Eine der Freuden von Diskussionen mit Klimawissenschaftlern ist, dass man einen Einblick in ihre Denkweise bekommt. Nehmen Sie zum Beispiel das oft postulierte: „Man sollte sich das große Ganze ansehen“. Was viele Klimawissenschaftler damit meinen, ist die Betrachtung der neuesten super-duper Ozean-Atmosphäre gekoppelten Modelle mit zeilenweisen Strahlungstransfer-Codes und was nicht noch alles. Ohne das, so die Behauptung, kann man nicht verstehen, wie das Klimasystem funktioniert. Seltsamerweise bedeutet „das große Ganze betrachten“ für einen Physiker wie mich genau das Gegenteil: das zu betrachtende System auf das Wesentliche zu reduzieren und Erkenntnisse über sein Innenleben aus der zugrundeliegenden Physik zu gewinnen, ohne sich von Details ablenken zu lassen.
Was ist hier also das große Ganze? In ihrer einfachsten Form ist die Erde ein Wärmeübertragungssystem im Nicht-Gleichgewicht (aber in einem stabilen Zustand), in dem Wärme (überwiegend) in den Äquatorregionen eintritt und Wärme (überwiegend) an den Polen verloren geht. Im Inneren wird die Wärme durch atmosphärische und ozeanische Strömungen von den Tropen zu den Polen transportiert, wodurch die Tropen abgekühlt und die Polarregionen erwärmt werden. Ohne diesen Transport würde die lokale Temperatur nur durch das Gleichgewicht zwischen Sonneneinstrahlung und Strahlungsverlusten bestimmt, wodurch die Tropen wärmer wären als sie sind und die Pole kälter. Die Tropen sind kühler, als sie es ohne diesen Transport wären, während die Polarregionen wärmer sind. Daher: kalte Tropen und warme Pole.
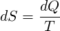
Jetzt kommt das Rätsel: Der Wärmetransport zwischen Tropen und Polargebieten wird durch deren Temperaturdifferenz bestimmt. Je größer diese ist, desto größer ist der Wärmestrom. Der Wärmetransport verringert aber diese Temperaturdifferenz und wirkt damit seiner eigenen Verursachung entgegen. Betrachten wir z. B. den Grenzfall eines sehr großen Wärmestroms, bei dem die Wärmeübertragung praktisch augenblicklich erfolgt. Als Ergebnis hätten die Pole die gleiche Temperatur wie die Tropen, aber dann kann es überhaupt keinen Wärmestrom geben, weil dieser durch eine Temperaturdifferenz angetrieben wird. Wir haben also einen Widerspruch. Von der umgekehrten Situation auszugehen, dass es keinen Wärmestrom gibt, ist ebenfalls unhaltbar, weil die große Temperaturdifferenz einen Wärmestrom hervorruft. Es gibt aber einen Wärmestrom, der daher mit der von ihm verursachten Temperaturdifferenz konsistent sein muss. Ein kleinerer Temperaturunterschied ist nicht möglich, denn das würde den Wärmestrom verringern und damit die Differenz wieder vergrößern; und ein größerer Temperaturunterschied würde den Wärmestrom vergrößern und damit verringern. Dies deutet stark darauf hin, dass sich die Atmosphäre als Ganzes in einem Zustand einpendelt, in dem die Temperaturdifferenz zwischen den Tropen und den Polen minimal ist, während gleichzeitig der von ihr verursachte Wärmestrom zwischen ihnen maximal ist. Wir können diese Einsicht nutzen, um seine Größe zu berechnen, indem wir das Prinzip der Maximalen Entropieproduktion MEP anwenden, eine Arbeitshypothese in der Nicht-Gleichgewichtsthermodynamik, die zunehmend Unterstützung in Beobachtungen findet (siehe Kleidon für eine ausgezeichnete Einführung, Ref. 1, 2).
Das MEP-Prinzip besagt, dass ein System, das weit vom (thermodynamischen) Gleichgewicht entfernt ist, sich an einen stationären Zustand anpasst, in dem Energie dissipiert und Entropie mit der maximal möglichen Rate produziert wird. Beachten Sie, dass „maximale Entropieproduktion“ etwas völlig anderes ist als „maximale Entropie“. Letztere bezieht sich auf ein geschlossenes System im thermodynamischen Gleichgewicht. Hier haben wir es mit einem offenen System zu tun, das sich nicht im thermodynamischen Gleichgewicht befindet, sondern in einem stetigen Nicht-Gleichgewichtszustand.
