Frühere Arbeiten zum PVHI waren meist theoretischer Natur oder basierten auf Modell-Simulationen. Außerdem waren frühere empirische Arbeiten auf ein einziges Biom beschränkt. Da es immer noch große Unsicherheiten in Bezug auf das Potenzial für einen PHVI-Effekt gibt, haben wir den PVHI empirisch mit Experimenten untersucht, die sich über drei Biome erstreckten. Wir fanden heraus, dass die Temperaturen über einer PV-Anlage nachts regelmäßig 3-4 °C höher lagen als in der freien Natur, was in direktem Gegensatz zu anderen Studien steht, die auf Modellen basieren, legten diese doch nahe, dass PV-Anlagen die Umgebungstemperatur senken sollten. Die Ableitung der zugrunde liegenden Ursache und des Ausmaßes des PVHI-Effekts sowie die Identifizierung von Abschwächungs-Strategien sind der Schlüssel zur Unterstützung der Entscheidungsfindung in Bezug auf die Entwicklung von PV-Anlagen, insbesondere in semiariden Landschaften, die am ehesten für großflächige PV-Anlagen in Frage kommen.
Die Stromerzeugung aus Photovoltaik (PV)-Großanlagen hat in den letzten Jahrzehnten exponentiell zugenommen1-3. Diese Zunahme der Portfolios an erneuerbaren Energien und PV-Kraftwerken zeigt, dass die Akzeptanz und Kosteneffizienz dieser Technologie gestiegen ist4,5. Parallel zu diesem Anstieg der Installationen hat auch die Bewertung der Auswirkungen von PV-Anlagen im Nutzungs-Maßstab4,6-8 zugenommen, einschließlich der Auswirkungen auf die Wirksamkeit von PV zum Ausgleich des Energiebedarfs9,10.
Ein zunehmendes, noch nicht ausreichend untersuchtes Problem ist die Frage, ob PV-Installationen einen „Wärmeinseleffekt“ (PVHI) verursachen, der die umliegenden Gebiete erwärmt und dadurch möglicherweise den Lebensraum von Wildtieren, die Funktion von Ökosystemen in der freien Natur sowie die menschliche Gesundheit und sogar den Wert von Häusern in Wohngebieten beeinflusst11. Wie beim Urban Heat Island (UHI)-Effekt verursachen große PV-Kraftwerke eine Landschaftsveränderung, die die Albedo reduziert, so dass die veränderte Landschaft dunkler und damit weniger reflektierend ist. Die Verringerung der terrestrischen Albedo von ~20% in natürlichen Wüsten12 auf ~5% über PV-Panels13 verändert die Energiebilanz der Absorption, Speicherung und Abgabe von kurz- und langwelliger Strahlung14,15. Mehrere Unterschiede zwischen den UHI- und potenziellen PVHI-Effekten erschweren jedoch einen einfachen Vergleich und führen zu konkurrierenden Hypothesen darüber, ob großflächige PV-Installationen einen Wärmeinseleffekt erzeugen oder nicht. Diese beinhalten: (i) PV-Installationen beschatten einen Teil des Bodens und könnten daher die Wärmeabsorption in den Oberflächenböden reduzieren16, (ii) PV-Paneele sind dünn und haben eine geringe Wärmekapazität pro Flächeneinheit, aber PV-Module strahlen sowohl nach oben als auch nach unten Wärmestrahlung ab, und dies ist besonders während des Tages von Bedeutung, wenn PV-Module oft 20 °C wärmer sind als die Umgebungstemperatur, (iii) die Vegetation wird in der Regel vor [der Installation von] PV-Kraftwerken entfernt, was die Menge an Kühlung durch Transpiration verringert14, (iv) elektrischer Strom entzieht PV-Kraftwerken Energie und (v) PV-Paneele reflektieren und absorbieren aufsteigende langwellige Strahlung und können somit verhindern, dass der Boden so stark abkühlt, wie es unter einem dunklen Himmel in der Nacht der Fall wäre.

