Linnea Lueken
In einem kürzlich im Guardian erschienenen Artikel mit dem Titel „Jetzt den Kurs ändern: Die Menschheit hat das 1,5-Grad-Klimaziel verfehlt, sagt UN-Chef“ wird behauptet, dass der Planet in großer Gefahr ist, klimatische „Kipppunkte“ zu überschreiten, da eine Erwärmung um 1,5 °C nun unvermeidlich ist. Auch wenn eine Erwärmung um 1,5 °C bereits feststeht, wenn nicht sogar schon überschritten, ist die Behauptung falsch, dass dies einen gefährlichen Meilenstein darstellt. Nicht nur ist die Erzählung von den Kipppunkten Unsinn, es gibt auch keine Beweise dafür, dass eine Erwärmung um 1,5 °C eine besondere Bedrohung darstellt. Der angebliche Temperatur-Grenzwert wurde willkürlich und aus politischen statt aus wissenschaftlichen Gründen gewählt.
Der Artikel in The Guardian konzentriert sich auf Äußerungen des Generalsekretärs der Vereinten Nationen António Guterres, der im Vorfeld des COP30-Klimagipfels in Brasilien warnte, dass eine Erwärmung um 1,5 °C „unvermeidlich” sei und „verheerende Folgen” für den Planeten haben werde. Laut The Guardian forderte Guterres „die Staats- und Regierungschefs, die sich in der brasilianischen Regenwaldstadt Belém versammeln werden auf, sich bewusst zu machen, dass je länger sie die Emissionsreduzierung hinauszögern, desto größer die Gefahr ist, dass katastrophale „Kipppunkte im Amazonasgebiet, in der Arktis und in den Ozeanen überschritten werden“.
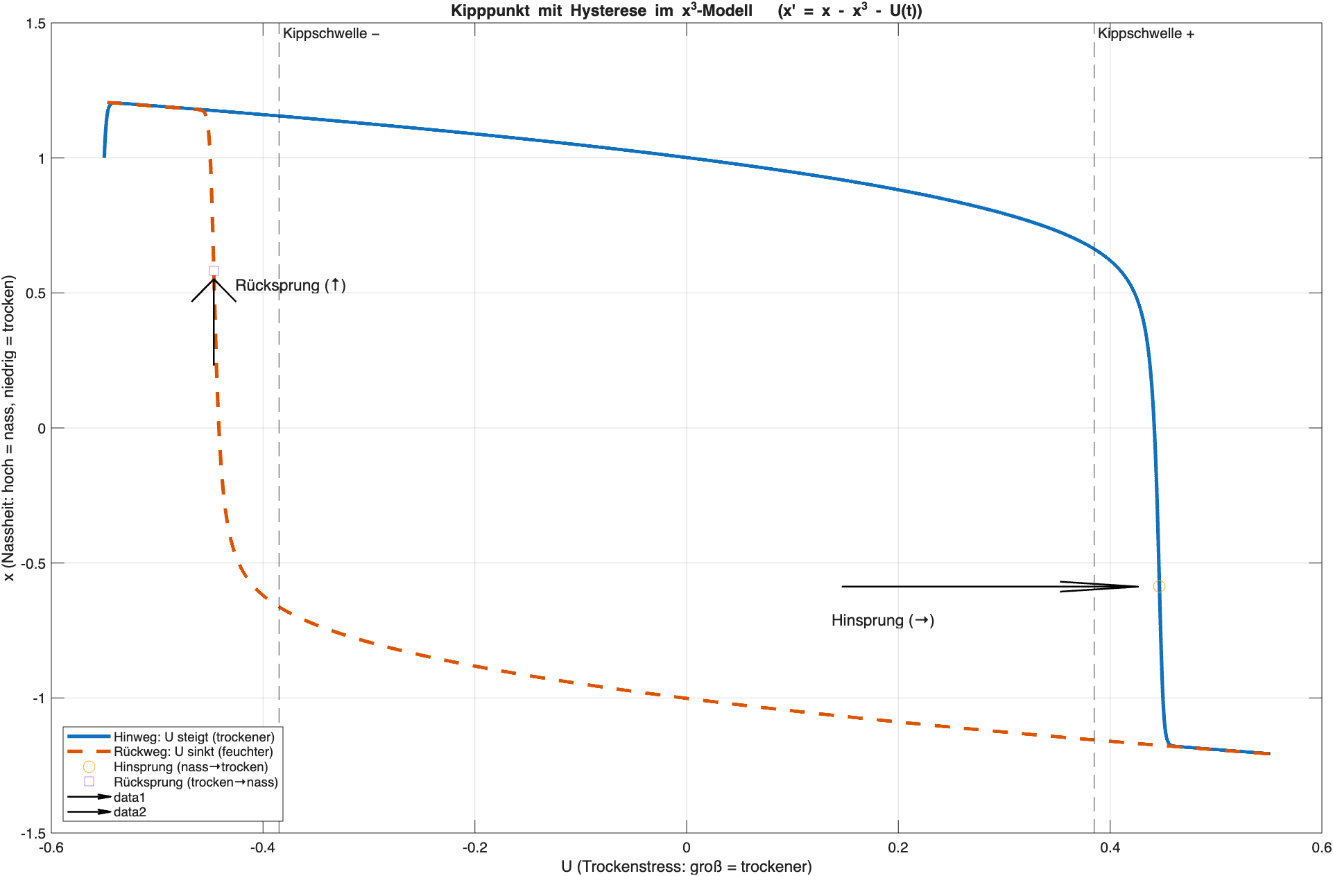
Es gibt keine wissenschaftliche Grundlage für sogenannte Kipppunkte, und etwas anderes zu behaupten, ist reine Panikmache aus politischen Gründen.
