Treibt der mittelalterliche Wind der gesellschaftspolitischen Klimareligion auch die seriöse Wissenschaft vor sich her?
Sie erinnern Sich vielleicht noch an meinen Postergucker-Artikel hier auf EIKE, wo ich die Widersprüche aus zwei Academia-Veröffentlichungen von Kramm (2020-1 und 2020-2) gegenübergestellt hatte. Später hatte Kramm sein Academia-Paper (2020-2), „Kommentar zu WEBERS Beitrag ‚Weitere Überlegungen zur hemisphärischen Herleitung einer globalen Durchschnittstemperatur‘“ als Kommentar zu Weber (2019) in den Mitteilungen der Deutschen Geophysikalischen Gesellschaft Nr. 2/2020 untergebracht, ohne dass dies als Zweitveröffentlichung gekennzeichnet worden war.
Nach althergebrachtem Wissenschaftsverständnis hatte ich der DGG unverzüglich meine Erwiderung zu diesem Kommentar übersandt, in der die Skandalisierungen meines hemisphärischen S-B-Modells durch ausschließende gegenteilige Eigenschaften (Disjunktionen) sowie in ihr Gegenteil verkürzte Textzitate nachprüfbar bewiesen werden; weiterführende Informationen finden Sie im Addendum. Trotz ihrer wissenschaftlichen Verantwortung aus der Veröffentlichung des besagten Kommentars von Kramm (@DGG 2/2020) hatte die Deutsche Geophysikalische Gesellschaft in neuhergebrachtem Wissenschaftsverständnis eine Veröffentlichung dieser Erwiderung abgewiesen. Die DGG fühlte sich sogar ermächtigt, die von ihr selbst ausgelöste öffentliche Diskussion auf eine rein persönliche Ebene zu verschieben, Zitat aus der betreffenden E-Mail vom 17.02.2021:
„[…..] Nach intensiver Diskussion innerhalb der Redaktion und in Absprache mit dem Präsidium der DGG haben wir uns allerdings entschlossen, Ihren Beitrag nicht in das Heft 1/2021 aufzunehmen. Diese Entscheidung möchten wir im Folgenden begründen:
Ihre in den Mitteilungsheften 2/2016 und 1/2019 erschienenen Arbeiten sollten eine wissenschaftliche Diskussion Ihrer Ansätze anregen. Leider ist der umfangreiche Beitrag von Herrn Kramm im Heft 2/2020 der einzige Kommentar zu diesen Arbeiten, der uns erreicht hat. Daher sind wir der Meinung, dass die DGG-Mitteilungen nicht das richtige Medium für diese Fragen und die zwischen Herrn Kramm und Ihnen geführte Diskussion sind. Stattdessen sollten Sie die wissenschaftliche Kommunikation zumindest zum jetzigen Zeitpunkt am sinnvollsten direkt mit Herrn Kramm führen. […..]
Wir haben Ihre Erwiderung jedoch zum Anlass genommen, im Mitteilungsheft 1/2021 noch einmal Sinn und Zweck der DGG-Mitteilungen darzustellen.“
Allerdings hieß es ein paar Monate vorher im „Vorwort der Redaktion“ zu den Mitteilungen der Deutschen Geophysikalischen Gesellschaft Nr. 2/2020 noch vollmundig, Zitat mit Hervorhebungen:
„Im vorliegenden Heft gibt es diesmal nur einen wissenschaftlichen Beitrag, den Kommentar von Gerhard KRAMM zu einem kontroversen Artikel von Ulrich O. Weber. Dies zeigt, dass die Roten Blätter auch eine Plattform für wissenschaftliche Diskussionen jedweder Art sind.“
Und ausgerechnet dieser Diskussion hatte die Deutsche Geophysikalische Gesellschaft dann auch noch das Titelbild ihrer Mitteilungen Nr. 2/2020 gewidmet:

Abbildung 1: Ausschnitt von der Titelseite der DGG-Mitteilungen Nr. 2/2020 mit „Figure 2“ aus Kramm et al. (2017)
Aktueller Stand: Meiner konkreten E-Mail-Nachfrage vom 19.02.2021 zur wissenschaftlichen Verantwortung der Deutschen Geophysikalischen Gesellschaft für die von ihr selbst initiierte öffentliche wissenschaftliche Diskussion in ihren Mitteilungen 2/2020 hatte sich deren Vorstand nicht gestellt – o tempora, o mores – tu quoque, Societas Germanica Geophysical?
Aber das muss ja noch längst nicht das Ende sein: In seiner E-Mail* vom 17. Januar 2021 um 05:05 Uhr an mich und den üblichen Skeptiker-Email-Verteiler hatte Dr. Gerhard Kramm mit ausdrücklichem Bezug auf William et al. (2017) eine Abbildung, nachfolgend „Kramm (2021)“, mit einem eigenartigen Vergleich zwischen meinen hemisphärischen S-B-Temperaturen für die Tagseite des Mondes und einem „zonalen lunaren Mittel“ verschickt, Zitat aus dieser E-Mail*:
„Dass der Ansatz des lokalen Strahlungsgleichgewichtes, worauf Ihr hemisphärischer Stefan-Boltzmann-Ansatz beruht, im Falle des Mondes Ergebnisse liefert, die völlig realitätsfern sind, belegt der nachfolgend veranschaulichte Vergleich der Modellergebnisse mit den bolomentrischen Temperaturen des ‘LRO Diviner Lunar Radiometer Experiment‘ (siehe William et al., 2017).
Diese Abbildung ist als Nachtrag zu meinem Kommentar [bei der Deutschen Geophysikalischen Gesellschaft] vorgesehen, der in den kommenden Tagen eingereicht wird.“

Abbildung 2: „Vergleich der Modellergebnisse mit den bolomentrischen Temperaturen des ‘LRO Diviner Lunar Radiometer Experiment‘ (siehe William et al., 2017)“ von Dr. Gerhard Kramm (2021)*
Für den Fall der Fälle nehme ich meiner Deutschen Geophysikalischen Gesellschaft gern die intellektuelle Bürde ab, die Abbildung Kramm (2021) VOR einer möglichen Veröffentlichung auf ihre physikalische Substanz hin zu überprüfen, denn HINTERHER ist ihr ja nicht mehr zu helfen:
Halten wir hier zu Abbildung 2 zunächst einmal fest: Die Messergebnisse von Williams et al. (2017, schwarz) und das Modell von Kramm et al. (2017, rot) stimmen in etwa überein, während mein hemisphärischer S-B-Ansatz (Teq = grün) offenbar geringere Temperaturwerte aufweist. Ist das ein Beweis gegen meinen hemisphärischen S-B-Ansatz? – Nun, dazu müssen wir zunächst einmal wissen, was dort überhaupt als „veranschaulichte[r] Vergleich der Modellergebnisse“ dargestellt worden ist, also schauen wir mal:
Fragestellung 1: Sind Diffamierungen mittels ausschließender Eigenschaften (Disjunktionen) zulässige Beweise in den Naturwissenschaften?
Dargestellt wurde hier eine „zonal gemittelte Temperatur in Kelvin“ auf dem Mond gegen die geographische Breite von 90° bis -90°. Die Angabe „PhiSS=180°E“ bedeutet, dass die Sonne senkrecht auf der geographischen Länge 180° steht, also auf der Rückseite des Mondes; und damit herrscht aus Sicht von der Erde gerade Neumond. Einer solchen Darstellung steht schon mal die Gültigkeit meines hemisphärischen S-B-Ansatzes entgegen. Denn meine hemisphärisch berechneten Mondtemperaturen waren lediglich ein Beweis für das maximal erreichbare S-B-Temperaturäquivalent auf der Tagseite eines erdähnlichen Himmelskörpers ohne Atmosphäre (Beschreibung hier auf EIKE). Anders als die üblichen Mond-Modellierungen mit einem begrenzten Regolith-Wärmespeicher, ergibt sich in meinem hemisphärischen S-B-Modell aufgrund der fehlenden Sonneneinstrahlung eine nachtseitige Temperatur von 0 Kelvin, wobei dieser modellimmanente Unterschied zwischen 0k und ca. 70K nach dem Stefan-Boltzmann-Gesetz lediglich ca. 2W/m² beträgt. Die Darstellung Kramm (2021) stellt also 3 breitenabhängige Temperaturkurven mit gemittelten Durchschnittswerten für die Tag-und Nachtseite des Mondes dar, wobei verschwiegen wird, dass mein hemisphärischer S-B-Ansatz ausdrücklich nicht für die Nachseite des Mondes gilt. Denn in meinem hemisphärischen S-B-Modell wird die Temperatur der Nachtseite unserer Erde über die S-B-Umgebungsgleichung und den Wärmeinhalt von Atmosphäre und Ozeanen erklärt. Dieses Graphik-Konstrukt soll also offensichtlich meinen hemisphärischen S-B-Ansatz für die Tagseite des Mondes durch eine ausschließende Eigenschaft (Disjunktion) zielgerichtet diskreditieren, nämlich durch eine verschleierte Einbeziehung der nachtseitigen Temperaturen.