Abbildung 1: Illustration des mittäglichen Energieaustauschs. Unter der Annahme, dass die eintreffende Energie von der Sonne gleich hoch ist, wird der Übergang von (A) einem bewachsenen Ökosystem zu (B) einer Photovoltaik (PV)-Kraftwerksanlage die Energieflussdynamik des Gebiets erheblich verändern. In natürlichen Ökosystemen reduziert die Vegetation die Wärmeaufnahme und -speicherung im Boden (orangefarbene Pfeile), und infiltriertes Wasser und die Vegetation geben wärmeabgebende latente Energieströme beim Übergang von Wasser zu Wasserdampf in die Atmosphäre durch Evapotranspiration ab (blaue Pfeile). Diese latenten Wärmeströme werden in typischen PV-Anlagen drastisch reduziert, was zu größeren fühlbaren Wärmeströmen führt (rote Pfeile). Die Energierückstrahlung von PV-Paneelen (brauner Pfeil) und die in Elektrizität umgewandelte Energie (violetter Pfeil) sind ebenfalls dargestellt.
Öffentliche Bedenken über einen PVHI-Effekt haben in einigen Fällen zu Widerstand gegen die Entwicklung von Solaranlagen in großem Maßstab geführt. Einigen Schätzungen zufolge wurde fast die Hälfte der kürzlich vorgeschlagenen Energieprojekte aufgrund des lokalen Widerstands verzögert oder aufgegeben11. Es gibt jedoch einen bemerkenswerten Mangel an Daten darüber, ob der PVHI-Effekt real ist oder nur ein Problem im Zusammenhang mit der Wahrnehmung von Umweltveränderungen durch die Anlagen, die zu einem „Nicht in meinem Hinterhof“-Denken (Not In My BackYard; NIMBY) führen. Einige Modelle deuten darauf hin, dass PV-Anlagen tatsächlich einen kühlenden Effekt auf die lokale Umgebung haben können, abhängig von der Effizienz und der Platzierung der PV-Paneele17,18. Aber diese Studien sind in ihrer Anwendbarkeit bei der Bewertung von PV-Großanlagen begrenzt, da sie Änderungen der Albedo und des Energieaustauschs in einer städtischen Umgebung (und nicht in einem natürlichen Ökosystem) oder an europäischen Standorten berücksichtigen, die nicht repräsentativ für die semiaride Energiedynamik sind, in der PV-Großanlagen konzentriert sind10,19. Die meisten bisherigen Forschungen beruhen also auf ungeprüften Theorien und numerischer Modellierung. Daher muss das Potenzial für einen PHVI-Effekt mit empirischen Daten untersucht werden, die durch strenge experimentelle Bedingungen gewonnen werden.
Die Bedeutung eines PVHI-Effekts hängt von der Energiebilanz ab. Eingehende Sonnenenergie wird normalerweise entweder zurück in die Atmosphäre reflektiert oder absorbiert, gespeichert und später in Form von latenter oder fühlbarer Wärme wieder abgestrahlt (Abb. 1)20,21. In natürlichen Ökosystemen reduziert die Vegetation den Wärmegewinn und die Wärmespeicherung im Boden, indem sie eine Oberflächenbeschattung erzeugt, wobei der Grad der Beschattung je nach Pflanzenart unterschiedlich ist22. Die von der Vegetation und der Bodenoberfläche absorbierte Energie kann als latente Wärme beim Übergang von flüssigem Wasser zu Wasserdampf durch Evapotranspiration – dem kombinierten Wasserverlust aus Böden (Verdunstung) und Vegetation (Transpiration) – an die Atmosphäre abgegeben werden. Dieser Wärme abgebende latente Energieaustausch ist in einer typischen PV-Anlage drastisch reduziert (Abb. 1 Übergang von A nach B), was möglicherweise zu einer größeren Wärmeabsorption durch Böden in PV-Anlagen führt. Diese erhöhte Absorption wiederum könnte die Bodentemperaturen erhöhen und zu einem größeren fühlbaren Wärmeabfluss aus dem Boden in Form von Strahlung und Konvektion führen. Darüber hinaus absorbieren die Oberflächen von PV-Modulen aufgrund einer geringeren Albedo mehr Sonneneinstrahlung13,23,24. PV-Paneele strahlen den größten Teil dieser Energie als langwellige fühlbare Wärme wieder ab und wandeln einen geringeren Teil (~20 %) dieser Energie in nutzbare Elektrizität um. PV-Paneele lassen auch etwas Lichtenergie durch, was wiederum in unbegrünten Böden zu einer größeren Wärmeabsorption führt. Diese erhöhte Absorption könnte zu einem größeren fühlbaren Wärmeabfluss aus dem Boden führen, der unter den PV-Paneelen eingeschlossen werden kann. Ein PVHI-Effekt wäre das Ergebnis eines nachweisbaren Anstiegs des fühlbaren Wärmestroms (atmosphärische Erwärmung), der sich aus einer Veränderung des Gleichgewichts der ein- und ausgehenden Energieströme aufgrund der Landschaftsumwandlung ergibt. Die Entwicklung eines vollständigen thermischen Modells ist eine Herausforderung17,18,25, und es gibt große Unsicherheiten in Bezug auf mehrere Terme, einschließlich Variationen der Albedo, der Wolkenbedeckung, der Saisonalität der Advektion und der Effizienz der Paneele, die selbst dynamisch ist und von der lokalen Umgebung beeinflusst wird. Diese Unsicherheiten werden durch den Mangel an empirischen Daten noch verstärkt.