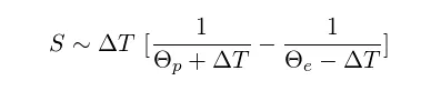
Ich fürchte, ich muss hier einige Formeln einführen. Was ich tun werde ist, die Grundgleichung und ihre Lösung hier anzugeben, während ich für die Kenner der Materie in einem Anhang erläutere, wie man diese Lösung findet. Diejenigen, die mit der Thermodynamik vertraut sind, werden diesen Ausdruck für die Produktion, also die Änderung, dS der Entropie S durch eine Änderung des Wärmeinhalts dQ bei der Temperatur T kennen:
Hieraus folgt direkt die Formel für die Entropie-Produktion durch einen Wärmefluss Q zwischen den Äquator-Gebieten mit der Temperatur Te und den Polen mit der Temperatur Tp:
Die Wärme verlässt die äquatorialen Regionen mit der Temperatur Te, daher das Minuszeichen, und erreicht die Pole mit der Temperatur Tp. Die Maximierung von S ist gleichbedeutend mit der Suche nach der optimalen Kombination von Q und Te -Tp. Die Lösung dieser Gleichung ist recht einfach (siehe Anhang). Die tatsächliche Differenz Te -Tp beträgt fast die Hälfte der Differenz, die sich ohne Energiefluss ergeben hätte. Halb, also nicht 0,3 oder 0,7 mal.
Testen wir dieses Ergebnis anhand von Modellen und Beobachtungen. Es scheint gut etabliert zu sein – aus Berechnungen mit Standard-Atmosphärenmodellen –, dass ohne den Wärmetransfer die äquatorialen Regionen etwa 15 Grad wärmer und die Pole etwa 25 Grad kälter wären (Celsius, ref 3). Ich nehme diese Abschätzungen für bare Münze; sie implizieren eine Asymmetrie β = 0,25, für die 1 – 2α ~ 0,51 gilt (siehe Anhang). Dann lautet die Vorhersage, dass der Temperaturunterschied zwischen den Tropen und den Polen mit dem Wärmetransfer etwa 41 Grad beträgt (also (15 + 25) × 0,51∕0,49), während der Unterschied ohne diesen Transfer etwa 80 Grad betragen würde. In der Tabelle sind einige reale Beobachtungen aufgeführt:
Für die Antarktis habe ich die Daten der Byrd-Station verwendet, weil sie auf einem Plateau liegt und daher vermutlich weniger von einer möglichen Abschirmung durch Berge betroffen ist. Die gemittelte polare Temperatur scheint bei etwa -21°C zu liegen. Für die Tropen entspricht das untere Ende des Bereichs überwiegend den ozeanischen Daten und sollte daher ein größeres Gewicht im Mittelwert haben, der hier mit 24°C angenommen wird. Die beobachtete Temperaturdifferenz zwischen polaren und äquatorialen Regionen liegt also bei etwa 45 Grad, gegenüber einer Vorhersage von 41 Grad. Nicht schlecht für ein so einfaches Modell.