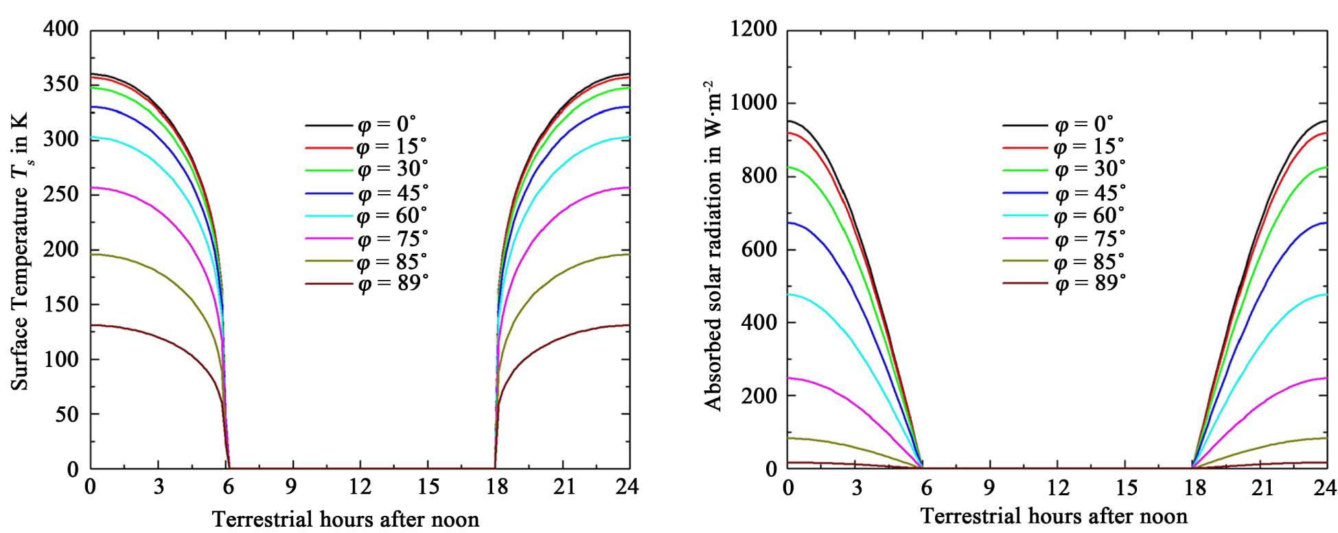
Anstelle der von Kramm üblicherweise propagierten Faktor4-Tag=Nacht-Mittelung hatten Kramm et al. (2017) in ihrer „Figure 10“ dieses breitenabhängige Stefan-Boltzmann-Temperaturäquivalent und die breitenabhängige solare Leistungsdichte über den 24h-Tag sogar selbst dargestellt:

Abbildung 3: Variation of the (a) surface temperature and (b) absorbed solar radiation for numerous parallels of latitude in case of the Earth in the absence of its atmosphere. Figure 10 aus Kramm et al. (2017), Creative Commons Attribution International License (CC BY 4.0)
Stellen Sie Sich in Abbildung 3a (links) für jede einzelne Temperaturkurve jetzt einmal deren Mittelwert vor (PHI=0°-89°, alle Kurven = 0K von 6h bis 18h) und tragen diesen Wert jeweils nördlich und südlich gegen die geographische Breite (PHI=-89°-0°-89°) auf. Der äquivalente lunare Verlauf einer solchen breitenabhängigen Durchschnittskurve würde ausgerechnet auf die grüne Kurve in Abbildung 2 fallen, von der Kramm behauptet hatte, sie sei „voellig realitaetsfern“.
Auffälligkeit 1: Es handelt sich bei der Graphik „Kramm (2021)“ um einen willkürlichen Äpfel&Birnen-Vergleich, bei dem die Birnen dafür diskreditiert werden, dass sie keine Äpfel sind.
Fragestellung 2: Sind mathematische Konstruktionen jenseits jeder physikalischen Relevanz bereits Manipulationen?
Was für Temperaturen werden in der Graphik von Kramm (2021) nun genau dargestellt? Schauen wir uns dazu einmal einen direkten Abgleich zwischen Kramm (2021) und Williams et al. (2017) an. Dort ist festzustellen, dass letztere ihre zonalen Mond-Temperaturen streng nach Tag und Nacht unterschieden hatten:

Abbildungen 4: Zonaler Mittelwert Kramm (2021*, links), Abbildungen 8(a=Tag, Mitte) und (c=Nacht, rechts) von Williams et al. (2017) mit insgesamt 24 zonalen Temperaturkurven entlang der lunaren Zeitzonen
Anmerkung: Alle Abbildungen haben unterschiedliche Vertikalmaßstäbe für die Temperatur
Kramm (2021) führt jetzt also, entgegen den 24 Temperaturkurven von Williams et al. (2017) entlang der Zeitzonen, einen einzigen „zonalen Mittelwert“ für die Tag- und Nachtseite über die Breitenkreise des Mondes ein. Ein solcher Durchschnittswert erscheint in der Arbeit von Williams et al. (2017) aber gar nicht, vielmehr ergibt sich die Abbildung Kramm (2021) als breitenabhängiger Mittelwert aus den Temperaturen 8(a=Tagseite) und 8(c=Nachtseite) von Williams et al. (2017), also als ein zonales Tag&Nacht-Mittel. Schaunmeralsomal anhand einer Originalabbildung von Williams et al. (2017), wie die Graphik von Kramm (2021) zu verstehen ist:

Abbildung 5: Williams et al. (2017) Fig. 5a, „Global instantaneous temperatures of the Moon in (a) cylindrical equidistant projection (ϕ = 180°)” mit der Nachtseite im Zentrum (Neumond) — Übersetzung: Globale Momentantemperaturen des Mondes in (a) zylindrischer äquidistanter Projektion
Die 24 Kurven von Williams et al. (2017) in der Abbildung 4 für die stündlichen Zeitzonen (hour0 – hour23) zeigen also alle 15° geographischer Länge ein Nord-Süd-Temperaturprofil auf der Mondoberfläche, die den jeweiligen N-S-Temperaturverläufen in Abbildung 5 entspricht. Dagegen stellt Kramm (2021) den jeweiligen Durchschnittswert über alle 24 Zeitzonen derselben geographischen Breite in einer einzigen Nord-Süd-Temperaturkurve für die gesamte Mondoberfläche dar. Natürlich ist die Berechnung eines solchen realitätsfernen zonalen lunaren Tag&Nacht-Mittels rein mathematisch möglich, ergibt allerdings physikalisch überhaupt keinen Sinn. Der Unterschied zwischen Mathematik und Physik sind nämlich nicht nur die physikalischen Einheiten, sondern auch die zwingende Notwendigkeit, dass sich physikalische Ergebnisse in die beobachtete Realität zurückentwickeln lassen.