Wir haben uns mit dem Mangel an direkter Quantifizierung eines PVHI-Effekts befasst, indem wir gleichzeitig drei Standorte überwacht haben, die ein natürliches Wüstenökosystem, die traditionelle bebaute Umgebung (Parkplatz umgeben von Geschäftsgebäuden) und ein PV-Kraftwerk repräsentieren. Wir definieren einen PVHI-Effekt als den Unterschied in der Umgebungstemperatur zwischen dem PV-Kraftwerk und der Wüstenlandschaft. In ähnlicher Weise wird UHI als der Temperaturunterschied zwischen der bebauten Umgebung und der Wüste definiert. Wir reduzierten störende Effekte der Variabilität der lokal einfallenden Energie, der Temperatur und des Niederschlags, indem wir Standorte verwendeten, die innerhalb eines Gebiets von 1 km lagen.
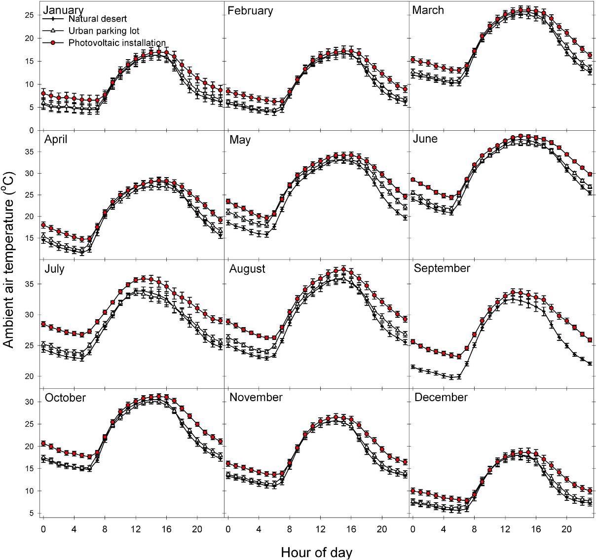
An jedem Standort überwachten wir die Lufttemperatur kontinuierlich über ein Jahr lang mit aspirierten Temperatursonden 2,5 m über der Bodenoberfläche. Die durchschnittliche Jahrestemperatur betrug 22,7 ±0,5 °C in der PV-Anlage, während sie im nahegelegenen Wüstenökosystem nur 20,3 ±0,5 °C betrug, was auf einen PVHI-Effekt hinweist. Die Temperaturunterschiede zwischen den Gebieten variierten signifikant in Abhängigkeit von der Tageszeit und dem Monat des Jahres (Abb. 2), aber die PV-Anlage hatte immer eine höhere oder gleiche Temperatur als die anderen Standorte. Wie beim UHI-Effekt in Trockengebieten verzögerte der PVHI-Effekt die Abkühlung der Umgebungstemperaturen am Abend, was den signifikantesten Unterschied bei den Nachttemperaturen über alle Jahreszeiten hinweg ergab. Die jährlichen durchschnittlichen Mitternachtstemperaturen betrugen in der PV-Anlage 19,3 ±0,6 °C, während es im nahegelegenen Wüstenökosystem nur 15,8 ±0,6 °C waren. Dieser PVHI-Effekt war in Bezug auf die tatsächlichen Erwärmungsgrade (+3,5 °C) in den warmen Monaten (Frühling und Sommer; Abb. 3, rechts) deutlicher.