Ausgehend vom Amazonas-Regenwald, dem Ort des nächsten Klimagipfels im November, warnte Guterres Berichten zufolge, dass dieser zu einer „Savanne“ oder einem trockenen Grasland werden könnte. Es gibt jedoch keinerlei Belege für diese absurde Behauptung. Wie Guterres‘ frühere Äußerung über „kochende Ozeane“ handelt es sich um eine reine Phantasterei, die jeder faktischen Grundlage entbehrt. Guterres bezieht sich auf eine Dürreperiode, unter der Teile des Amazonasbeckens in den letzten Jahren gelitten haben, aber diese Dürre war historisch gesehen nicht ungewöhnlich, und die jüngsten lokalen Dürregebiete waren nicht schwerwiegender als frühere Dürreperioden. Wie im Beitrag „Media Outlets Continue Spreading False Amazon ‚Record Drought‘ Claims“ [etwa: Medien verbreiten weiterhin falsche Behauptungen über eine ‚Rekorddürre‘ im Amazonasgebiet] von Climate Realism erläutert, hat der Amazonas in der Vergangenheit Perioden mit starken Regenfällen und anhaltender Dürre erlebt, die schlimmer waren als die, die wir derzeit erleben. Historische Aufzeichnungen zeigen keine Verschärfung der Dürre im Amazonasgebiet. Die Bedrohung für den Baumbestand geht von Abholzung und Kahlschlag aus, nicht vom Klimawandel.
Auch die Arktis nähert sich keinem gefährlichen Kipppunkt. Sollte sich die Erwärmung fortsetzen, wird die Eisausdehnung wahrscheinlich schrumpfen, aber dies geschieht bei weitem nicht so schnell, wie Alarmisten behaupten. Die Ausdehnung des arktischen Meereises ist seit etwa 2010 stabil, was auf ein neues Eisausdehnungsregime hindeutet, und es ist nicht abzusehen, wie lange dies anhalten wird. Wenn man sich an der Vergangenheit orientiert, könnte das Meereis wieder zu wachsen beginnen, so wie es in der Vergangenheit immer wieder zu- und abgenommen hat.
Schließlich ist der von Guterres angesprochene Kipppunkt der Ozeane die Behauptung, dass Korallenriffe aufgrund von Veränderungen des pH-Werts und höheren Temperaturen im Meer aussterben werden. Aber auch hier zeigen Wissenschaft und Paläo-Geschichte, dass Korallen gegenüber Veränderungen widerstandsfähig sind, die weitaus extremer sind als die moderate Erwärmung der letzten Jahrzehnte. Wie bereits mehrfach bei Climate Realism diskutiert, besteht keine Gefahr, dass die Weltmeere versauern – Korallenriffe breiten sich aus und erzielen Rekord-Wachstumsraten.
Es stimmt, dass die „1,5 °C-Schwelle“ wahrscheinlich überschritten wird. Das bedeutet jedoch nichts, schon gar nichts Katastrophales. Die 1,5 °C-Erwärmungsgrenze wurde aufgrund des El-Niño-Phänomens bereits 2024 überschritten – ohne dass es zu einer Katastrophe gekommen wäre. Das sollte niemanden beunruhigen, da diese Grenze kein wissenschaftlich fundierter Wert ist. The Guardian hat in der Vergangenheit Panikmache betrieben, worauf Climate Realism hier eingegangen ist, und scheint nichts daraus gelernt zu haben. Die Zahl von 1,5 °C war willkürlich und wurde von einem 11-köpfigen deutschen politischen Beirat festgelegt, dem nur ein Meteorologe angehörte. Es handelt sich nicht um einen festen wissenschaftlichen Grenzwert wie beispielsweise der Siedepunkt von Wasser, auch wenn Alarmisten ihn unangemessenerweise so behandeln.
Die Äußerungen von Guterres basieren weder auf wissenschaftlichen Erkenntnissen noch auf Daten oder gar historischen Fakten. Er versucht lediglich, mit Unterstützung von The Guardian die Öffentlichkeit zu beunruhigen, um sich politischen Einfluss für die Verhandlungen auf der COP 30 zu verschaffen, obwohl immer mehr Länder die Klimaproblematik herunterzuspielen versuchen, da sie realistisch einschätzen, dass andere Themen dringlicher sind und fossile Brennstoffe vorerst weiterhin unverzichtbar für den Wohlstand sind.
Linnea Lueken is a Research Fellow with the Arthur B. Robinson Center on Climate and Environmental Policy.
Übersetzt von Christian Freuer für das EIKE
















Warum konfrontiert man die Kippfetischisten nicht einfach immer mit der Frage, wie das Klima wieder zum heutigen Zustand „zurückkippen“ konnte, nachdem sich die Temperaturen nachweislich während des Großteils der gesamten Erdgeschichte auf deutlich höherem Niveau befunden haben, als dem derzeit vorherrschenden. Sogar BEIDE Pole waren die meiste Zeit vollkommen eisfrei! Diese Frage sollte man den Kipplingern JEDESMAL um die Ohren hauen, sobald sie den Mund aufmachen!
Die PIKler-Kippler heulen gerade im Duett weil beim Happening niemand mitkippeln wollte. 😀
https://www.pik-potsdam.de/en/news/latest-news/pik-assessment-on-cop30-closing?fbclid=IwY2xjawOPIWlleHRuA2FlbQIxMABzcnRjBmFwcF9pZBAyMjIwMzkxNzg4MjAwODkyAAEe9_t3kVqysib8WlOCrtWr0UpWla5GHx9FzX3mbx_59aJ-zpEodYzTtSl-b-A_aem_hCVd-1XmichEmSzOtdxlOw&brid=XkzyrJVYN384vBGVxkddIw
Manchmal kann der Tag so richtig nett ausklingen.
Eine Diskussion über Kippunkte in der Natur zerbricht an der Tatsache, daß es solche Kippunkte nicht gibt, wenn man als energetische Definition zugrundelegt, ein Überschreiten bedingt einen sich selbst verstärkenden energetischen Prozeß bis in alle Ewigkeit, aus dem es keine natürliche Rückkehr mehr gibt.
stefan strasser 12. November 2025 13:59
Herr Strasser, etwas haben Sie zu einen Kipp-Punkt schon begriffen. Aber was soll das mit „energetische Definition“ zu tun haben? Wo sehen Sie z.B. beim Kipp-Punkt akustische Rückkopplung etwas von Ihrer „energetische Definition“? Die Lautstärke der akustischen Rückkopplung geht bis zur maximalen Lautstärke der Anlage. Den Rückkopplungsprozeß können Sie nur mit dem Runterdrehen des Lautstärkereglers beenden („keine natürliche Rückkehr“.)