Für die Tagseite des Mondes sind die bei Kramm (2021) gezeigten Durchschnittswerte aber nun zu niedrig und für die Nachtseite zu hoch. Deren physikalische Aussage spielt sich also in Abbildung 5 irgendwo in der türkis-gelb-orangen Zone zwischen Mond-Tag (rot) und Mond-Nacht (blau) ab. Für die breitenabhängigen Durchschnittswerte nach Kramm (2021) existiert zu einem beliebigen Zeitpunkt des 24h-Mond-Tages also in jeder der beiden Dämmerungszonen (türkis-gelb-orange) jeweils eine einzige nicht näher definierte Ortslage, die diesen Kramm‘schen Mittelwert zwischen minimaler und maximaler Temperatur annimmt. Eine solche Darstellung erinnert an den folgenden Witz aus der Frühzeit der Künstlichen Intelligenz, wo ein Atmosphärenphysiker seinen Supercomputer fragt:
„Mir sind da zwei analoge Uhren angeboten worden, eine geht am Tag eine Sekunde nach und die andere ist kaputt. Welche von beiden soll ich nehmen?“
Sagt der Computer: „Nimm die kaputte Uhr!“
Fragt der Atmosphärenphysiker: „Warum denn das?“
Sagt der Computer: „Die kaputte Uhr zeigt zwei Mal am Tag die richtige Zeit an.“
Beiden, der kaputten Uhr und der Temperaturkurve von Kramm (2021), fehlt ohne zusätzliche Informationen jeglicher Zugang zur Realität. Man könnte auch sagen, die jeweiligen Angaben sind zwar mathematisch korrekt, können aber im physikalischen Raum-Zeit-Kontinuum aus sich selbst heraus gar nicht konkret verortet werden. Gemessen an der gewöhnlichen Qualität solcher Kunstprodukte, die bereits von kritischen Laien durchschaut werden können, ist die vorliegende Graphik allerdings als hervorragende Wissenschaftsmimikry einzustufen. Selbst Fachleute dürften der dort zielweisend vorgegebenen Aussage ohne eigenes Hintergrundwissen oder eine tiefergehende eigene Recherche nichts entgegenzusetzen haben.
Auffälligkeit 2: Wir haben es bei „Kramm (2021)“ also nicht etwa mit einer Graphik zu tun, die real existierende physikalische Daten darstellt, aus denen dann konkrete wissenschaftliche Aussagen abgeleitet werden. Vielmehr werden hier die physikalischen Unterschiede zwischen Tag und Nacht mathematisch verschleiert, um ein gegebenes Vorurteil zu bestätigen.
Fragestellung 3: Ist eine Beweisunterdrückung ein taugliches Argument gegen ein unerwünschtes wissenschaftliches Modell?
Das S-B-Temperaturäquivalent liefert lediglich für die sonnenbeschienene Tagseite des Mondes korrekte Ergebnisse. Und die grüne Kurve in Kramm (2021) repräsentiert irgendeinen konstruierten zonalen Tag&Nacht-Durchschnitt, das die Temperaturen auf der Nachseite des Mondes einschließt. Williams et al. (2017) stützen nun aber ausdrücklich meinen hemisphärischen S-B-Ansatz für die Tagseite des Mondes, Zitat mit Hervorhebungen:
„The lunar regolith is highly insulating due to its low density and thermal conductivity (Linsky, 1966, Cremers and Birkebak, 1971, Keihm and Langseth, 1973) and therefore heat flow into the subsurface during the day is small compared to the incident solar flux (Vasavada et al., 1999, 2012). Daytime temperatures can therefore be approximated from the balance of incoming solar flux and outgoing thermal emission:”
Der Google-Übersetzer: „Der Mondregolith ist aufgrund seiner geringen Dichte und Wärmeleitfähigkeit hochisolierend (Linsky, 1966, Cremers und Birkebak, 1971, Keihm und Langseth, 1973) und daher ist der Wärmefluss in den Untergrund während des Tages im Vergleich zum einfallenden Sonnenfluss gering (Vasavada et al., 1999, 2012). Die Tagestemperaturen können daher aus dem Gleichgewicht des einfallenden Sonnenflusses und der ausgehenden Wärmeabgabe angenähert werden:“
Also: Bis auf eine Emissivität EPSILON von 0,95 (WEBER 2019 ohne Speicherung: EPSILON = 1) und einer breitenabhängigen Albedo (WEBER 2019: Albedo = const.) entspricht mein hemisphärischer S-B-Ansatz dem Ansatz von Williams et al. (2017) für die Tagseite des Mondes, Zitat (übersetzt): „Die Tagestemperaturen können daher aus dem Gleichgewicht des einfallenden Sonnenflusses und der ausgehenden Wärmeabgabe angenähert werden“. Einen Abgleich meiner hemisphärischen Tagestemperaturen mit Williams et al. (2017) in gleicher Farbgebung hatte ich bereits in meinem EIKE-Artikel „Neues von Willis Eschenbach“ vom 23. Februar 2020 dargestellt:

Abbildung 6: Qualitativer Temperaturvergleich für die Tagseite des Mondes. Links: Montage aus der Abbildung 5a von Williams et al. (2017) mit der Tagseite des Mondes im Zentrum. Rechts: Das S-B-Temperaturäquivalent @12h, hinterlegt mit der Farbskala von Williams et al. (2017)
Wenn man die Mond-Temperaturen aus der Abbildung von Williams et al. (2017) über den Tagesverlauf mit der hemisphärischen S-B-Temperaturkurve vergleicht, ergibt sich eine sehr ordentliche qualitative Übereinstimmung; es wird aber auch deutlich, dass die Nachttemperaturen unter 50K (violett) bei Williams et al. (2017) nicht erreicht werden. Die unterschiedlichen radialen Farbverläufe bei Williams et al. (2017) spiegeln die Variabilität der örtlichen Mondalbedo und die Topographie wider, die in einem solchen pauschalen S-B-Ansatz nicht berücksichtigt werden können.
Auffälligkeit 3: Die Graphik „Kramm (2021)“ verbreitet eine hochartifizielle und realitätsferne mathematische Mittelwertbildung unter Berufung auf Williams et al. (2017), wobei ausgerechnet deren eindeutige Bestätigung meines hemisphärischen S-B-Ansatzes für die Temperaturberechnung auf der Tagseite des Mondes unterdrückt wurde.
Fazit: In der Überzeugung, eine rein mathematische Designer-Graphik wie „Kramm (2021)“ bei der Deutschen Geophysikalischen Gesellschaft einfach mal eben als Nachtrag zu seinem Kommentar unterbringen zu können, schwingt auch die Geringschätzung eines international bekannten Atmosphärenphysikers gegenüber deren fachlicher Kompetenz mit; schließlich war ein solches „ad auditores“ (vordergründig plausibel für ein Publikum ohne tiefere Sachkenntnis) bereits einmal erfolgreich gewesen. Ich hoffe daher, der DGG mit meiner Analyse dieser Graphik ggf. rechtzeitig aufs wissenschaftliche Pferd helfen zu können…
Addendum: Den Link zur Kramms Academia-Veröffentlichung finden Sie hier und die entsprechende DGG-Version auf seiner Homepage (im Kommentar einfach den Namen anklicken); meine DGG-Veröffentlichung aus 2019 finden Sie hier ab Seite 18, und die Erwiderung zu Kramm@DGG 2/2020 ist nachstehend verlinkt:
2020-12-07 Erwiderung auf Kramms DGG-Kommentar-uw
Konkurrierende physikalische Modelle schließen sich gegenseitig aus. Deshalb können sich solche Modelle auch nicht gegenseitig widerlegen; eine solche Widerlegung kann nur über die gemeinsamen physikalischen Grundlagen erfolgen. Gerne wiederhole ich für meine Kritiker daher abschließend noch einmal die Widerlegungsanforderung für meinen hemisphärischen S-B-Ansatz über einen physikalischen Tag=Nacht-Beweis, Zitat:
„Wenn also wissenschaftlich eindeutig nachgewiesen würde, dass die Gleichsetzung der Energiebilanz unserer Erde (Fläche einer Kugel) mit der strengen thermischen Gleichgewichtsforderung des Stefan-Boltzmann Gesetzes für die bestrahlte Fläche (Halbkugel) physikalisch korrekt ist, dann bin ich tatsächlich widerlegt.“
*) Erklärung: Um jedweden Beschwerden vorzubeugen, bestätige ich hiermit, ein direkter „An“-Empfänger der o. g. E-Mail vom 17. Januar 2021 um 05:05 Uhr mit der Abbildung „Kramm (2021)“ (hier Abb.2 und Abb.3 links) zu sein, ebenso, wie u. a. auch die Herren Lüdecke, Limburg und Kirstein, und beweise nachfolgend mit der „Confidentiality Warning“ des Dr. Gerhard Kramm die rechtmäßige Nutzung der Graphik „Kramm (2021)“, Zitat:
“CONFIDENTIALITY WARNING: The information transmitted is intended only for the person or entity to which it is addressed and may contain confidential and/or privileged material. Any review, retransmission, dissemination or other use of, or taking any action in reliance upon, this information by persons or entities other than the intended recipient is prohibited. If you receive this in error, please contact the sender and delete the material from any computer.”