Abbildung 2. Die durchschnittlichen monatlichen Umgebungstemperaturen während eines 24-Stunden-Zeitraums liefern den Beweis für den Effekt einer photovoltaischen Wärmeinsel (PVHI).
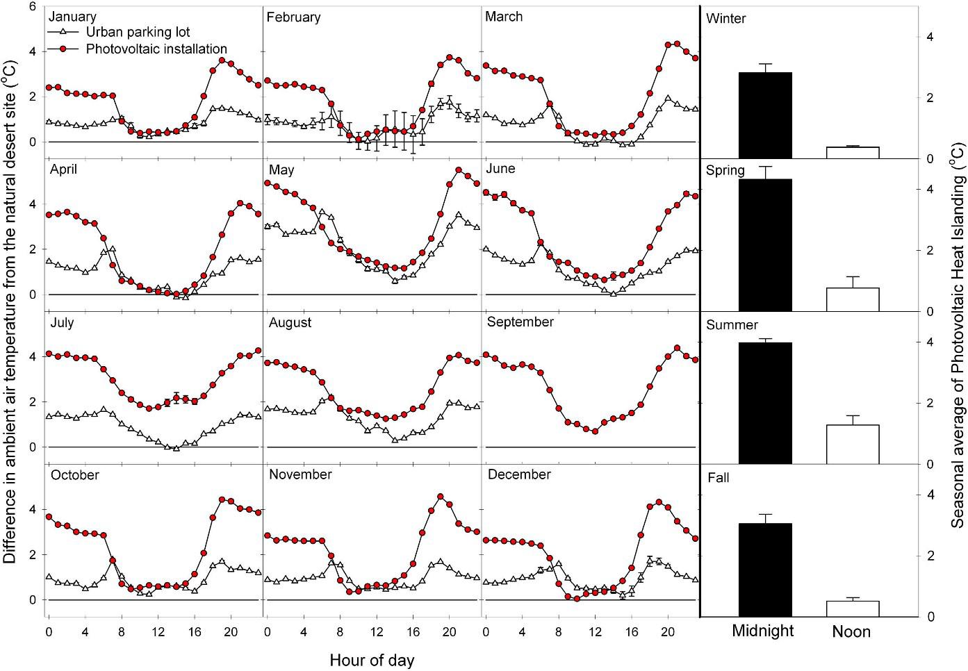
Sowohl in PVHI- als auch in UHI-Szenarien absorbiert die größere Menge an exponierten Bodenflächen im Vergleich zu natürlichen Systemen einen größeren Anteil der energiereichen, kurzwelligen Sonnenstrahlung während des Tages. In Kombination mit minimalen Raten wärmeableitender Transpiration der Vegetation wird eine proportional höhere Menge an gespeicherter Energie als langwellige Strahlung während der Nacht in Form von fühlbarer Wärme abgestrahlt (Abb. 1)15. Da PV-Installationen eine Beschattung mit einem Material einführen, das selbst nicht viel einfallende Strahlung speichern sollte, könnte man annehmen, dass die Auswirkung eines PVHI-Effekts geringer sein würde als die eines UHI. Hier haben wir festgestellt, dass der Unterschied in der abendlichen Umgebungstemperatur zwischen der PV-Anlage und dem Wüstenstandort durchweg größer war als zwischen dem Parkplatz (UHI) und dem Wüstenstandort (Abb. 3). Der PVHI-Effekt führte dazu, dass die Umgebungstemperatur abends regelmäßig annähernd oder mehr als 4 °C höher lag als in der natürlichen Wüste, was im Wesentlichen eine Verdoppelung des hier gemessenen Temperaturanstiegs aufgrund von UHI bedeutet. Diese stärkere Erwärmung unter dem PVHI als unter dem UHI könnte auf den Wärmeeinschluss des zurückgestrahlten fühlbaren Wärmestroms unter den PV-Anlagen in der Nacht zurückzuführen sein. Tagsüber waren die Unterschiede zum natürlichen Ökosystem zwischen der PV-Anlage und den städtischen Parkplätzen ähnlich, mit Ausnahme der Frühlings- und Sommermonate, in denen der PVHI-Effekt tagsüber deutlich größer war als der UHI. Während dieser warmen Jahreszeiten betrugen die durchschnittlichen Mitternachtstemperaturen 25,5 +0,5 °C in der PV-Anlage und 23,2 +0,5 °C auf dem Parkplatz, während das nahe gelegene Wüstenökosystem nur 21,4 ±0,5 °C aufwies.