Auch bei den Kipp-Punkten beim Klima existieren Grenzen – analog der maximalen Lautstärke der Anlage. Z.B. bei der Lawine – nur aller Schnee kann abgehen.
„Den Rückkopplungsprozess können Sie nur mit dem Runterdrehen des Lautstärkereglers beenden “
Schwachsinn! Das Einfachste ist, wenn man mit einer kleinen Bewegung den akustischen Kontakt zwischen Mikro und Lautsprecher verändert, sofort ist Ruhe, ohne etwas an der Anlageneinstellungen zu verändern. Das Standardtmittel ist, den Mikro-Eingang für eine Sekunde einen Tick runter zu drehen, bei gleichbleibender Lautstärke ist das Mikro weniger empfindlich, die Rückkopplung ist weg, man dreht zurück und die Rückkopplung kommt meistens nicht wieder. Da zig Faktoren die Rückkopplung beeinflussen, nicht der Ebel-Kipppunkt!
Peter Georgiev 12. November 2025 20:58
Ich habe an eine unveränderte Anlage gedacht. Wenn Sie die Rückkopplungsschleife ändern, ist natürlich der Kipp-Punkt an andere Stelle des Lautstärkereglers.
Da haben Sie eine Einstellung des Lautstärkereglers gering über dem Kipp-Punkt, bei einem Anstoß kommt die Rückkopplung wieder. Das ist wieder der Lawine, die Schneehöhe kann etwas über den Kipp-Punkt wachsen, von der auslösenden Störung durch Sprengstoff wird Gebrauch gemacht. https://www.slf.ch/de/lawinen/lawinenschutz/kuenstliche-lawinenausloesung/ oder Zitat ( file:///C:/Users/User/Downloads/576901_Leitfaden_Ausloesung_Lawinen.pdf ):
Also durch Anwachsen der Schneedecke über den Kipp-Punkt (instabil werden) läßt erst weitere Lawinen erwarten.
Und wenn bei einer Lautsprecheranlage der Lautstärkeregler bei gegebener Anordnung über den Kipp-Punkt aufgedreht wird, wird das Ruhegeräusch der Anlage instabil.
Die Reglerpositionen sind vor und nach dem Eingriff absolut identisch, trotzdem kommt es beim 1. Mal zu Rückkopplung, beim 2. nicht.
Kann mir vorstellen, dass bei hochwertigen Anlagen der Effekt unmittelbarer auftritt, da zig kleine Funktionen dem beginnenden Prozess entgegenwirken. Man kann also die Anlage näher an der Rückkopplung fahren, ohne es zu merken. Wenn diese Funktionen (herausfiltern von Störungen) nicht mehr helfen, knallt es unmittelbarer.
Die Anlagen, die ich im Grenzbereich steuern musste, haben elektronisch unverfälscht auf die Situation reagiert, dabei habe ich millionenfach den Beginn einer Rückkopplung gehört, die ohne Eingriff selbst verschwunden ist. Es ist eben ein Prozess und kein Knick.
Habe noch einen „Kipppunkt“. Ein arabischer Ölscheich wollte wohl die Wohlstandsverwahrlosung beschreiben, und hat dabei die übliche Entwicklung einer Gesellschaft im Zeitraffer wiedergegeben:
Meine Großeltern ritten Kamele, meine Eltern fuhren Golf, ich fahre Mercedes, meine Kinder fahren Ferrari, meine Enkel werden Kamele reiten!“
Der Übergang von Ferrari zum Kamel kann man als Kipppunkt bezeichnen. Die westlichen Gesellschaften sind mitten im „Kipppunkt“.
Eine übliche quadratische Funktion geht nach oben bis zu einem Maximum, und dann nach unten. Die Randbedingungen können die Umkehr steiler oder sanfter zeichnen. Die Richtungsänderung in einem Prozess nennt man gern Kipppunkt, um diese dramatisch zu unterstreichen, um beim Zuhörer eine emotionale Reaktion hervorzurufen.
Das ist alles!
Man darf auch daran glauben, dass es kippt!
Peter Georgiev 13. November 2025 10:40
„nicht mehr helfen“
So lange Sie Maßnahmen gegen die Rückkopplung treffen (wie das ist vorgangensabhängig), wird eben der Kipp-Punkt nicht erreicht.
Und auch beim Klima kann die Politik Maßnahmen ergreifen, um den Kipp-Punkt nicht zu erreichen.
Für das CO2 mal ein paar Diagramme. Die Stärke, wie sich atmosphärisches CO2 in den Ozean löst, hängt vom Partialdruck in der Oberflächenschicht ab. Ohne neues CO2 in der Atmosphäre diffundiert das CO2 in die Tiefe und der Partialdruck der Oberflächenschicht und weiteres CO2 aus der Atmosphäre wird gelöst.
Deswegen zeigt das linke Bild die Änderung der Konzentration im Ozean im Laufe der Zeit (rot: hohe Konzentration, blau: Konzentration 0). Das nächste Diagramm zeigt die Abweichungen, wenn die fossile Verbrennung und die atmosphärische CO2-Konzentration gefaltet werden mit einer Funktion, die sich an die Diffusion anlehnt (Funktion nahe Diffusion n = -0,5 und auch mit n optimiert).
Die Abweichungskurve hat neben den Zufälligkeiten (etwa +- 1 ppm) auch eine systematische Abweichung von ca. +-6 ppm). Der Grund dürfte eine CO2-Freisetzung bei steigender Temperatur sein. Deswegen wird umgedreht der CO2-Eintrag aus den Konzentrationen berechnet (dargestellt im nächstes Diagramm). Dabei zeigt sich der Überschuß des Eintrags in Abhängigkeit von der Temperatur.