Der unbestechliche Google-Übersetzer bestätigt mir ausdrücklich, den Inhalt der besagten E-Mail Kramm vom 17. Januar 2021 um 05:05 Uhr rechtmäßig zitiert zu haben:
„VERTRAULICHKEITSWARNUNG: Die übermittelten Informationen sind nur für die Person oder Organisation bestimmt, an die sie gerichtet sind, und können vertrauliches und / oder privilegiertes Material enthalten. Jegliche Überprüfung, Weiterverbreitung, Verbreitung oder sonstige Verwendung oder Ergreifung dieser Informationen durch andere Personen oder Organisationen als den beabsichtigten Empfänger ist untersagt. Wenn Sie dies irrtümlich erhalten, wenden Sie sich bitte an den Absender und löschen Sie das Material von einem beliebigen Computer.
ERGO: Es verbleiben für eine erlaubte „Überprüfung, Weiterverbreitung, Verbreitung oder sonstige Verwendung oder Ergreifung dieser Informationen“ also ausschließlich die von Dr. Kramm „beabsichtigten Empfänger“, und ich bin definitiv der ERSTE „AN“-EMPFÄNGER dieser E-Mail.
















Wir freuen uns über Ihren Kommentar, bitten aber folgende Regeln zu beachten:
- Bitte geben Sie Ihren Namen an (Benutzerprofil) - Kommentare "von anonym" werden gelöscht.
- Vermeiden Sie Allgemeinplätze, Beleidigungen oder Fäkal- Sprache, es sei denn, dass sie in einem notwendigen Zitat enthalten oder für die Anmerkung wichtig sind. Vermeiden Sie Schmähreden, andauernde Wiederholungen und jede Form von Mißachtung von Gegnern. Auch lange Präsentationen von Amateur-Theorien bitten wir zu vermeiden.
- Bleiben Sie beim Thema des zu kommentierenden Beitrags. Gehen Sie in Diskussionen mit Bloggern anderer Meinung auf deren Argumente ein und weichen Sie nicht durch Eröffnen laufend neuer Themen aus. Beschränken Sie sich auf eine zumutbare Anzahl von Kommentaren pro Zeit. Versuchte Majorisierung unseres Kommentarblogs, wie z.B. durch extrem häufiges Posten, permanente Wiederholungen etc. (Forentrolle) wird von uns mit Sperren beantwortet.
- Sie können anderer Meinung sein, aber vermeiden Sie persönliche Angriffe.
- Drohungen werden ernst genommen und ggf. an die Strafverfolgungsbehörden weitergegeben.
- Spam und Werbung sind im Kommentarbereich nicht erlaubt.
Diese Richtlinien sind sehr allgemein und können nicht jede mögliche Situation abdecken. Nehmen Sie deshalb bitte nicht an, dass das EIKE Management mit Ihnen übereinstimmt oder sonst Ihre Anmerkungen gutheißt. Wir behalten uns jederzeit das Recht vor, Anmerkungen zu filtern oder zu löschen oder zu bestreiten und dies ganz allein nach unserem Gutdünken. Wenn Sie finden, dass Ihre Anmerkung unpassend gefiltert wurde, schicken Sie uns bitte eine Mail über "Über Uns->Kontakt"Die DGG aus der betreffenden E-Mail vom 17.02.2021:
Was nichts anderes heißt, dass Ihr Zeugs wissenschaftlich irrelevant ist. Seien Sie froh, dass sich mit Herrn Kramm überhaupt jemand erbarmt, Ihren Nachhilfe zu geben. Von einer wissenschaftlichen Organisation kann man kaum erwarten, dass diese sich dafür hergibt, Ihre für jeden Physiker offensichtlichen fachlichen Defizite zu Schau zu stellen. Es ist ja auch peinlich für Sie, seien Sie froh, dass die Leser der DGG Mitteilungen noch höflich mit Häme gespart haben.
So sieht’s aus. Der Artikel hier wurde bisher mit 0 Sternen bewertet.
@ All: Ich bedanke mich ganz herzlich bei der EIKE-Redaktion für die Veröffentlichung meines 29. Nagels zur künftigen IPCC-Inquisition. Weiterhin bedanke ich mich nicht weniger herzlich bei allen denjenigen Kommentatoren für ihre Unterstützung, die sich bei gleicher oder konträrer wissenschaftlicher Auffassung zu gemeinsamen Standards in der wissenschaftlichen Auseinandersetzung bekannt haben. Zu den D-K-M-Pechvögeln (Pech bei der Selbsteischätzung, Pech beim Denken und Pech beim Lesen) wurde bereits abschließend kommentiert (hier, hier und hier) – man kann halt einen Fußball drehen und wenden wie man will, es kommt dabei nun mal kein durchschnittliches Faktor4-hell=dunkel-Ergebnis heraus…
Ich bin naturwissenschaftlich dumm wie Bohnenstroh, daher waren für mich nur die Kommentare höchst interessant. Denen entnehme ich, dass die hier zu Worte gekommenen Autoren alles von Anderen mühsam Erarbeitetes infrage stellen. Dieses Stefan-Bolzmann-Gesetz sowie Wärme- oder Energiefluss sind für mich Laien merkwürdige, noch von Niemandem ergründete und allgemein verbindlich festgelegte Tatsachen, sondern werden von jedem Beteiligten, teils unter heftigen Verbalattacken, in eigenem Sinne ausgelegt. Das Schöne daran ist, dass man hier einen wissenschaftlichen (vllt. auch scheinwissenschaftlichen, ich weiss es ja nun wirklich nicht) Diskurs findet, der unserer Pandemiedebatte prächtig zu Gesicht stehen würde!
„Ich bin naturwissenschaftlich dumm wie Bohnenstroh“
Lieber Herr Friederichs, damit qualifizieren Sie sich als der bessere Naturwissenschaftler als eine Menge Physiker hier. Denn als erste Pflicht eines Naturwissenschaftler betrachte ich, „Wenn ich etwas nicht bis zum Grund verstehe und gegen jeden Gegenargument verteidigen kann, dann muss ich an die Richtigkeit bzw. an meinem Wissen zweifeln“. Das tun aber eine Menge mit einem Papier in der Tasche, dass sie als gelernte eines naturwissenschaftliches Fachs ausweist, nicht. Sondern wiederholen nur sinngemäß „die Wissenschaft ist sich einig“ oder so.
S-B-Gesetz habe ich bei Eike gelernt, habe aber fundierte Thermodynamik-Kenntnisse. Hier ein die wichtigsten Fakten zum Thema, das hilft Ihnen zu weiteren Beurteilung:
– Der Wärmetausch auf der Erde erfolgt überwiegend über Konvektion und Wärmeleitung, Strahlung macht den geringsten Teil aus und ist meist vernachlässigbar. Natürlich ist die gesamte ankommende Wärme des Sonne ausschließlich Strahlung. Die Prozesse wie diese Energie dann verteilt, gespeichert oder zurückgestrahlt wird, hat aber nicht mehr NUR mit Strahlung zu tun und sind damit nach S-B nicht beschreibbar.
– S-B gibt nur vor, mit welcher Intensität ein wärmerer Körper einen kälteren anstrahlt. Aber nicht im Geringsten, ob der kältere Körper diese Wärme aufnimmt und warm wird, oder auch nicht und zurückstrahlt, oder teils teils. Damit ist die ganze S-B-Rechnerei im Strahlenkrieg bei Eike für die Katz. Es entscheidend, wie viel von der ankommenden Wärmestrahlung auf der Erde bleibt, und das kann man nicht nur anhand von Strahlenformeln und schon gar nicht mit S-B berechnen. Man müsste damit anfangen sich Gedanken zu machen , welche Energiemengen das Wasser der Weltmeere wie lange speichert …. Nur so als Anfang…
Herr Georgiev,
Ihre beiden letzten Absätze sind wahrscheinlich die entscheidenden Feststellungen, für Alarmisten und Realisten.