Die hier vorgestellten Ergebnisse zeigen, dass der PVHI-Effekt real ist und die Temperaturen über PV-Kraftwerksanlagen im Vergleich zu nahegelegenen Wildlandschaften deutlich erhöhen kann. Detailliertere Messungen der zugrundeliegenden Ursachen des PVHI-Effekts, möglicher Minderungsstrategien und des relativen Einflusses von PVHI im Zusammenhang mit den inhärenten Kohlenstoffkompensationen aus der Nutzung dieser erneuerbaren Energie sind erforderlich. Daher werfen wir mehrere neue Fragen auf und weisen auf kritische Unbekannte hin, die zukünftige Forschung erfordern.

Abbildung 3. Links: Durchschnittliche monatliche Werte der photovoltaischen Wärmeinsel (Umgebungstemperaturdifferenz zwischen PV-Anlage und Wüste) und der städtischen Wärmeinsel (Umgebungstemperaturdifferenz zwischen dem städtischen Parkplatz und der Wüste). Rechts: Durchschnittliche Nacht- und Tagestemperaturen für vier saisonale Zeiträume, die einen signifikanten PVHI-Effekt über alle Jahreszeiten hinweg zeigen, wobei der größte Einfluss auf die Umgebungstemperaturen in der Nacht besteht.
Welche physikalische Grundlage haben Landschafts-Veränderungen, die einen PVHI-Effekt verursachen könnten?
Wir stellen die Hypothese auf, dass der PVHI-Effekt aus dem effektiven Übergang resultiert, wie sich Energie in und aus einer PV-Anlage im Vergleich zu einem natürlichen Ökosystem bewegt. Die Messung der einzelnen Komponenten eines Energiefluss-Modells bleibt jedoch eine notwendige Aufgabe. Diese Messungen sind schwierig und teuer, aber dennoch unerlässlich, um den relativen Einfluss mehrerer potenzieller Treiber des hier gefundenen PVHI-Effekts zu identifizieren. Die Umweltbedingungen, die die Muster der Kohlenstoff-, Energie- und Wasserdynamik im Ökosystem bestimmen, werden durch die Art und Weise angetrieben, in der die eintreffende Energie reflektiert oder absorbiert wird. Da uns grundlegende Kenntnisse über die Veränderungen der Oberflächenenergieflüsse und des Mikroklimas von Ökosystemen fehlen, die diese Landnutzungsänderung durchlaufen, können wir die Auswirkungen auf den Kohlenstoff- oder Wasserkreislauf kaum vorhersagen4,8.
Welche physikalischen Implikationen hat ein PVHI, und wie variiert dieser von Region zu Region?
Die Größe eines UHI wird durch Eigenschaften der Stadt bestimmt, einschließlich der Gesamtbevölkerung26-28, der räumlichen Ausdehnung und der geografischen Lage dieser Stadt29-31. In ähnlicher Weise sollten wir die räumliche Ausdehnung und die geografische Lage einer PV-Anlage berücksichtigen, wenn wir das Vorhandensein und die Bedeutung des PVHI-Effekts betrachten. Die Fernerkundung könnte mit bodengestützten Messungen gekoppelt werden, um die laterale und vertikale Ausdehnung des PVHI-Effekts zu bestimmen. Wir könnten dann feststellen, ob die Größe des PVHI-Effekts mit irgendeinem Maß des Kraftwerks skaliert (z. B. mit der Paneeldichte oder dem räumlichen Fußabdruck) und ob ein PVHI-Effekt umliegende Gebiete wie Wildnis und Nachbarschaft erreicht oder nicht. In Anbetracht der Tatsache, dass verschiedene Regionen rund um den Globus jeweils unterschiedliche Hintergrundniveaus der vegetativen Bodenbedeckung und thermodynamische Muster des latenten und sensiblen Wärmeaustauschs aufweisen, ist es möglich, dass ein Übergang von einer natürlichen Wildnis zu einem typischen PV-Kraftwerk andere Ergebnisse als die hier dargestellten zeigt. Der Mangel an Daten über die physikalischen Auswirkungen dieser wichtigen und zunehmenden Landnutzungs- und Landbedeckungs-Änderung rechtfertigt weitere Studien an repräsentativen Ökosystemen.