Der Bereich von 1940 bis 1960 ist wenig aussagefähig, da sich die Einflüsse von vor 1940 zusammengefasst bis 1960 auswirken, Von 1960 bis 1980 wird die Zunahme der CO2-Konzentration fasst ausschließlich durch Verbrennung fossiler Brennstoffe bestimmt. Nach 1980 steigt die atmosphärische CO2-Konzentration schneller als durch die Verbrennung fossiler Brennstoffe infolge der steigenden Temperatur.
Zur Illustration ist im nächsten Diagramm die Abnahme der CO2-Konzentration dargestellt, wenn kein weiteres CO2 hinzugefügt wird (was schon unmöglich ist wegen der weiteren temperaturabhängigen Ausgasung).
Mit den Größen S (als Klimasensitivität). T (als Temperatur), pt (als Konzentration durch Verbrennung) und pT als Temperatur-abhängige Ausgasung, gilt folgende Gleichung:
T = S*(pt +pT*T)
Nach T aufgelöst wird
T *(1- S*pT) = S*pt oder T = S*pt /(1- S*pT)
Für S*pT = 1 ist der Kipp-Punkt erreicht.
Von 1960 bis etwa 1980 kann die Zunahme der CO₂-Konzentration fast vollständig durch die Verbrennung fossiler Brennstoffe erklärt werden, was auch durch weitere Daten wie Isotopenanalyse gestützt wird.
Die Aussage:
ist aber nur eine bestimmte Modellinterpretation.
Der sogenannte „Überschussanstieg“ entsteht überhaupt erst relativ zu einem gewählten Fit (Diffusionskern, Parametrisierung, IRF, Dietze-Fit etc.). Was dabei im Residuum landet, ist zwangsläufig ein Gemisch aus Messfehlern, Landnutzungs-Emissionen, Inventur- und Budgetunsicherheiten, natürlicher Variabilität (z. B. ENSO-Jahre) und vermutlich auch temperaturempfindlichen Flüssen.
Die Global-Carbon-Budget-Analysen zeigen bisher eher das Gegenteil eines Kipppunkts: Die Land- und Ozeansenken sind netto stärker geworden (CO₂-Düngung, Biomassezuwachs, stärkere Ozeanaufnahme), nicht schwächer.
Ein dominanter, temperaturgetriebener „Überschussanstieg“ der atmosphärischen Konzentration ist damit nicht zwingend, sondern eine Hypothese – und so sollte man ihn auch bezeichnen.
Spannend ist: Man kann das Spiel auch umdrehen und CO2 nur als Funktion der Temperatur fitten. Dann bekommt man formal ein S* p_T nahe 1, weil Temperatur und CO2 denselben Langzeittrend haben.
Nimmt man dagegen die Residuen gegenüber einem Emissions-Fit und wertet sie aus, landet man für S* p_t eher in der Größenordnung 0.1 oder kleiner.
Das ist ein deutlicher Unterschied: Zwischen „leichte Verstärkung“ und „fast am Kipppunkt“ liegt immerhin knapp eine Größenordnung.
Kurz gesagt: Aus der Residual-Kurve direkt auf eine ab 1980 dominante, temperaturgetriebene Ausgasung zu schließen, ist eine interessante Interpretation, aber sie ist mit den Gesamtbilanzdaten denke ich so nicht zwingend belegt.
Günter Heß 14. November 2025 8:18
Und warum nicht „von Von 1960 bis etwa 1980″?
Das hatten ja Sie geschrieben.
Das gilt auch da, sie hatten das aber so bewertet. Ich habe es ab. Ich habe es mir auch ab 1940 angeschaut, sogar ab1850.
Der Fehler hier steigt je weiter man zurückgeht: Gemisch aus Messfehlern, Landnutzungs-Emissionen, Inventur- und Budgetunsicherheiten.Den Mauna Loa Zeitraum zu benutzen scheint mir am Besten.
Günter Heß 14. November 2025 20:11
Schauen sich die Abweichungen von der Fit-Kurve an. Die Abweichungskurve ist ein Zusammenspiel von Zufälligkeiten und systematisch. Der Anteil mit systematische Abweichung muß ja auch eine systematische Ursache haben. Zur Feststellung der systematischen Ursache wird rumgedreht der CO2-Ausstoß aus der jährlichen Konzentrationsänderung berechnet. Und vergleicht man den gesamten CO2-Ausstoß mit dem CO2-Eintrag aus fossiler Verbrennung ist der Überschuß frappieren übereinstimmend mit der Temperaturentwicklung.
Mauna Loa gibt nur die CO2-Konzentration an. Zur Auswertung braucht man aber die jährliche Paarung CO2-Konzentration und Verbrennung fossiler Förderung. Diese Paarung ist mir erst ab 1940 bekannt. Hast Du eine Quelle mit einem größeren Zeitraum, gib bitte einen Link an – da das Programm steht, ist die Auswertung kein Problem.
https://globalcarbonbudget.org/datahub/the-latest-gcb-data-2025/
Ja der Diffusions-Kernel funktioniert ähnlich gut wie ein 1-Tau Kernel.
Und ist deshalb interessant.
Die „frappierende Übereinstimmung“ zwischen Überschuss und Temperatur kann vor allem eine Folge des gemeinsamen Langzeittrends sein: CO2 und Temperatur steigen über denselben Zeitraum, da ist eine hohe Korrelation fast unvermeidlich.
Dasselbe sieht man, wenn man CO2 einfach nur gegen T fittet, der Fit sieht gut aus, sagt aber noch nichts darüber, ob T tatsächlich der treibende Faktor ist.
Die Übereinstimmung zeigt zunächst nur, dass beide Größen denselben Langzeittrend und Teile der interannuellen Variabilität teilen; sie beantwortet nicht die Frage, wie groß der reale temperaturabhängige Zusatz gegenüber dem Emissionseffekt ist.