Es mag ein einfaches Modell sein, aber das MEP-Prinzip hat eine wichtige Implikation. Die Maximierung der Entropieproduktion für stationäre Bedingungen impliziert eine starke negative Rückkopplung auf Störungen (siehe Kleidon). Jede Störung wird per Definition zu einer Abnahme von S führen, und das System wird sich anpassen und versuchen, es wieder zu optimieren. Eine solche Störung in Klimamodellen ist bekannt und seit langem etabliert und weithin als gültiges Konzept akzeptiert: die „polare Verstärkung“. Sie besagt, dass sich in einer sich erwärmenden Atmosphäre die Polarregionen schneller erwärmen als die äquatorialen Regionen; daher nimmt Te – Tp ab. Es ist jedoch auch eines der seltsamsten Konzepte, die in der Klimamodellierung zu finden sind, weil es keine begrenzende Bedingung hat: Nirgendwo in der Literatur steht etwas wie „unter diesen und jenen Bedingungen, bei diesem Grad der Erwärmung, wird die polare Verstärkung aufhören“. Dies könnte zu einer Absurdität führen: Sollte die Atmosphäre heiß genug werden, würde der Temperaturunterschied zwischen Äquator und Pol komplett verschwinden oder sogar das Vorzeichen wechseln. Es muss also Bedingungen geben, unter denen die Verstärkung nicht mehr stattfindet. Warum ist das wichtig? Wenn es einen solchen Mechanismus gibt, der unter bestimmten Umständen einsetzt, dann muss man erklären, warum er gerade jetzt nicht funktioniert, und das könnte peinlich sein. Wie dem auch sei, aus dem Vorangegangenen sollte ersichtlich sein, dass das Konzept der polaren Verstärkung in der Tat ziemlich fragwürdig ist: Die verringerte Differenz von polaren und äquatorialen Temperaturen reduziert den Wärmefluss zu den Polarregionen, was eine Abkühlung zur Folge hätte. Ein realistisches Klimamodell sollte sich so verhalten, wie es die zugrundeliegende Physik vorgibt. Daraus lässt sich ableiten, dass eine solche Rückkopplung in den aktuellen Klimamodellen nicht vorhanden ist und dass folglich das ganze Konzept ein Artefakt eines unvollständigen Modells sein könnte. (Sie haben es hier zuerst gelesen.)
Aber wie das Leben so spielt hat sich die Arktis in den letzten 3 oder 4 Jahrzehnten erwärmt. Das würde das Konzept der polaren Verstärkung beweisen, oder? Nun, diese Erwärmung mag in der Arktis der Fall sein, aber sie sollte gleichzeitig auch für die Antarktis gelten, aber dort scheint das Konzept den Vergleich mit den Beobachtungen nicht zu bestehen (ref 4).
Was mag also in der Arktis vor sich gehen? Ich erlaube mir, hierzu meine Meinung zu verkünden. Für mich liegt der Schlüssel in der Tatsache, dass es zwei Pole gibt. Es wäre außergewöhnlich, wenn zu allen Zeiten genau der gleiche Anteil der äquatorialen Wärme auf jeden Pol verteilt würde. Die Übertragungsmechanismen, atmosphärische und insbesondere ozeanische Strömungen, sind von Natur aus chaotische Systeme, die dazu neigen, von einem bestimmten quasi-stabilen Strömungsmuster zu einem anderen zu wechseln. Bei den Meeresströmungen kennen wir dieses Verhalten als Pazifische Dekadische Oszillation, Atlantische Multidekadische Oszillation, Dipol des Indischen Ozeans und dergleichen. Die Zeitskala für solche Veränderungen beträgt viele Jahrzehnte, von 3 für die PDO bis zu 6-8 für die AMO, weil eine enorme Masse und ein enormer Impuls von sich bewegendem Wasser beteiligt ist und Wasser eine inkompressible Flüssigkeit ist, was bedeutet, dass die Veränderung über das gesamte Strömungsmuster gleichzeitig stattfindet. Daher ist zu erwarten, dass die Verteilung der Wärme nach Norden und Süden Änderungen auf einer Zeitskala von Jahrzehnten in einer erratischen Wippe unterliegt. Wir leben zufällig in einer Zeit, in der die nördliche Hemisphäre etwas mehr als ihren gerechten Anteil an der Wärme bekommt; in ein paar Jahrzehnten kann das ganz anders sein. Um solche Veränderungen von einem möglicherweise zugrunde liegenden langfristigen Erwärmungstrend zu unterscheiden, werden Daten über einen viel längeren Zeitraum benötigt, als wir jetzt haben.
