. Immer und immer wieder war zu lesen, „dass Markt, Massenkonsum und insbesondere das böse Wirtschaftswachstum die Welt in den Abgrund treiben. Rettung versprachen allein staatliche Planung oder besser noch internationale Behörden“, die die Weltgeschicke nach den Vorgaben des Club of Rome steuern sollten. Sie sollten das Wachstum drosseln, Wirtschaft und Konsumenten an die Kandare nehmen. Genau nach demselben Schema soll die „Klimarettung“ funktionieren.
Alle Länder, die damals nicht auf den Club of Rome gehört haben und weiter auf Wachstum gesetzt haben, haben heute saubere Flüsse, genug Ressourcen (neue Ölquellen und Technologie), eine saubere Luft, wettbewerbsfähige Industrie, Wohlstand.
Entweder ist es die Naivität der Eliten oder deren Phantasielosigkeit, die uns keine Lehren aus der Geschichte ziehen lässt. Oder aber es ist bewusste Täuschung, um dem „verhassten Kapitalismus“ den „Rest“ zu geben. Die so genannte Umweltbewegung will zwar nachhaltig sein, jedoch fühlt sie sich eher wie in einer Endzeit. Daher auch die ganzen religiösen Begriffe beim Klimaschutz, wie Sintflut oder Sünde. Gegen religiöse Anschauungen kann man leider nicht viel machen. Das war bei der Hexenverbrennung so und ist heute beim Klimaschutz nicht anders. Selbst gemäßigte Kirchenfürsten haben gegen den Volkswahn der Hexenverbrennung nichts ausrichten können. Daher kann auch Frau Merkel nicht anders als mitzuheulen, denn von allen Seiten bedrängen die Klimabesessenen die jetzige Regierung.
Hoffen wir darauf, dass der Rest der Welt nicht so doof ist wie das gegenwärtige Deutschland.
@Erich Richter: überschätzen Sie nicht die Einflussmöglichkeiten einer schwachen Frau. Wenn Millionen Menschen nicht mitmachen würden, wäre sie längst abgewählt. Und was die Menschen denken, wächst als „öffentliche Meinung“ an vielen anderen Stellen und folgt ganz anderen Strömungen, die Frau Merkel nicht steuern kann.
In unserer Mediendemokratie muß ein Politiker auf jede Strömung aufspringen, die er wittert und mit der er sich halbwegs identifizieren kann. Und wenn halt heute alles grün denkt und so viele grüne Ideen im roten Acker so fruchtbaren Boden finden, muß man halt etwas Greenwashing betreiben, um der Partei zu nutzen. Es schadet ja auch nichts, wenn ein paar zusätzliche Steuergroschen für den Staat dabei herausspringen – da ist die Zustimmung der anderen Parteien sicher.
Übrigens: die Klimabewegung mit all ihren politischen Perspektiven (Kopenhagen-vertrag, ..) ist viel näher an kommunistisch-/sozialistischen Ideen als an liberal-konservativen! Analysieren Sie es man nüchtern Punkt für Punkt und Sie sehen die Vielzahl der Parallelen.
Ich möchte eigentlich nur dieser „Entwicklung“ eine
passende Überschrift geben.
Es ist kein Kommunismus, kein Sozialismus – sondern: M e r k e l i s m u s – wobei man sich darüber streiten kann, ob man dieses Zauberwort mit
einem (L) oder zwei (L) schreiben sollte.
Benannt nach der Frau…die aus dem Nichts kam – aber „alles“ will !
Gute Nacht – Demokratie allgemein !
Erich Richter
Ich war nicht dabei, als der 1. Weltkrieg ausgebrochen wurde. Ich war nicht dabei, als der 2. Weltkrieg an den Haaren herbeigezogen wurde. Ich schaue aber seit 1953 unsere Eliten über die Schulter, die Hunderte von Millionen Menschen in den Tod schicken. Sie tun es seit Jahrzehnten mit wachsender Begeisterung und Perfektion. Ich werde vielleicht nie erfahren, was meine Enkel denken werden. Ich glaub, ich geh nach Hollywood! Da wird der Klamauk nur produziert und abends wird das Studio geschlossen.
Zensur ist illegal!
http://www.ZensUrsula.eu
Im Westen nichts Neues!
Was soll das, diese Rechnerei mit der Verweildauer eines C02-pulses? Wie lange verweilt denn ein H20-Molekül durchschnittlich im Bodensee. Wenn ich nun zusätzlich täglich Wasser in den Bodensee schütte, es gibt niemals eine Überschwemmung in Konstanz, trotz einer langen statistischen Verweildauer eines einzelnen Moleküls
Wird vermehrt anthropogenes C02 freigesetzt, dann laufen die Abbaureaktionen schneller, die natürlichen Abbaukreisläufe springen an bis sich ein neues Gleichgewicht einstellt, das vom alten Zustand nicht weit entfernt ist. Logisch: Es wird deshalb niemals ein C02-Anstieg bis auf 1000 ppm geben können, obwohl das keinerlei Treibhauserwärmung bringen würde, wäre aber besser für unsere nachwachsenden Rohstoffe und würde helfen, die Wüsten einzudämmen.
Diese Formel will die Wirklichkeit wissenschaftlich dokumentieren und geht doch grob an der Wirklichkeit vorbei. Sie dient leider wiederum nur dazu, das lebensnotwendige Gas C02 ins Abseits zu stellen. Gutes wird per Formel ins Schlechte verkehrt.
Keiner soll später einmal sagen, wir hätten nicht gewußt , was auf uns zukommt!
Nicht nur unser Wohlstand ist gefährdet, sondern unsere freiheitliche, soziale Grundordnung! Die „große Transformation“ wird wohl in Kopenhagen beschlossen werden, und die Basis für globale Planwirtschaft gelegt. Weltkommunismus zur Rettung des Klimas!
Nur das Klima wird sich davon nicht beeindrucken lassen. Die Sonne, ihre Einstrahlungsdauer und Intensität bestimmen das Klima und kein Mensch wir daran etwas ändern. Wir können nur hoffen, dass noch ein Funken Vernunft in den Köpfen der Entscheidungsträger vorhanden ist und in Kopenhagen nur politische Worthülsen verabschiedet werden.