Um diesen Zusatz wirklich zu quantifizieren, muss man Emissionen und Temperatur gleichzeitig im Modell haben, dann schrumpft der Feedback-Anteil deutlich und bleibt weit unter einem „temperaturgetriebenen Eigenlauf“ des CO2, bei meinen Auswertungen.
Klimasensinsivität ist erst recht ein Hirngespinst. Dazu muss man nicht einmal über Physik nachdenken.
In der Erdgeschichte ist CO2 gegenläufig zum O2 Anstieg von 0 auf rund 20% von rund 20% auf knapp über 0 (ppm) gesunken. Exakte Zahlen sind egal, der Massenerhaltungssatz bestimmt das Verhältnis. Dabei die Erdtemperatur nicht im Geringsten beeinflusst, der Temperaturverlauf war durchgend wellenförmich, Wechsel Kalt/Warm. Im Gegensatz zum durchgehend abfallenden CO2. Was man nicht weiß, kann man in Analysen nicht einbeziehen, das Unwissen der Strahlenakrobaten hier füllt ganze Bibliotheken. Immer die gleichen 3 Behauptungen, unter völligen Ausschluss von Thermodynamik, die Temperaturverläufe berechnet und Erdgeschichte, die diese Verläufe kennt.
Sensibilität, Kipppunkte sind Hirngespinste von Selbstdarsteller und Klimakirche. Gespeist durch Unwissen und „beweisen“ mit zufällige kurzzeitige ähnliche Verläufe in homöopathischen Dosen, ohne Zusammenhang bei breiteren Analyse.
Mit Scheuklappen nicht zu verstehen.
Peter Georgiev 14. November 2025 8:25
Sie sollten sich ausreichend informieren und dann nachdenken. Ohne Nachdenken schreiben Sie nur Unsinn.
Ebel,
Energie ist wichtig. Weil Kippunkte ohne Energie gibt es natürlich. Etwa wenn eine Pflanzenart, die irgendwo nicht heimisch ist, per Zufall dorthin kommt, wird sie sich, wenn die Bedingungen passen, ausbreiten und von selbst nicht wieder verschwinden.
Wenn man aber von Wärme spricht, spricht man von Energie!
Nebenbei ist mir kein natürlicher Vorgang bekannt, der sich verhält wie eine akustische Mitkoppelung. Aber selbst die geht nicht ewig, sondern nur bis zur eingestellten Maximallautstärke. Man kann auch ganz leise akustische Rückkoppelungen erzeugen, wenn man bei geringer Verstärkung das Mikrofon direkt zum Lautsprecher hält.
Lawinen sind auch ein schlechtes Beispiel. Weil der Abgang einer Lawine bedeutet nicht, daß an dieser Stelle nie wieder eine Lawine abgehen kann. Es ist ein periodischer Vorgang.
stefan strasser 13. November 2025 9:28
Es geht um die Instabilität oberhalb des Kipp-Punktes. Sowohl sowohl der Lawinenabgang als auch die akustische Rückkopplung sind Auswirkungen der Instabilität. Das im Laufe des Jahres bei ausreichenden Schneefall der Kipp-Punkt mehrfach überschritten werden kann, steht schon in meinem Zitat.
Auch bei der Lautsprecheranlage kann durch Betätigen des Lautstärkereglers der Kipp-Punk mehrfach überschritten werden.
Allerdings steht irrtümlich zu meiner Gleichung die Aussage das schon der Kippunkt erreicht wäre, das ist falsch. Zum Kippunkt kommt es nur bei ausreichenden nichtlinearen Zusammenhang zwischen Temperatur und Konzentration. Nach dem Diagramm ist zwischen 1980 und 2020 die Temperatur um ca. 30K/40 = 0,75 K gestiegen. Der Überschuß an der CO2-Konzentration ist etwa 15 ppm, also etwa 20 ppm/K. Die Klimasensitivität ist ca. 1K/100 ppm. Das Produkt beider ist ca. 0,2 (20 ppm/K * 1K/100 ppm). Damit ist eine Verstärkung von 1/(1 – 0,2) =1/0.8 = 1,25 gegeben, aber noch nicht unendlich.
Ob ein ausreichender nichtlinearer Zusammenhang zwischen Temperatur und Konzentration besteht, kann mit den vorhandenen Daten noch nicht entschieden werden.
Kipp-Punke gibt es täglich bei der Stromversorgung, immer wenn die Sonne untergeht.
Sprungpunkte sind eigentlich dasselbe wie Kippunkte, Bei einem geht es plötzlich rauf, beim anderen plötzlich runter.
Werter Herr Kowatsch, bei jedem nicht linearen Prozessverlauf gibt es Richtungsänderungen, manche weniger, manche mehr abrupt. Um Angst zu erzeugen und eigene Wichtigkeit hervorzuheben, nennt eine bestimmte Spezies solche Richtungsänderunen „Kipppunkte“. Damit hätte fast jeder natürlicher Prozess, und jeder von Menschen gestarteter Prozess, wie die Stromversorgung, Kipppunkte. Formulierung von Wichtigtuer, sonst nichts!
Peter Georgiev 11. November 2025 8:02
„Kipppunkte“
Sie haben nicht verstanden, was Kipp-Punkte sind, aber maßen sich an, etwas zu kritisieren, was Sie nicht verstanden haben. Mit meinem Beitrag https://eike-klima-energie.eu/2025/11/06/the-guardian-und-guterres-irren-sich-die-wissenschaft-zeigt-keine-klima-kipp-punkte/#comment-472342 hatte ich also Recht.
Inhaltlich kommt immer das Gleiche „ich habe Recht“ und sonst fast nichts!
Wenn viel Regen dazu führt, dass ein Fluss über die Ufer tritt und sowas verursacht wie im Ahrtal, dann gibt es einen „Kipppunkt“, ab den das Wasser nicht aufzuhalten ist. Exakt das Gleiche passiert, wenn man beim Füllen vom Becher das Ende übersieht und kleckert, dann nennt man es Blödheit. Der Prozess ist identisch, nur die Dimension unterschiedlich. Als „Kipppunkte“ kann man den Abgang einer Lawine bezeichnen. Bei Tauwetter passiert das Gleiche millionenfach von den Dächern, interessiert niemanden.