Man kann auf beiden Seiten die Mathematik „vergewaltigen“, es wird aber mit heutigem Wissensstand (…oder nie, weil zu komplex) niemand ein Modell zusammen kriegen, was bestimmte Entwicklungen auch nur halbwegs sicher vorhersagen könnte, NIEMAND!
So ist es Herr Tengler, es wird nie möglich sein. Die Modellierer machen der Welt und zum Teil sich selber etwas vor.
Viele Grüße
PG
>>Natürlich ist die gesamte ankommende Wärme des Sonne ausschließlich Strahlung.<<
Was kommt denn alles so von der Sonne am Oberrand der Atmosphäre der Erde an?
Nur Wärmestrahlung, da im Vakuum weder Wärmeleitung noch Konvektion möglich ist.
Ab Oberrand der Atmosphäre beginnen aber weitere Prozesse, die mit Strahlung nichts zu tun haben, die die Oberflächentemperatur bestimmen. Da diese nicht berücksichtigt werden, sind die ganzen Strahlenformeln im Zusammenhang der Oberflächentemperatur Spielerei.
Herr Weber, Sie behandelten die Umgebungsgleichung z.B. am 11.9.2019 bei EIKE (Anmerkungen zur hemisphärischen Mittelwertbildung mit dem Stefan-Boltzmann-Gesetz). Ihre Kernaussage lautet „In meinem hemisphärischen S-B-Modell wird die Temperatur der Nachtseite unserer Erde über die S-B-Umgebungsgleichung und den Wärmeinhalt von Atmosphäre und Ozeanen erklärt“. Sie übersehen dabei dass der T2-Term in der Umgebungsgleichung (T1^4-T2^4) die Gegenstrahlung (!) ist, welche Sie ja in Ihrem solaren Modell ausschliessen, womit T2=0 ist. Es ist grotesk, dass Sie die Nichtexistenz von Gegenstrahlung (und Treibhauseffekt) mit der vorhandenen (!) Gegenstrahlung „beweisen“ wollen. Weiter dürfen Sie die von der Sonne nicht beschienenen Fläche, für die Sie ja Wärme von der Sonnenseite wegnehmen ohne dass sich deren Temperatur verringert (!), bei S-B auf keinen Fall ausklammern. Ich hatte dazu schon folgendes Beispiel genannt: Stellen Sie sich vor dass mit einem riesigen Brennglas (mit Erddurchmesser) auf einer kleinen Teilfläche eine Temperatur von tausend Grad erzeugt wird und der Rest der 510 Mio km² -273 Grad hat. Sie glauben, die tausend Grad würden sich auf den Rest der Oberfläche verteilen – sofern man sich einfach die Abstrahlung (die ein Vielfaches der solaren Einstrahlung wird) abgeschaltet denkt. Sowas kann sich nur ein extremer Falschanwender von S-B ausdenken.
Das Treibhausmodel ist eine Falschanwendung des SB Gesetzes.
Weil dort die Annahmen noch grotesker gemacht werden.
Obwohl es bekannt ist, das die kalter Strahlung der Atmosphäre der Oberfläche keine Wärme zugeführt, da die Erde viel wärmer ist, wird behauptet, das CO2 die Erde erwärmt.
Das ist physikalisch, thermodynamisch und logisch falsch.
Bitte bessern sie das Model nach!
Herr Schulz, kältere Strahlung welche gar keine Temperatur hat, führt dem Boden keine Wärme zu, sondern Energie (W/m²). Die Strahlung wird absorbiert und in Wärme umgewandelt. Und eine Temperaturerhöhung liefert S-B weil gilt
S+deltaS = Sigma•(T+deltaT)^4
Herr Dietze,
Die Strahlung wird eben nicht in Waerme umgewandelt. Ihr erster Satz der etwas wirr ist, endet mit der gleiche Aussage.
Ein Fehler der auch sofort auffaellt, die Einheit fuer die Energie ist Joule nicht Leistung pro Quadratmeter. Wie gesagt empfehle das Studium der Thermodynamik und auch der physikalischen Grundlagen.
Das SB Gesetz macht keine Aussage zum waermer werden. Das finden sie in der Thermodynamik bei der Waermeuebertragung durch Strahlung.
Ihre Gleichung sollten sie noch mal nachbessern. Die Einheit fuer die Entropy ist Joule pro Kelvin (J/K).
Zum Thema koennten sie sich diese Erklaerung ansehen, dort steht warum es von kalt nach warm keinen Waermeuebertragung geben kann.
Herr Schulz, elektromagnetische Strahlung – auch Gegenstrahlung – hat (ebenso wie el. Strom) keine Temperatur, ist ein Energiefluss (W/m²=J/(s•m²)) und wird bei Absorption in Wärme umgewandelt. Hätte die Sonnenstrahlung eine Temperatur (etwa wie ein heisser Wasserstrahl), käme sie bei uns mit -273 Grad an und könnte uns nicht wärmen. Die Strahlung in der Mikrowelle (um 3 GHz) hat eine „Strahlungstemperatur“ von <1 K, erhitzt aber unsere Speisen. Bedauerlich dass Sie sowas in der Thermodynamik nicht gelernt haben. Diese Leute ignorieren oft sogar den Energieerhaltungssatz und begreifen nicht, wie die (gemessene!) Gegenstrahlung den Erdboden um 33 Grad wärmer macht als nur die Sonne.
Herr Dietze,
Die Einheit fuer den Energiefluss ist Watt und wird als Leistung gemessen.
Die Einheit W/m2 ist die Strahlungsintensität und ist in der Physik meistens die Flächenleistungsdichte beim Transport von Energie.
Also auch hier vermitteln sie ein falsches Bild.
Das die Sonne keine Erwaermung erzeugen kann mag in ihr falsches physikalisches Verstaendnis passen, kann aber durch einfache Beobachtung ueberprueft werden.
Warum sie in dem ganzen Kuddelmuddel dann noch die Frequenz und eine Mikrowelle unterbringen wissen nur sie allein. Meine funktioniert nur mit einer entsprechenden Leistungsaufnahme.
Der letzte Satz ist ein ausgesprochener Kauderwelsch. Die Gegenstrahlung kann nichts erwaermen, sondern verringert nur die Waermeabgabe. Bei Ihrem hier praesentiertem Verstaendnis werden sie das nie verstehen.
@Werner Schulz, 2. APRIL 2021 UM 13:53, zu: verringert nur die Waermeabgabe¶in der Physik ist es nicht nur üblich dass Zustandsveränderungen vorgeschlagen werden, sondern auch dass die mit Messungen belegt werden. Gerne würde ich mich bei verringert die Waermeabgabe anschliessen …
=> Die Gegenstrahlung kann nichts erwaermen, sondern verringert nur die Waermeabgabe.
Herr Schulz, mit <1 K ist die Strahlung der Mikrowelle Gegenstrahlung, da die Speisen 295 K haben. Sie behaupten also, die Mikrowellen verringern nur die Waermeabgabe??
Herr Dietze,
bitte nachschlagen wie eine Mikroewelle funktioniert.
Hier zum Beispiel eine kindergerechte Erklaerung!
Viel Spass.
Werner Schulz schrieb am 1. APRIL 2021 UM 19:42
Die Strahlung der Sonne wird auch in W/m^2 angegeben. Wollen Sie uns jetzt erzählen dass die Sonnenstrahlen nichts erwärmen würden?
Herr Mueller,
ihr unaufrichtiges Argumentieren wird nur von ihrem Fehlerhaften Lesen uebertroffen.
Diese Aussage stammt von Herrn Dietze:
Sie sollten das Thema mit ihm diskutieren.
Im Uebrigen wird die Strahlstaerke der Sonne wird in W/m2 angegeben.
Die Waerme die wir von der Sonne bekommen immer noch in Joule.
Die Strahlstaerke der Atmosphaere koennen sie auch gerne in W/m2 angeben. Waerme wird aber von der Atmosphaere nicht auf die Erde uebertragen.
@ Dietze
Mit Ihrer auf Strahlen beschränkten Denkweise sind Sie außerstande, Energiebilanzen, die letztendlich die Temperatur bestimmen, nachzuvollziehen.
Bei der Mirkrowelle finden zig Energieumwandlungsprozesse in extra dafür konstruierten Geräten statt, die in der freien Natur so nicht möglich sind. Ziehen Sie den Stecker und Sie merken es. Der letzte Umwandlungsprozess findet in der Suppe statt, wo die energiereichen, aber wärmelosen Strahlen, im Wasser in Wärmeenergie umgewandelt werden.