Welche Auswirkungen hat ein PVHI auf die Menschen, und wie können wir diese Auswirkungen abschwächen?
Mit der wachsenden Popularität der erneuerbaren Energieerzeugung werden die Grenzen zwischen Wohngebieten und größeren PV-Anlagen immer kleiner. Tatsächlich führt die größere Nähe zu Wohngebieten zu verstärkten Forderungen nach Zoneneinteilung und Stadtplanungsvorschriften für größere PV-Anlagen32,33 sowie zu PVHI-basierten Bedenken über potenzielle Reduzierungen des Immobilienwerts oder gesundheitliche Probleme im Zusammenhang mit dem menschlichen Wärmekomfort (HTC)34. Die Abschwächung eines PVHI-Effekts durch gezielte Begrünung könnte Synergieeffekte haben, indem sie die mit der Entwicklung eines PV-Standorts im Versorgungsmaßstab verbundene Verschlechterung des Ökosystems abschwächt und die mit einem Gebiet verbundenen kollektiven Ökosystemleistungen erhöht4. Aber was sind die besten Ausgleichsmaßnahmen? Welche Kompromisse gibt es in Bezug auf die verschiedenen Möglichkeiten der Begrünung von degradierten PV-Anlagen? Können andere Albedo-Modifikationen verwendet werden, um die Schwere des PVHI zu mildern?

Abbildung 4. Experimentelle Standorte. Die Überwachung eines (1) natürlichen semiariden Wüstenökosystems, (2) einer Solaranlage (PV) und (3) eines „städtischen“ Parkplatzes – der typischen Quelle städtischer Wärmeinseleffekte – innerhalb eines 1 km² großen Gebiets ermöglichte eine relative Kontrolle der einfallenden Solarenergie, so dass wir die Variation der lokalen Temperatur dieser drei Umgebungen über einen Zeitraum von einem Jahr quantifizieren konnten. Das Google Earth-Bild zeigt die Solarzone des Wissenschafts- und Technologieparks der University of Arizona.
Um diese Ergebnisse im Hinblick auf die globale Erwärmung vollständig in einen Zusammenhang zu stellen, muss man die relative Bedeutung der (global gemittelten) Abnahme der Albedo aufgrund von PV-Kraftwerken und der damit verbundenen Erwärmung durch die PVHI gegen die mit PV-Kraftwerken verbundenen Kohlendioxid-Emissionsreduktionen abwägen. Die hier vorgestellten Daten stellen die erste experimentelle und empirische Untersuchung des Vorhandenseins eines Wärmeinseleffekts in Verbindung mit PV-Kraftwerken dar. Ein integrierter Ansatz für die physikalischen und sozialen Dimensionen der PVHI ist der Schlüssel zur Unterstützung der Entscheidungsfindung bezüglich der PV-Entwicklung.
Es folgen genaue Beschreibungen der angewendeten Verfahren, der untersuchten Pflanzen und der Methoden der statistischen Auswertung. Diese werden hier nicht mit übersetzt. Danach folgt eine lange Liste mit Querverweisen, die hier ebenfalls nicht mit aufgeführt ist. Sie sind im DOC-Dokument einsehbar.
Link: https://www.nature.com/articles/srep35070
Übersetzt von Chris Frey EIKE
doc















Wir freuen uns über Ihren Kommentar, bitten aber folgende Regeln zu beachten:
- Bitte geben Sie Ihren Namen an (Benutzerprofil) - Kommentare "von anonym" werden gelöscht.
- Vermeiden Sie Allgemeinplätze, Beleidigungen oder Fäkal- Sprache, es sei denn, dass sie in einem notwendigen Zitat enthalten oder für die Anmerkung wichtig sind. Vermeiden Sie Schmähreden, andauernde Wiederholungen und jede Form von Mißachtung von Gegnern. Auch lange Präsentationen von Amateur-Theorien bitten wir zu vermeiden.