In jeder Sprache ist die Rede vom „Tropfen, der das Fass zum überlaufen bringt“, da im Alltag und in der Natur ständig und überall solche Prozessveräufe zu sehen sind.
Nur Propheten erfinden dafür Bezeichnungen wie „Kipppunkte“, um die eigene Wichtigkeit zu überhöhen.
Peter Georgiev 11. November 2025 14:55
Das dürfte das Einzige Richtige sein. Wenn es schneit, wächst die Schneedecke laufend. Die Schneedecke kann auch über den Kipp-Punkt (Dicke der Schneedecke) anwachsen – aber eine kleine Störung läßt eine Lawine abgehen. Um die Lawinengefahr zu vermindern wird mit Sprengstoff eine Lawine gewollt ausgelöst, wenn die Schneehöhe den kritischen Wert überschreitet.
Ist ja toll, wie offenkundige Mathe-Genies ihrem Glauben an die hellseherischen Eigenschaften von Modellen nachhängen. Mir kommt es vor wie die Frage aus der mittelalterlichen Scholastik, wieviele Engel auf einer Nadelspitze Platz haben.
Das Thema Kipppunkte ist ganz einfach abzuhandeln. Gäbe es sie, gäbe es uns nicht. Im Kambrium war die CO²-Konzentration der Atmosphäre ca. 6000 ppm, also fast das 16fache der heutigen Konzentration. Und was passierte? Wurde die Erde zu einem unbewohnbaren glühenden Klumpen Fels? Weit gefehlt, es kam zur sogenannten kambrischen Explosion, einer dramatischen Zunahme der Artenvielfalt bei Pflanzen und Tieren! Es war ein lebensfreundlicher Zustand der Atmosphäre! Es war angenehm warm, aber keine Gluthölle!
Man kann also konstatieren, dass es zumindest bis zu einem CO²-Gehalt von 6000 ppm keinerlei „Kipppunkte“ gibt. Mehr muss man nicht wissen, um vernünftige Politik zu machen. Und wenn sich die Temperaturen tatsächlich erhöhen sollten, tja, dann gibt es technische Lösungen. Schon mal was von Klimaanlagen gehört?
In Deutschland gibt es rund 41 Millionen private Haushalte. Wenn jedem Haushalt eine Klimaanlage geschenkt würde (Gute Anlagen gibt es ab ca. 1000 Euro), dann würde das den Staat EINMALIG 41 Milliarden Euro kosten! Vergleichen Sie das bitte mit den bis heute angesammelten Kosten für die Verhinderung des Klimawandels:
Allein die Ausgaben für den Klima- und Transformationsfonds (KTF), der Maßnahmen wie Gebäudesanierung, Dekarbonisierung der Industrie, Wasserstoffstrategie, Strompreiskompensation und der Umstieg auf Elektromobilität betrugen im Juli 2022 177,5 Milliarden Euro. Hinzu kommen weitere Ausgaben, wie die internationale Klimafinanzierung (z.B. 11,8 Milliarden Euro im Jahr 2024) oder die jährlichen Haushaltsmittel für Umweltschutz und Klimaanpassung, welche die Gesamtsumme erhöhen. Tendenz weiter steigend!
Und das Ergebnis dieser gigantischen Geldverschiebung vom einfachen Bürger zu den Milliardären auf das Klima? Null! Das Atmosphären-CO² steigt weiter anstatt angesichts dieser finanziellen Anstrengungen endlich Wirkung zu zeigen und zu sinken. Ist Ihnen übrigens aufgefallen, dass der Erfolg der Maßnahmen nie durch direkte CO²-Messung überprüft wird, sondern dass immer nur der Surrogat-Parameter „Verbrauch von fossilen Brennstoffen“ und der damit rein rechnerisch verbundene CO²-Ausstoß verwendet werden? Warum wohl? Weil sich am Atmosphären-CO² hier im Lande gar nichts ändert und das Narrativ sofort in sich zusammenfallen würde wie ein zu früh aus dem Ofen geholtes Souflee!
Das ist das Erklärunglevel von Wissrnschaftsleugnern.
Wissenschaftsleugner? Eher nicht. Aber man benötigt keine Wissenschaft, wenn man feststellt, dass man kniehohe Stiefel anhat und das Wasser maximal bis zum Knöchel reicht. Gesunder Menschenverstand reicht völlig!
Aber da gibt es ja diese linke Methode der Einzelfallprüfung, die verlangt, dass man selbst einfachste Sachverhalte immer wieder einzeln prüfen muss. Könnte ja sein, dass manchmal die physikalischen Gesetze doch außer Kraft gesetzt sind. So kam mir die hier geführte Diskussion mit vielen mathematischen Formeln vor. Akademisch interessant, aber kein für das wirkliche Leben nutzbarer Erkenntnisgewinn.
Ich habe allerdings eher den Eindruck, dass es Sie ärgert, kein valides Argument gegen meine evidenzbasierte und logische Schlussfolgerung zu haben.
Herr Weiland,
Wissenschaftsleugner leugnen -wie der Name schon sagt- die Wissenschaft und nicht einfache Sachen. Ein Beispiel von Ihnen:
Das ist wissenschaftlich gesehen eine unsinnige Schlußfolgerung, da Sie einen Fall, bei dem es gar nicht um Kipppunkte ging, mit Kipppunkten assozieren und dann unzulässig verallgemeinern. Also gleich zwei unwissenschaftliche Taten.