Anmerkung von Dipl.-Met. Christian Freuer hierzu: die „bipolare Schaukel“ oder „- Wippe“ ist ihm vor Jahrzehnten schon einmal untergekommen, aber nur aufgrund von Beobachtungen und ohne dass die damaligen Autoren eine Erklärung dafür parat hatten. Es ist äußerst erhellend und erfreulich, hier in relativ einfacher Form jetzt endlich eine solche Erklärung dafür zu finden. – Ende Anmerkung
Link zum Original siehe unten. Bis hier Übersetzt von Chris Frey EIKE
References:
(1) Axel Kleidon (2009): ”Non-equilibrium thermodynamics and maximum entropy production in the Earth system”, https://link.springer.com/article/10.1007/s00114-009-0509-x
(2) A Kleidon, R D Lorenz (editors) ”Non-equilibrium thermodynamics and the production of entropy” (2005) Springer, ISBN 978-3-540-22495
(3) e.g. http://earthguide.ucsd.edu/virtualmuseum/virtualmuseum/EarthsClimateMachine.shtml
Es folgt eine genaue theoretische Herleitung, deren Übersetzung ich hier mal weglasse. Anm. d. Übers.]
Solving the EP equation
The entropy production S for a heat flow Q between the equatorial regions of temperature Te and the polar regions of temperature Tp is given by:
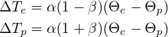
The MEP hypothesis is that the atmospheric system tends to maximise S. This optimum can be found analytically as follows. Introduce Θe and Θp, the temperatures of the equatorial and polar regions respectively if there were no heat transport. That is, Θe and Θp stand for the radiative equilibrium temperatures of those regions. The actual temperatures (Te and Tp) are different because of the heat transport. Hence define ΔTe = Θe – Te and ΔTp = Tp – Θp. Let’s for the moment assume that they are both equal and equal to a fraction α of the range Θe – Θp:
Notice that the difference Te – Tp equals:
Obviously for α = 0 there is no heat transfer, hence S = 0, while for α = 0.5 we have Te equal to Tp and thus no entropy production either. In between these extremes the heat flux Q is somehow proportional to ΔTe, the larger the drop in temperature of the equatorial region, the larger the heat loss from it and one can assume the relation to be (close to) linear. This gives us an expression for S in terms of ΔT, hence as function of α :
The maximum of S in the range [0.0 – 0.5] is straightforwardly found with basic calculus techniques – you need to solve a cubic equation in α – and turns out to be almost exactly at α = 0.25. Alternatively, one could use the R analysis package, encode the function for S, find the maximum with Newton’s method and get a figure as a bonus.
The upshot of all this is that the MEP temperature difference Te -Tp is very nearly half the difference Θe – Θp which we would have had in the absence of any heat flow.
Let’s now revisit ΔTe and ΔTp. Adopting equality of ΔTe and ΔTp means assuming that for every degree drop in temperature of the equatorial regions the polar temperature rises by one degree. This is not very realistic; quite likely the polar temperature rises more because of area and heat capacity differences. We can include such an imbalance by slightly modifying the definitions of ΔTe and ΔTp and introduce an asymmetry parameter β:
With a value of β = 0.25, for instance, this would mean that for every 3 degrees drop in equatorial temperature the poles would gain 5 degrees. Notice that the difference Te – Tp remains as given earlier. Repeating the foregoing exercise for a range of β values presents us with an interesting result: the corresponding α values are practically unchanged: for β = 0 the maximum is at α = 0.2487, for β = 0.25 at 0.2441 and β = 0.33 at 0.2427. This means that irrespective of a possible asymmetry between equator and polar regions the temperature difference between the two remains firmly at about half the difference Θe – Θp, but that the centre of the range shifts according to the value of β
Link: https://wattsupwiththat.com/2020/12/21/of-warm-poles-and-cold-tropics/





















Wir freuen uns über Ihren Kommentar, bitten aber folgende Regeln zu beachten:
- Bitte geben Sie Ihren Namen an (Benutzerprofil) - Kommentare "von anonym" werden gelöscht.
- Vermeiden Sie Allgemeinplätze, Beleidigungen oder Fäkal- Sprache, es sei denn, dass sie in einem notwendigen Zitat enthalten oder für die Anmerkung wichtig sind. Vermeiden Sie Schmähreden, andauernde Wiederholungen und jede Form von Mißachtung von Gegnern. Auch lange Präsentationen von Amateur-Theorien bitten wir zu vermeiden.