- Bleiben Sie beim Thema des zu kommentierenden Beitrags. Gehen Sie in Diskussionen mit Bloggern anderer Meinung auf deren Argumente ein und weichen Sie nicht durch Eröffnen laufend neuer Themen aus. Beschränken Sie sich auf eine zumutbare Anzahl von Kommentaren pro Zeit. Versuchte Majorisierung unseres Kommentarblogs, wie z.B. durch extrem häufiges Posten, permanente Wiederholungen etc. (Forentrolle) wird von uns mit Sperren beantwortet.
- Sie können anderer Meinung sein, aber vermeiden Sie persönliche Angriffe.
- Drohungen werden ernst genommen und ggf. an die Strafverfolgungsbehörden weitergegeben.
- Spam und Werbung sind im Kommentarbereich nicht erlaubt.
Diese Richtlinien sind sehr allgemein und können nicht jede mögliche Situation abdecken. Nehmen Sie deshalb bitte nicht an, dass das EIKE Management mit Ihnen übereinstimmt oder sonst Ihre Anmerkungen gutheißt. Wir behalten uns jederzeit das Recht vor, Anmerkungen zu filtern oder zu löschen oder zu bestreiten und dies ganz allein nach unserem Gutdünken. Wenn Sie finden, dass Ihre Anmerkung unpassend gefiltert wurde, schicken Sie uns bitte eine Mail über "Über Uns->Kontakt"Nachdem mich nochmals mehr „umgesehen“ bin ich entsetzt, wie „hier“ Wissens-Schaffer auf Kosten der Allgemeinheit „wissenschaftlich verbrämten Schabernack“ mit uns allen treiben, –um selbst mittels „Schlaumeiern ohne Substanz“ ein „erfülltes Leben“ hinbekommen zu können:
6 Wissenschaftler untersuchten „3 Biome“
mit erheblichem Aufwand vor Ort
unter Einbeziehung von zig „Vor-arbeiten“ anderer Wissenschaftler
um dann –nach viel Diagrammen und wissenschaftlichen Feststellungen—
ABER OHNE in der Praxis / für die Praxis nützliche „Hinweise — fest-zu-stellen— Ich zitiere:
„Daher werden sich mehrere neue Fragen auf
und weisen auf kritische Unbekannte hin
!!! die zukünftige Forschungen erfordern !!!
Liebes Eike-Team,
sollte wissenschaftlich Seriosität, wahrheit, Klarheit
tatsächlich Ihr Anliegen sein ……………..
So wäre es meiner Meinung nach nicht nur angebracht !!!sondern dringendst erforderlich!!
DIESEN „wissenschaftlichen“ Artikel nochmals zu veröffentlichen
UND „angemessen zu kommentieren“ !!!
Marmaris, den 21.7.24
– mit freundliche Grüssen-
Wolfgang Gerlach
Hier stolpern mal wieder-
wie oft von ihrem beschränkten Sonderwissen beglückt-
Wissenschaftler „abgehoben“ über die eigenen Füsse:
Denn:
Wieviel Wärme „abgegeben“ wird
kann nur dann seriös festgestellt werden,
wenn nicht nur Temperatur-en, Strahlung-en usw verglichen werden,
sondern auch die unterschiedlichen StrömungsGeschwindigkeiten der „regionalen“ LuftMassen.
„In meinen aktiven Zeiten“ (bin mittlerweile 80+)
holte ich öfters mal „in direktem Austausch“ -teils arrogant abgehobene- Akademiker – auch Professoren- auf den Boden zurück !