Na dann nehmen wir doch mal einen „Kipppunkt“ aus vergangenen Jahrzehnte, also eine Zeit die viele der hier diskutierenden selbst erlebt haben. Sie nennt sich „Große Salzgehaltsanomalie“ und fand in den 1960er bis in die 1970er Jahre statt und betraf einen großen Schwall bzw.veränderte Strömungen kalten Süßwassers welches sich durch atmosphärische Änderungen angelaufen aus dem Beaufort-Wirbel in den subpolaren Nordatlantik ergoss und von da auswirkungen auf die AMOC hatte. Ist daran die europäische Zivilisation zugrunde gegangen oder sind Millionen elendiglich verendet dadurch? Nichts dergleichen ist passiert, wir haben uns an die kühlere Phase angepasst und man sieht wie schnell sich das Blatt auch wieder gewendet hat. Und dieser Wirbel kann auch heute noch jederzeit störende Einflüsse erzeugen, wenn sich die dortigen Windsysteme ändern, denn mit CO2 hat dies rein garnichts zu schaffen. 🙁
Sehr geehrter, werter Herr Heinemann, wie ich sehe, haben Sie meine Argumentation gar nicht verstanden. Kippunkte werden sehr wohl an der CO²-Konzentration in der Atmosphäre festgemacht. Und wenn sie jetzt auseinzeln und auf Kipppunkte bei der Gletscherschmelze oder der Golfstromabschwächung oder sonstige Effekte der Erderwärmung ausweichen wollen: auch das hat es alles irgendwann schon einmal gegeben.
Die Erde ist 4,5 Milliarden Jahre alt, die hat schon so einiges er- und überlebt. Sie war schon einmal völlig eisfrei und sie war auch schon einmal fast völlig mit Eis bedeckt. Sie hat das Aussterben der Dinos überlebt und sie wird auch das Aussterben der Spezies Mensch überleben. An deren Stelle tritt dann eben etwas anders. Auf jeden Fall aber nicht Nichts.
Statt Kräfte für den „Kampf gegen den Klimawandel“, den niemand aufhalten kann, zu vergeuden, sollte man die Anstrengungen (die weitaus geringer wären) in die Anpassung an die Verhältnisse investieren. Also nichts weiter tun, als evolutionär zu handeln. Denn Evolution ist Anpassung pur. Damit verdienen gewisse Herrschaften jedoch nicht genug, nicht wahr?
Aber ich fürchte, dass Sie auch diese Argumente nicht verstehen werden.
Ein intellektuelles Problem?
Manche Heinemänner wollen hier nie etwas verstehen, auch wenn si könnten, oder?
Haben sie Herr Heinemann gerade erklärt, das eine Zunahme vom CO2 keinen Kipppunkt auslöst?
Bravo!
Ja, denn sie haben eine ihre Argumentation dargelegt
Der Ausdruck „Wissenschaftsleugner“ etikettiert Personen statt Aussagen – Naturwissenschaft beurteilt jedoch nur prüfbare Behauptungen anhand von Daten, Methoden und Logik.
Der Begriff ist nicht operational: Er erzeugt keine messbaren Größen, keine Vorhersagen und damit keinen Beitrag zur Falsifikation oder Replikation.
Wer so labelt, weicht oft dem inhaltlichen Test aus; sauberer ist es, Hypothesen präzise zu kritisieren – mit Datensatz, Methode, Unsicherheiten und einer reproduzierbaren Gegenanalyse.
Selbstverständlich. Wissenschaftsleugner zeichnen sich dadurch aus, dass sie wissentlich den wissenschaftlichen Stand ignorieren oder verfälschen.
Meinen sie diese alarmierenden Geschichten die Björn Stevens meint mit „Leugnung“?
Ich habe den Disput zwischen Stevens und Schellnhuber, wenn man es so nennen kann, nur von Ihnen erfahren. Ich kann dazu nichts sagen. Generell müssen Begriffe erstmal wissenschaftlich formuliert sein bevor man sie mit einer Wissenschaftleugnung verknüpft. Erfüllt Ihr Beispiel überhaupt diese Voraussetzung?
Meine Meinung kennen sie ja. Der Begriff „Wissenschaftsleugner“ mit dem sie Personen verknüpfen hat mit Naturwissenschaft nichts zu tun, sondern zeigt nur an wie sie so drauf sind. Das mit auch noch mit Wissenschaft zu verknüpfen ist abenteuerlich. Das machen in meinem Erfahrungsbereich kompetente Naturwissenschaftler nicht.
Herr Heß,
ich kennzeichne mit „Wissenschaftsleugner“ nur Leute, die den wissenschaftlichen Kenntnisstand verschmähen, leugnen oder nicht nachvollziehbar oder nicht offen argumentieren. Sie kennen diese Leute so gut wie ich.
Nein, ich kenne diese Leute nicht. In diesem Forum erlebe ich vor allem freie Bürger.
Ich bin Naturwissenschaftler und weiß nur, dass diese Art von Labelling nicht Teil der Naturwissenschaft ist.
In meinem beruflichen Kontext ist diese Art von“ Labelling“ ein Ausdruck einer Kultur des Mittelmaßes. Leistungsorientierte Teams mit sehr guten Ingenieuren und Naturwissenschaftlern zeigen das nicht.
Deshalb lehne ich diese Art von „Ad hominem“ Argumenten ab, weil es Deutschland auf den Weg des Mittelmaßes bringt. Wir brauchen den Dissens, um im Ingenieursbereich und in den Naturwissenschaften exzellent zu bleiben.
Ich habe dieses Labelling zuerst in dem Buch von Schellnhuber und Rahmstorf „Der Klimawandel“ in den früheren Auflagen gelesen. Spricht ja nicht für die Klimawissenschaft, dachte ich mir damals. Vielleicht ist das ja aber auch die Abgrenzung zwischen Naturwissenschaft und Klimafolgenwissenschaft.
Herr Heß
… von denen sich einige herausnehmen, naturwissenschaftlichen Unsinn zu verbreiten und nicht dazulernen wollen; was zwar ihr gutes Recht ist, aber den Erkenntnisfortschritt behindert.
Das Ausleben seiner Rechte als freier Bürger qualifiziert ihn nicht dafür, vernüftig oder gar naturwissenschaftlich zu agieren.