- Bleiben Sie beim Thema des zu kommentierenden Beitrags. Gehen Sie in Diskussionen mit Bloggern anderer Meinung auf deren Argumente ein und weichen Sie nicht durch Eröffnen laufend neuer Themen aus. Beschränken Sie sich auf eine zumutbare Anzahl von Kommentaren pro Zeit. Versuchte Majorisierung unseres Kommentarblogs, wie z.B. durch extrem häufiges Posten, permanente Wiederholungen etc. (Forentrolle) wird von uns mit Sperren beantwortet.
- Sie können anderer Meinung sein, aber vermeiden Sie persönliche Angriffe.
- Drohungen werden ernst genommen und ggf. an die Strafverfolgungsbehörden weitergegeben.
- Spam und Werbung sind im Kommentarbereich nicht erlaubt.
Diese Richtlinien sind sehr allgemein und können nicht jede mögliche Situation abdecken. Nehmen Sie deshalb bitte nicht an, dass das EIKE Management mit Ihnen übereinstimmt oder sonst Ihre Anmerkungen gutheißt. Wir behalten uns jederzeit das Recht vor, Anmerkungen zu filtern oder zu löschen oder zu bestreiten und dies ganz allein nach unserem Gutdünken. Wenn Sie finden, dass Ihre Anmerkung unpassend gefiltert wurde, schicken Sie uns bitte eine Mail über "Über Uns->Kontakt"Will man das Verhältnis zweier Größen A und B zueinander Ausdrücken, stehen einem zwei grundsätzlich gleichwertige Varianten zur Auswahl, die jedoch nicht das gleiche Ergebnis liefern:x = A/B und y = B/ABeide Ausdrücke lassen sich separat daraufhin prüfen, ob in ihnen eine Null allein im Nenner erscheinen kann; diese sind zu verwerfen, da der Ausdruck an der Stelle mathematisch (und in der Realität sogar schon in der Annäherung) nicht definiert ist.Nun ist die Formel für Entropie als S=Q/T (unabhängig von Q>0!) bei T=0 nicht definiert ; andererseits ist bei Q=0 auch T=0 (T>0 bewirkt physikalisch Q>0)Wählt man jedoch mit S=T/Q die zweite, genauso legitime Variante, ändert sich alles: S ist bei T=0 definiert (und ebenfalls null); und bei Q=0 bleibt weiterhin auch zwingend T=0.Wohlgemerkt, es handelt sich um die Betrachtung eines abgeschlossenen Systems von Außen. Bei thermischen und thermodynamischen Vorgängen innerhalb des Systems tritt nun bei Energieerhaltung mit der Temperaturerhöhung zuverlässig eine Erhöhung der Entropie ein, oder wie immer man diese Größe nun zu nennen beliebt.Es scheint auch zu sein, daß mit dieser – gleich legitimen! – Variante die Existenz des Universums, und dem Leben darin, von einer unberechenbaren Zufallsgröße zu einer berechenbaren Notwendigleit wird.Nun, ich werde dieses Rätsel nicht mehr lösen.Aber man kann damit spielerisch herumexperimentieren. Etwa, welchen Wert (in J/K) Entropie wann annehmen kann, und annehmen wird – oder eben in K/J, beispielsweise 0; welche Ergebnisse eine brennende Kerze gegenüber zweien liefert, usw. (gern vergessen wird dabei der notwendige Reagenz, hier der Sauerstoff).Es ist merkwürdig, daß Clausius mit seiner ingenieursmäßig korrekten Beschreibung der Vorgänge in einer Dampfmaschine ein Maß für die Unfähigkeit zu arbeiten, Chaos und Negativität beschrieb und nicht etwa mit deren Inversion (nicht der hier beschriebenen, darin liegt das Rätsel) ein Maß für Ordnung und Potential. Nebenbei: da dT auch über unbegrenzt lange Zeitabschnitte null sein kann (und sein wird) nähert sich, wenn im Nenner, jegliche Entropie auch dort dem Unendlichen, und die in der Formel enthaltene Wärmemenge wird diesbezüglich irrelevant – oder etwa nicht?Seine thermodynamischen Gesetze haben sich (wenigstens im Bereich der Wärmelehre) als ehern erwiesen; aber im Bereich der Entropie gibt es m. E. noch einige fundamentale Widersprüche und Definitionen zu klären. Auch nach 150 Jahren. Nun denn.