Marmaris, den 21.7.24
Wolfgang Gerlach, (FachArbeiter, Meister, Ingenieur)
[…] Landtag machte am Donnerstag den Weg für einen „neuen Kurs“ frei, berichtet der WDR kritikfrei darüber, dass Solarparks künftig auch auf normalen Acker- und Wiesenflächen […]
Die Beschreibungen des Autors sind eine Bestätigung unserer Artikel. Wobei wir zwischen Wärmeinseleffekt und Stadt/Land-Effekt (UHI) unterscheiden. Dazu ein Beispiel: Das Flächenmittel für diesen Monat März 2021 war in der Stadtfläche Berlins um 0,6 C höher als für das weniger dicht besiedelte Brandenburg. Der UHI Berlin zu Brandenburg betrug also 0,6 C für den Monat März. Beim Wärmeinseleffekt wird die jeweilige Station/Stadt mit sich selbst und mit früher verglichen. Allgemein läßt sich sagen: Dass dieser WI-effekt in den Städten zunehmend ausgereizt ist, während er in Gemeinden und ländlichen Gebieten weiterhin zunimmt. Einer der Gründe für die WI-Zunahme ist im Artikel gut beschrieben. Die Freiflächensolaranlagen. Weitere Gründe sind die Zunahme der Windräder, die Ausdehnung der Industrie- und Gewerbegebiete in einst freie Naturflächen hinein, der Straßenbau, die permanente weitere Landschaftstrockenlegung, die industrielle Land- und inzwischen auch Forstwirtschaft.
wichtig an dieser sehr aufschlussreichen, vorbildlichen Arbeit sind folgende Aspekte:Es handelt sich um eine Untersuchung in Arizona (arides Klima); es könnte gar sein, dass unter den Klima- und Vegetationsbedingungen Mitteleuropas noch größere WI-Effekte auftreten (weil hier viel mehr Vegetation entfernt oder unterdrückt wird – leider fehlt es da hier an Studien und Messungen, was angesichts der tausenden Studien über einen angeblichen „CO2-Klimawandel“ sehr befremdlich ist).Es geht um „Solarparks“ in der freien Landschaft. Solarpaneele auf Hausdächern, die sich eh bei starker Besonnung aufheizen, sind vermutlich nicht klimaschädlich – das Problem der geringen Energiedichte und der Unzuverlässigkeit der Solarenergie im wechselhaften Klima Mitteleuropas beseitigen sie allerdings auch nicht.
Was ist das für eine bescheuerte Buchstabenauswahl?Und desweiteren: Die Gesamtenergieerzeugung Brutto und Netto ist wie groß?Insgesamt: Das Lesen ist schon wegen der Buchstaben unzumutbar. Die angeblichen „Klimaschutzberichterstatter“ werden komplett unzumutbarer.
Es gibt nur zwei mögliche Ursachen für Temperaturveränderungen. Entweder die Intensität der extern von der Sonne gelieferte Energie schwankt oder die Albedo der Erde verändert sich. Zweiteres hat zur Folge, daß sich das Verhältnis von absorbierter zu reflektierter Strahlung verändert, was bei dünkler werdender Oberfläche eine Erhöhung der Absorption und damit eine Erwärmung zur Folge hat. Fast alles, was der Mensch errichtet, erhöht die Absorption, was den sog. Wärmeinseleffekt bewirkt, und der wirkt permanent und auf der ganzen Erde temperaturbeeinflussend. Umgekehrt senken Wolken die Absorption, wirken also bezüglich der von außen eintreffende Energie kühlend. Man sieht, CO2 kommt in der Aufzählung nicht vor! Bevor die genannten Effekte nicht zu 100% verstanden und auch modellierbar sind, ist alles, was uns unsere „Klimatologieclowns“ auftischen, nichts anderes als pures Kaffeesudlesen! Fazit: unsere Politiker fühlen sich u. a. auch durch FfF-Hüpfer bedrängt verpflichtet, den Kaffeesudlesern Macht zuzubilligen und deren Zirkusmanipulationen zu gehorchen. So funktioniert die Welt eben, da soll noch jemand was von Aufklärung daherplappern …
Ach ja, die Evapotranspiration. Wenn es dadurch bei den Solarplantagen wärmer wird, muss es ja mangels verfrachteter latenter Wärme anderswo kälter werden. Im Gegensatz zum städtischen Wärmeinseleffekt. Dieser Effekt ist bei der Beregnung von Ackerland in den semiariden Zonen wesentlich stärker. Dort, wo wenig Thermometer stehen, wird es kälter und eben durch die transportierte latente Wärme anderswo entsprechend wärmer. ZB bei uns oder in der Arktis. Es handelt sich dabei immerhin um 2.700 Kubikkilometer – Gigatonnen Wasser jährlich.