Diese Strahlungsprozesse haben mit den in der Atmosphäre und Oberfläche stattfindende Wärmeübertragung der Wärmestrahlen der Sonne nichts zu tun.
Bezüglich „gemessene“ Gegenstrahlung: Meine Hände haben fehlerfreie und empfindliche Sensoren für Wärmestrahlung, auch wenn die Skala mit den physikalischen SI-Einheiten fehlt. Wenn ich die Hand aus dem Schatten des Sonnenschirms in die Sonne strecke, merke ich die intensive Wärmestrahlung der Sonne. Tue ich das Gleiche bei wolkenbedeckten Himmel, also wobei die „Gegenstrahlung“ spürbar sein sollte, merke ich… Nichts! Weil sie vernachlässigbar ist.
Herr Georgiev, die Sache ist doch im Prinzip ganz einfach: Der Erdboden (als IR-Schwarzkörper ohne Gegenstrahlung und ohne Treibhauseffekt) kann insgesamt nicht mehr Leistung abstrahlen als er von der Sonne absorbiert. Mal angenommen, Weber hätte Recht mit seiner „Temperaturgenese“ bei Einstrahlung ohne die nichtbeleuchtete Fläche und dem angeblich globalen Mittelwert von 15 °C (288 K), so kann man (einfach angenommen dass überall 15 Grad herrschen) die Abstrahlung mit S-B zu 390 W/m² berechnen.
Und falls die Temperaturen ebenso unterschiedlich sind wie auf der Taghemisphäre, werden es wegen T^4 dann 480 W/m². Also das Doppelte (!!) der global-mittleren solaren Einstrahlung von 240 W/m² mit Albedo – weshalb wir für diese Schnapsidee ja auch von zwei Sonnen beschienen werden müssten. Weber hat also eine Erde erfunden, die ein Energie erzeugendes Perpetuum Mobile ist.
Für alle die hier noch mitdenken, Herr Dietze postuliert neue Gesetze die es in der Thermodynamik so nicht gibt.
Die angebliche Gesetzmässigkeit die er hier anbringt das
hat keine Entsprechung in der Realität und Physik.
Jeden Tag wird es diesen Zustand geben, selbst wenn die Sonne noch scheint, da die bodenwirksame Leistung der Sonneneinstrahlung dem Einstrahlwinkel proportional ist, kommt es überall zu Situationen, das die Bodenabstrahlung höher ist, als die Sonneneinstrahlung.
Die richtige Darstellung ist natürlich, das nicht die Leistung eine Rolle spielt, weil auch nicht die Leistung, so wie Herr Dietze falsch ausführt, sonder die Energie aus der Sonnenstrahlung am Boden absorbiert wird.
Deshalb kann man den Energieerhaltungssatz für ein Gleichgewicht der abgegebenen Wärme und der erhaltenen Wärme annehmen aber keinen Erhaltungssatz für die Leistung, wie die Klimaunwissenschaft das macht.
Aber selbst dieses Energiegleichgewicht gibt es so nicht, da die Erde immer noch selber Energie erzeugt. Wenn auch wenig MUSS die insgesamt abgegebene Wärmemenge größer sein, als die von der Sonne bezogene, wenn die Temperaturen als konstant angenommen werden sollen.
Zum Beispiel gucken sie mal hier vielleicht finden die zweite Sonne unter unseren Fuessen!
Das sollte eigentlich ein Link zu der Sendung mit der Maus werden. Der ist mir fast durch die Eigenzensur gerutscht. Der Erste Link ist aber besser geeignet.
Ja Herr Schmitt, da muß ich Ihnen leider rechtgeben. In der Uni München hatte ich noch das Glück, viele Jahre lang ehrliche und ergebnisoffenorientierte Grundlagenforschung betreiben zu dürfen. Publiziert hab ich aber nur zur Alpinmeteorologie, weil bereits damals die Theoretische Meteorologie in den Journals unerwünscht war. Freilich ist München keine Insel der Seligen mehr, das sinkende Schiff habe ich längst verlassen. Das Fach Meteorologie ist mausetot, es wird nur noch künstlich am Leben erhalten durch politisch gewünschte Modethemen, die mit ernsthafter Wissenschaft nichts zu tun haben. Aber generell ist Deutschland kein Wissenschaftsstandort mehr, wir haben uns zum Beginn des Mittelalters zurückkatapultiert. Vielleicht dauert das neue Mittelalter auch 1000 Jahre, keine Ahnung. Von uns wird aber mit Sicherheit niemand mehr eine Rückkehr zu den blühenden Wissenschaftszeiten erleben, ein neuer Freiherr vom Stein ist nirgendwo in Sicht und hätte heutzutage eh keine Chance mehr, sich durchzusetzen.
Ich schließe mich an, sehe es genau so wie Sie und Herr Schmitt.
Produktforschung der Hersteller ist das eine, ansonsten wird nur „geforscht“, wozu es Lobbygeld gibt und das Ergebnis der „Forschung“ nicht wirklich überrascht.
Armes Deutschland!
Tja…… Krüger…Zitat:((( Herr Weber. Bitte! Nur weil Sie sich in Ihren Ego gekränkt fühlen,…)))Krüger, ist das ein Argument….. „gekränkt fühlen“.Kommentare wie der von Müller bieten Nahrung…. Sie aber…. nur Geschwätz.
Glauben Sie, dass eine Tag-Erde existiert?
Herr Krüger,
Fragen sie das im Ernst? Ich glaube ihnen sind gerade alle Äpfel vom Baum gefallen.
Wenn sie schnell genug fliegen, können sie die Tag-Erde sogar erleben.
Aber hier sieht man ganz gut wie sich die Erde unter der Sonne dreht ab 3:11
@Werner
Dann erzählen Sie mal, wie die Tag-Erde die Wärme auf die Nachtseite transportiert. Das hat Herr Weber ja noch nicht ohne Strahlungsflüsse geschafft.
Herr Krueger,
auf die Gefahr das ich mich wiederhole, aber die Wärme ist materiegebunden.
Wenn sich der Erdkörper dreht dann muss die Wärme nicht transportiert werden. Sie bleibt da wo sie ist. Mit Strahlungflüssen muss man das nicht erklären.
Sie haben scheinbar auch die Grundlagen der Logik und Thermodynamik vergessen.
Der Bürger hat schon längst begriffen das die “ WISSENSCHAFT mit der Theorie “ mit der Geprüften Wissen Schaffenden Wissenschaft nichts mehr zu tun hat. Diese Art “ WISSENSCHAFT “ ist beim Bürger in den Bereich Fake Unterhaltung gerutscht wie so manche „AUFKLÄUNGSSENDUNG “ der öffentlich rechtlichen . Das Netz ist voll von Gegenüberstellung zwischen Theorie und nachprüfbaren Fakt. Manche aber klammern an ihre Ideologischen Theorien. Aber wir Wissen , die Sonne bringt es an den Tag.
Das haut sogar ein Pferd um – Hofautor Uli Weber (zum 29. Mal bei EIKE) setzt sich jetzt mit Prof. Kramm auseinander, da ihm offenbar die Argumente gegen mich fehlen. Dass sein Hemisphärenmodell durch die Falschanwendung von S-B und ohne Gegenstrahlung zwei Sonnen (!) braucht, um auf beiden Hemisphären im Mittel +15 Grad zu haben, hat er als Geophysiker immer noch nicht verstanden. Mit nur einer Sonne wird doppelt soviel abgestrahlt wie diese einstrahlt. Die Nachtseite hat ja nicht -273 Grad.
42 mal hat Herr Weber alleine Herrn Kramm im Artikel genannt. Ich frage mich warum Herr Weber nicht einmal etwas zu seinem Fachgebiet der Exploration zu Kohlenwasserstoffen hier einstellt. Das könnte in der Tat mal interessant sein.
„Hofautor Uli Weber (zum 29. Mal bei EIKE) setzt sich jetzt mit Prof. Kramm auseinander, da ihm offenbar die Argumente gegen mich fehlen.“
Warum soll Herr Weber Argumente gegen jemanden vorbringen, der ständig neue Formen eines Perpetuum Mobiles erfindet???