Addendum: Um die Periode der bipolaren Schaukel herausfinden habe ich die HADCRUT 4.6 Zeitreihe von 1850- 2019 verwendet. Der mittlere jährliche Temperatur-Unterschied von Äquator-Zone (0..30°N) und Pol-Zone (30..90°N) der Nord-Halbkugel ist hier gezeigt. Die entsprechende Zeitreihe der Süd-Halbkugel ist hier zu sehen. Die Differenz der beiden Temperatur-Gradienten ist hier gezeigt. Die Periode der bipolaren Schaukel beträgt also momentan etwa 90 – 100 Jahre. Antrieb der Schaukel sind wohl Ozean-Strömungen.
Vielen Dank für die wertvolle Ergänzung!
Nicht nur, dass es keinerlei Erwärmung in der Antarktis gibt, die starke Erwärmung der Arktis spart noch dazu den Sommer aus. Das heißt wir sehen singulär eine enorme Erwärmung der Arktis im Winter, die in Frühling und Herbst ausstrahlt. Übrigens, die Ausdehnung des Arktischen Eises zeigt genau den gegenteiligen Trend. Da ist der stärkste Rückgang im Sommer zu finden, während es sich Winter relativ stabil haltet. Ich finde das wunderbar verzwickt!Ich glaube sehr wohl zu verstehen warum das so ist, mit herkömmlicher „Denke“ hingegen dürfte das schwierig werden.
Wertvoller Beitrag, der wichtige Aspekte behandelt: Einmal die sehr plausiblen Überlegungen zu der sich einstellenden Temperaturdifferenz zwischen Äquatorial- und Pol-Bereichen, maßgeblich bestimmt durch den ozeanischen Wärmetransport. Interessant, dass sich ein solches Gleichgewicht sehr gut mit der maximalen Entropieerzeugung beschreiben lässt. Dabei ebenfalls interessant zu lesen, wie weit diese Temperaturen ohne den ausgleichenden ozeanischen Einfluss auseinander liegen würden – zumindest, wenn man einfachen Klimamodellen (ohne ozeanischen Ausgleich) folgt. Und ebenso einleuchtend wird verdeutlicht, dass die schnellere Erwärmung der Arktis (im Vergleich zu den Äquatorialbereichen und insbesondere zur Antarktis) eigentlich nur durch ozeanische Oszillationen samt Klimaschaukel erklärt werden kann. Alles plausibel, aber erst dieser Artikel hat das „Aha-Erlebnis“ gebracht – danke dafür!
Herr Prof. Rahmstorf konstatiert also mit bierernster Miene, daß „wir die Kontrolle über das Klimasystem verlieren“! Wann zum Teufel haben wir diese Kontrolle je gehabt?Du lieber Himmel! Hören sich die Klimamodellierer und CO2-Verteufler wenigstens hin und wieder einmal selbst zu?Welch eine Hybris! Welch ein Größenwahn!Das MUSS einfach bestraft werden, selbst nach der Überzeugung eines Menschen wie mir, der nicht an Gott glaubt!
„Herr Prof. Rahmstorf konstatiert also mit bierernster Miene, daß „wir die Kontrolle über das Klimasystem verlieren“!
Das hat er tatsächlich wörtlich gesagt in diesem Interview https://bit.ly/2JsOX3f Desweiteren meinte er dort auch: „Das ist in Paris eigentlich alles klar beschlossen worden: Im Pariser Abkommen steht, die globale Erwärmung soll deutlich unter der zwei Grad Grenze gestoppt werden, möglichst sogar bei 1,5 Grad. Da waren sich alle Staaten einig. Selbst Saudi-Arabien und Russland und solche Länder, die an fossilen Brennstoffen verdienen, haben das verstanden. Das Pariser Abkommen muss jetzt nur einfach umgesetzt werden.“
Welch eine Hybris und Ignoranz der realen Verhältnisse!
Glückwunsch!!Endlich mal ein anderer Ansatz.Das könnte eine fruchtbare Diskussion werden.