Herr Keks, das ist doch grotesk! Ich habe darauf aufmerksam gemacht dass die Hemisphären-Erde von Herrn Weber bei 15 Grad die Energie von zwei Sonnen abstrahlt, aber nur Energie von einer empfängt.
Herr Dietze, sie sind verwirrt. Es gibt nur eine Sonne und die Abstrahlung kommt von der gesamten Oberfläche der Grenzfläche von Ozeanen und Erdkörper zur Atmosphäre. Die 15 Grad sind gemittelt und die energetische Abstrahlung ala SB macht keine Aussage zum Wärmeverlust.
Grotesk ist, das sie seit Jahren die Grundlagen nicht kennen und sich auch nicht die Mühe machen sich nochmals zu bilden.
„Herr Keks, das ist doch grotesk!“
Na ja, mit grotesken Argumenten kennen Sie sich doch aus…
„Ich habe darauf aufmerksam gemacht dass die Hemisphären-Erde von Herrn Weber bei 15 Grad die Energie von zwei Sonnen abstrahlt, aber nur Energie von einer empfängt.“
Vielleicht habe ich da was mißverstanden, so wie ich Herrn Weber interpretiere strahlt eine Sonne auf eine Hälfte und die auf die eine Hälfte eingestrahlte Energie wird zu 50% auf der Tagseite und zu 50% auf der Nachtseite abgestrahlt.
Das ist jetzt vielleicht nicht auf ein Prozent genau richtig, scheint mir aber auch nicht so ganz verkehrt, da die Erde ein Wasserplanet ist und sich die Abstrahltemperaturen der Wasseroberfläche zwischen Tag und Nacht nicht sooo sehr unterscheiden (°K!). Die Ursache hierfür liegt wohl in der Tiefenspeicherfähigkeit der Wasserflächen
Aber wenn ich Herrn Weber richtig verstehe, stellt er ja keine Energiebilanzen über 24 h auf, sondern vergleicht Leistungsflüsse auf Tag- und Nachtseite
Ein Problem habe ich eher mit seiner Umgebungsgleichung, da ich der Ansicht bin daß die Natur
a, nicht nettiert und
b, CO2 bodennah nicht strahlt
Insofern wäre für die sog. Gegenstrahlung nur die Strahlung schwebender Feststoffe, die an Wolken reflektierte Bodenabstrahlung sowie die Eigenstrahlung der Wolken relevant. Zieht man noch den zweiten Hauptsatz hinzu, so ist ein Temperatureffekt auf den Boden nur in Ausnahmefällen möglich – siehe Prandtl mit seiner Arbeit zur atm. Grenzschicht und die Emission aus Bodennebel als einzigen IR-basierten Temperatureffekt auf den Boden.
@ Herrn Besso Keks: Die S-B-Umgebungsgleichung stellt die Ausgangssituation für meine Betrachtung der Nachtseite unserer Erde dar. Ich hatte das Prinzip für die reale Erde ohne Festlegung auf die Art des Wärmetransportes erklärt (hier: Land-Seewind-System und hier: 6. ERKENNTNIS); der Endzustand entspricht dann wieder S-B.
Herr Weber, Sie nehmen etwa die Hälfte der W/m² von der Tagseite für die Nachtseite weg. Dann bleibt es dort nicht beim Mittelwert von 288 K, sondern die Temperatur sinkt um den Faktor 4.√2 auf 242 K (-31 Grad) ab. Sie können die Abstrahlung der Nachtseite nicht einfach ausschalten und dazu noch annehmen dass die 288K der Tagseite auch dorthin wandern.
U. Weber schrieb am3. APRIL 2021 UM 18:38.
Und sie vermeiden seit damals tunlichst auf die Form des Wärmetransports einzugehen. Sie könnten einen Teil der nicht enden wollenden Anmerkungen zu ihrem Ansatz loswerden, wenn Sie diese Unklarheit ausräumen würden. Aber ich denke, jeder, der ein wenig mitdenkt, weiß, warum sie das nicht tun.
Wenn man eine Vorstellung davon bekommen möchte, warum sie das getan haben, sollte man sich die Erwiderung durchlesen. Die 13 Seiten will man IMHO nicht in einem Journal haben, das auf Wissenschaftlichkeit wert legt.Ich würde nur auf einen Aspekt der Erwiederung bezug nehmen wollen, der vielleicht noch am ehesten und einfachsten überprüfbar ist:
Ich habe die Stelle, auf die sich Herr Weber bezieht, im Originaltext nicht gefunden. Herr Agerius bezieht sich allerdings auf folgendes Buch: Physik für Ingenieure By Paul Dobrinski, Gunter Krakau, Anselm Vogel, Seite 216. Dort steht:
Das Lehrbuch beschreibt also die Anwendung des Stefan-Boltzman-Gesetzes auf eine Situation, in der sich zwei schwarze Körper gegenüberstehen. Auf der Erde entspräche das der Erdoberfläche und der Atmosphäre (beide keine schwarzen Körper, aber sich gegenseitig anstrahlend). Herr Weber präsentiert diese Gleichung leicht abgewandelt als
Nun schliesst aber Herr Weber Strahlung aus der Atmosphäre immer explizit aus, was eigentlich heissen würde, dass sich der Term in seiner Umgebungsgleichung wieder auf
reduzieren würde, womit dann sein Gleichgewicht zwischen Ein- und Abstrahlung verschwindet. Auf eine andere Erklärung als „eine Fehlinterpretation“ warten wir vergeblich.
Ihr Beklatschen der Zensur macht alle anderen Ihrer Prämissen uneingeschränkt falsch.
Alwin Bruno schrieb am 30. März 2021 um 11:44
Haben Sie die Erwiderung gelesen? Entspricht die Ihrer Meinung nach einem wissenschaftlichen Artikel, den Sie in einem wissenschaftlichen Journal abdrucken würden? Das hat nichts mit „Beklatschen“ zu tun, sondern ist eine Frage von Form und Inhalt des von Herrn Weber eingereichten Kommentars.
Schon allein haben Sie gelesen entlarvt Gesinnungs-Dingens, ist nicht mein Métier. Ist ja nicht das erste mal daß Ihr paranormal-Talent heraushängt.Zensur setzt alle anderen Prämissen auf falsch.
Herr Mueller,
der Fehler in ihrer Ausführung besteht darin, das sie die Formel an der Oberfläche zweimal anwenden müssen.
Zum einen geht es um den Wärmeaustausch Oberfläche und Sonne und zum andern um den Wärmeaustausch Oberfläche Atmosphäre.
Was sie anbringen ist das letztere, aber die Betrachtung des ersteren ist was Herr Weber macht. Sie argumentieren an Herr Weber vorbei.
Sie haben ja nunmehr zugegeben das der Nettoenergiefluss von der Oberfläche zur Atmosphäre geht. Bei der Strahlung ist der Nettoenergiefluss die Wärme.
Da also keine Wärme von der Atmosphäre auf die Oberfläche übertragen wird, betrachtet man die Wärmequellen für die Oberfläche.
Herr Weber betrachtet die Sonne und kommt im Rahmen der Klimaphysik zu seiner Aussage.
Wenn sie sich ernsthaft mit dieser auseinandergesetzt haben, dann sollten sie jetzt entweder eingestehen, das die Klimaphysik einen falschen Ansatz hat und dann müssen sie die richtigen Argumente gegenüber Herrn Weber bringen.
In dem Sinne gebe ich zu Bedenken, das die Temperatur sich auf den Wärmeinhalt bezieht und nicht auf die Energie ein und Ausgänge.
Werner Schulz schrieb am 30. März 2021 um 16:42
Es geht hier um die Aussagen von Herrn Weber. Die drei Punkte, die ich gebracht habe – Buchreferenz, Umgebungsgesetz, Aussagen zur Nichtexistenz des Treibhauseffektes bzw. nicht existenter Strahlung aus der Atmosphäre – stammen von Herrn Weber. Und sie stehen miteinander im Widerspruch. Falls ich Herrn Weber missverstanden habe, würde ich gerne wissen, an welcher Stelle und was statt dessen richtig ist. Aber das möchte Herr Weber anscheinend nicht aufklären. Und Ihre unkonkreten Anmerkungen helfen auch nicht …
Herr Mueller,
Die Nichtexistenz des Treibhauseffektes bzw. nicht existenter Strahlung aus der Atmosphäre sind zwei völlig unterschiedliche Aussagen.