Ungleiche Erwärmung der TROPO und entsprechende Abkühlung der STRATO in Süd-und NordHEMI schön auf „RMSS.COM“ zu sehen (ab 1980 bis dato) – liegt mMn an „meinen“ zuletzt 300 Mio.To./p.a. „EIS-Pulver“ der Fliegerei in 10 KM Höhe (im JET-Stream) – DEN und „Alles Andere“ schön auf „earth.nullschool.net“ zu studieren 😉
„‚das große Ganze betrachten'“ und „auf das Wesentliche … reduzieren“ …… ergibt wohl in mancher Hinsicht Sinn. Ich möchte für die obigen Erwägungen noch hinzufügen, dass die Temperaturbreite auf Erden jahreszeitlich zwischen über 50+ (Death Valley, CF) bis um 90- °C (Antarctika) schwanken kann. Wenn man nun diese Schwankungsbreite von ca. 140°C den Zielen sog. (tragischerweise vor allem deutscher) „Klimaschützer“ gegenüberstellt, die Temperatur in einem Erwärmungsbereich zwischen spekulativen 1,5-2°C mithilfe von internationalen Abkommen wie Paris 2015 regulieren zu wollen (Rahmstorf 2019: „Wir verlieren die Kontrolle über das Klimasystem.“), zeigt sich deutlich die Absurdität solcher Vorhaben. Entstehen kann ein solcher Irrsinn eigentlich nur in der ideologischen Sphäre einer Gesellschaft, die meint, keine realen Probleme mehr bewältigen zu müssen und am Schreibtisch mittels Computerprogrammen Weltenrettungsprogramme erstellen zu können, die keinerlei Praxistest bestehen – wie sich aber immer wieder zeigt, ist die Realität stärker und: „Die Suche nach der Wahrheit ist eine Bewegung des Widerstands gegen die herrschende Unordnung …“ (Eric Voegelin).
Bitte anderen Texteditor verwenden.
Warme? Pole und kalte Tropen – angetrieben durch die Sonne! Woher sonst? In den Tropen kurze Wege der Sonnenstrahlung durch die Atmosphäre aber durch einen hohen Anteil an Wasserdampf lässt die Tropen kühler sein als sie es ohne den Wasserdampf in der Atmosphäre wäre(siehe Temperaturen in der Wüste Sahara). An den Pole lange Wege der Sonnenstrahlung durch die Atmosphäre es kommt weniger Sonnenstrahlung an den Pole an als es ohne Atmosphäre wäre. Ob der Transport von Wärme aus den Tropen eben genau diese weniger Erwärmung ausgleicht, oder gar übertrumpft ? Gemessen hat es wohl noch keiner. Doch die Antarktis, welch ja nicht von „warmen“ Wasser unterspült ist ja kälter als die Arktis, sodass wenigstens ein Pol wärmer erscheint als er es ohne Unterspülung wäre.Also für das Zutreffen der Theorie des Berichtes sollte eine Symmetrie nicht angenommen werden!
„Ich erlaube mir, hierzu meine Meinung zu verkünden. Für mich liegt der Schlüssel in der Tatsache, dass es zwei Pole gibt.“Ich betrachte eine Platte. Die obere Seite wird beheizt. Sie strahlt einerseits nach oben, andererseits fließt Wärme von der Oberseite zur Unterseite. Die Unterseite strahlt ab, die Abstrahlung der Seitenwände wird vernachlässigt.Dann stellt sich die Temperatur von Ober- und Unterseite entsprechend der Wärmeleitung der Platte und der Emissivität von Ober- und Unterseite ein. Die obere Platte sei der Äquator von 0-30°N, die untere Seite die polare Zone 30-90°N. (Beide Zonen haben gleiche Flächen.) Aus ERSSTv5-,GHCNv4- und CERES-Daten (2000-2020) erhält man für die Äquator-Platte 26,2°C (2000) und für die Pol-Platte 5,0 °C. Die Temperatur-Differenz 2000 ist also 21,2°C. In 2020 beträgt die Temperatur-Differenz 20,3 °C, hat also etwa um 1°C abgenommen. Entsprechende Rechnung für die polare Zone 30-90°S zeigt: Temperatur-Differenz 2000 21,0 °C und 2020 21,5°C. Sie hat zugenommen. Die bipolare Schaukel ist also in Bewegung. Es wäre zu klären ob Änderungen der solaren Absorption oder Änderungen der Konvektionsströme (Atmosphäre,Ozean) die Schaukel antreiben.