Dort verstehen sie die Aussagen nicht richtig.
mfg Werner
Ceterum censeo: Die Temperatur ist eine «intensive» auf die Materie eines Raum/Zeitpunkts bezogene Grösse. Eine auf den ganzen Planeten bezogene «Welt-Durchschnittstemperatur» ist somit eine künstliche Konstruktion ohne physikalische Bedeutung.
Kann ich nur unterstützen. Gemittelte Temperaturen und Stefan Boltzmann schließen sich aus.
Herr Prof. Puschner, da liegt bei Ihnen ein Missverständnis vor. Gemittelte Temperaturen und Stefan Boltzmann schließen sich NICHT aus wenn die absoluten Temperaturen (des weitaus grössten Teils der Erdoberfläche) wegen Rotation, Speicherung und Umverteilung nur um Prozente von Mittelwert abweichen.
Machen Sie z.B. mal einen S-B-Test mit drei Zonen von 278, 288 und 298 K, bilden Sie den Strahlungsmittelwert und rechnen damit den korrekten Temperaturmittelwert aus. Der Fehler zu 288 K liegt nur im Promillebereich. Das spielt bei den Ungenauigkeiteiten der globalen Klimaberechnung kaum eine Rolle.
Die T^4-Kurve verläuft nämlich im Arbeitsbereich um 288 K nur wenig gekrümmt – und wenn sie durch eine Gerade approximiert wird, geht der Mittelwertfehler gegen Null. Die exakte Berechnung des Mittelwerts vom solaren Temperaturverlauf am Äquator über Tag/Nacht (mit Albedo und Speicherung) ergibt z.B. nur einen um 0,3 Grad niedrigeren Wert als wenn man einfach mit S-B und dem Strahlungsmittelwert von 1364*0,7/Pi den Temperataturmittelwert zu -3 Grad berechnet.
Herr Dietze,
mathematisch gesehen sind solche „Vereinfachungen“ sicherlich möglich für das betreffende Temperaturintervall, aber wie schnell werden denn solche Umstände in der Praxis „vergessen“??? Ich bin da schon für eine gewisse Exaktheit zumindest im zugrunde liegenden „Formelwerk“ und den physikalischen Zusammenhängen. Die ungenauen „Schätzungen“ bei den in die Formeln eingesetzten Werten kommen früh genug dazu, denen aber leider meist auch keine seriöse Fehlerbetrachtung zukommt. Bei Ihnen sind es „nur 0,3 Grad“ an dieser einen Stelle „Rechenfehler“, aber das ist ja schon fast die Größenordnung, um die der ganze Klimahype geht.
Realistisch betrachtet ist, wie hier bei Eike schon vielfach ausgeführt wurde, allein die reale Meßunsicherheit bei den zugrunde gelegten Temperaturmessungen größer als die angeblichen „Temperaturerhöhungen“ durch CO2. Da helfen auch keine „Mittelwerte“, wie hier von angeblichen „Experten“ immer wieder glaubhaft gemacht werden soll.
Herr Tengler, 0,3 Grad „sind schon fast die Größenordnung, um die der ganze Klimahype geht“. Sie beachten nicht die Tatsache dass die Berechnung der Gegenstrahlung für den TE am Boden z.B. mit HITRAN aufgrund der Durchstrahlung der Atmosphäre mitsamt Wolken, Wasserdampf und Feedback bei einer (mittleren) Bodentemperatur mit 1 Promille Fehler auf Basis von deltaT=deltaS/S/4*T beim Ergebnis von 0,6 Grad 4 Promille Fehler bewirkt, also nur 0,0024 Grad.
Herr Weber. Bitte! Nur weil Sie sich in Ihren Ego gekränkt fühlen, müssen Sie sich nicht hier im Blog laut darüber beschweren. Ihre Tag-Erde-Theorie zum nicht existenten THE wurde hier mehrfach widerlegt. Das die DGG überhaupt mal einen Artikel von Ihnen veröffentlicht hat/ zur Diskussion gestellt hat, ist meiner Meinung nach schon ein Wunder. Sie haben nie auf dem Gebiet der Atmosphärenphysik gearbeitet und veröffentlicht. Ihr Fachbereich ist die Exploration von Kohlenwasserstoffen. Habe ich neben der Atmosphärenphysik auch mal u.a. auf Sonne und Meteor gemacht. Dort hatten meine Kollegen auch keine Ahnung von Atmosphärenphysik.
„Ihre Tag-Erde-Theorie zum nicht existenten THE wurde hier mehrfach widerlegt.“
Da wurde gar nichts mehrfach widerlegt, die Widerlegung ist eher der Wunschtraum eines grünen Träumers.
Abgesehen davon hat Deutschland wissenschaftlich fertig, da ist auch nichts mehr zu retten. Für ehrliche und offene Grundlagenforschung gibt es nicht nur in diesem Land, das nur noch ein Schatten vergangener Tage ist, keine Plattform mehr. So gesehen hat Herr Weber vollkommen recht. Aber das, Herr Krüger, werden Sie niemals verstehen.
Eine Venusnacht dauert fast 2 Monate. Ohne Sonnenschein ist es auf der Nachtseite trotzdem glühendheiß. Somit ist die Tag-Erde-Theorie schon widerlegt.
„Eine Venusnacht dauert fast 2 Monate. Ohne Sonnenschein ist es auf der Nachtseite trotzdem glühendheiß. Somit ist die Tag-Erde-Theorie schon widerlegt.“
Nonsense aus Krügerloch
Eh, Herr Krueger.
Tag ist keine Theorie, genau wie die Nacht keine Theorie ist.
Der Unterschied von Venus und Erde ist, das auf der Erde die Sonne die Oberfläche erreicht, und damit Einfluss auf die Temperaturen am Tag nimmt.
Bei der Venus erreicht das Sonnenlicht die Oberfläche kaum und hat damit einen minimalen Einfluss.
Was man auf der Venus beobachtet ist fast ein reiner Atmosphäreneffekt, der sich mit der Masse der Atmosphäre, seiner Wärmekapazität, der Gravitation und der Inneren Wärme der Venus erklären lässt.
Mit Strahlung hat das nichts zu tun! Diese ist an die Temperatur gebunden, aber die Temperatur nicht an die Strahlung.
„Was man auf der Venus beobachtet ist fast ein reiner Atmosphäreneffekt, der sich mit der Masse der Atmosphäre, seiner Wärmekapazität, der Gravitation und der Inneren Wärme der Venus erklären lässt.“
Strömungseffekte nicht vergessen…
@Werner
Soso auf der Venus erreicht das Sonnenlicht nicht die Oberfläche? Schauen Sie mal hier, ein Foto von der Venus-Oberfläche von einer der russischen Sonden, die dort gelandet sind.
http://neugierig.langau.de/wp-content/uploads/2017/02/Venus1-1.jpg
Soso, Masse, Gravitation und Druck, etc. erzeugen also auf der Venus auf der Nachtseite die Wärme? Erklären Sie mal, wie das gehen soll, bin gespannt. Könnte man dann auf der Erde ja auch machen und Heizungen gemäß dem Prinzip bauen? Wie gesagt nur ein Kompressor, der mit Strom, oder einen anderen Antrieb arbeitet kann Wärme erzeugen. Wer macht das auf der Venus? Erzählen Sie mal?
Herr Krueger,
ihre Leseschwäche ist auffallend gebunden an ihre Bias.
Das falsche Auslegen meiner Aussagen legt diese Schwäche ausreichend dar.
So habe ich, ihren Einwand vorwegnehmend formuliert:
Die Betonung liegt bei KAUM.
Des weiteren habe ich nichts von Druck erwähnt. Zeigen sie mir in der Gleichung zur Adiabatischen Lapserate wo dort Druck vorkommt.
Ich nenne die Gravitation und die Wärmekapazität und Masse, die Grundlage dieser Gleichung.
Und warum auch immer, sie haben an der Lösung vorbeigelesen, wo die Wärme auf der Nachtseite der Venus herkommt, oder können sie mit der Formulierung: Inneren Wärme der Venus nichts anfangen?
Hier noch eine Denkhilfe: Entscheidend ist nicht ob das Sonnenlicht bis zur Oberfläche durchkommt weil es in der Atmosphäre gestreut wird, sondern wo die planetare Abstrahlung herkommt.