Dem stimme ich zu. Aber darum geht es hier nicht, denn wir sind hier in diesem (und allen anderen hier) Thread (leider) nicht in der Situation, dass alle sich als Teilnehmer in einem naturwissenschaftlichen Diskurs sehen.
Das labeling ist hilfreich, diejenigen, die an einem naturwissenschaftlichen Erkenntnisprozeß interessiert sind, von denen zu trennen, die das nicht sind.
Es ist widersinnig, Leuten, denen der naturwissenschaftlichen Erkenntnisprozeß zuwider ist oder diesen sogar nur sabotieren wollen, in einen naturwissenschaftlichen Diskurs mitnehmen zu wollen.
Sie dürfen hier nicht die Reihenfolge verwechseln. Die Leute in Ihrem Berufumfeld wurden ja schon vorher durch ihre Qualifikationen und das Einstellungsverfahren („positiv“) gelabelt, ihre Qualifikation ist nicht alleine nur, ein freier Bürger zu sein. Wenn diese danach noch („negativ“) gelabelt werden, spricht das nicht für die Unternehmenskultur, das kann nicht nur eine „Kultur des Mittelmaßes“ anzeigen, sondern sogar ökonomisch unvernüftig sein.
Da stimme ich Ihnen zu. Aber wir befinden uns in diesem Thread nicht unter „Leistungsorientierte Teams mit sehr guten Klimawissenschaftlern“; die Leute hier wollen hier auch nicht exzellent sein, sondern nur ihre zum Teil aberwitzige Meinung vertreten.
Was hat das Buch „Der Klimawandel“ von Schellnhuber und Rahmstorf mit dem wissenschaftlichen Diskurs zum Klimawandel zu tun? Es ist ein populärwissenschaftliches Buch, und wenn es Ihnen zu viel mit persönlichen „Weisheiten“ der Autoren bespickt ist, so werfen sie es weg. Es ist kein klimawissenschaftliches Lehrbuch, und Sie sollten vermeiden, dieses Buch und die beiden Autoren als repräsentativ für die Qualität und das Selbstverständnis der Klimaforschung zu sehen. Das wäre ja auch von Ihrer Seite aus ein „labeling“ der klimawissenschaftlichen community nur aufgrund Ihrer Meinung über ein Buch von zwei Mitgliedern dieser community.
Wer „Unsinn“ redet oder sich irrt, behindert den Erkenntnisfortschritt nicht – Rohmaterial von Wissenschaft sind gerade falsche, unvollständige oder schräge Ideen, die man sauber widerlegt. Behindert wird der Fortschritt eher dadurch, dass man Menschen vorschnell als lernunwillig abstempelt und damit die argumentative Auseinandersetzung ersetzt statt sie zu führen.
Das ist ihre persönliche Einstellung.
Die Menschen, die hier posten waren sicher exzellent in ihrem Beruf. Ich persönlich denke deshalb, dass die Menschen, die in diesem Forum posten produktiv an der Leistungsfähigkeit unserer Industriegesellschaft beigetragen haben oder beitragen, denn in der Industrie und im Handwerk wird entschieden, ob unsere Volkswirtschaft produktiv ist. Das gelingt nicht durch Hypothesen über den Treibhauseffekt, Kipppunkte und Klimaprognosen für das Jahr 2100. Das ist doch eher nur ein Hobby bzw. „nice to have“ wenn man ein reiches Land ist. Zur Zeit haben wir eher andere Probleme.
Ich halte deshalb diese Form des Labelings für gefährlich – gerade aus Sicht der Naturwissenschaft.
Naturwissenschaft lebt davon, dass Argumente, Daten und Schlüsse geprüft werden, nicht die Motive oder die „Diskurswürdigkeit“ von Personen bewertet werden. Sobald wir anfangen, Menschen aufgrund unseres subjektiven Eindrucks („lernt nicht dazu“, „sabotiert den Prozess“) aus dem Diskurs auszuschließen, verlassen wir den Boden der wissenschaftlichen Methode und betreiben nur noch Soziologie in Freund–Feind-Kategorien.
Ja, es gibt in Foren und Medien viel Unsinn. Aber Fehlbarkeit und Irrtum sind keine Störfälle der Wissenschaft, sondern ihr Rohmaterial. Leistungsorientierte Teams aus guten Ingenieuren und Naturwissenschaftlern kommen ohne Ad-hominem-Label aus – sie widerlegen argumentativ und anhand von Daten. Eine Kultur, in der unbequeme oder falsche Positionen mit Etiketten versehen und an den Rand geschoben werden, ist keine „Qualitätssicherung“, sondern der Einstieg in eine Kultur des Mittelmaßes.
Und genau die können wir uns in Deutschland – in Naturwissenschaft wie Technik – nicht leisten, da wir ja unseren Spitzenplatz behalten wollen.
Herr Heß,
sie schreiben ausgezeichnet und sie legen sehr gut dar, in welchem Zustand die Diskussion mit Herrn Heinemann ist.
Vielleicht ist es bezeichnend für den Zustand unserer staatlichen und wissenschaftlichen Institute, hoffentlich aber nicht.
Das gute ist, das sie genau noch das liefern, was sie als notwendig erkennen, eine ehrliche fachliche Diskussion.
Danke.
Den heutigen Zustand der Universitäten kann ich nur über Naturwissenschaftler und Ingenieure beurteilen, die zu uns kommen. Und dieser Ausbildungsstand ist nach wie vor sehr gut. Viele bringen eben auch sehr gute Programmierkenntnisse mit. Insofern sind sie auch auf die Herausforderungen heutzutage gut vorbereitet und bereichern unsere Teams mit neuem Wissen und Fähigkeiten. Das wäre kein Standortnachteil für Deutschland.
Diese „Leugner“ – Diskussion hat man ja immer auch dann, wenn eine individuelle politische Motivation dazukommt, und die ist in den klassischen Fächern vermutlich eher irrelevant und fließt nicht als Bias in die Arbeit oder Motivation mit ein.
Politisch aufgeladen sind eher Fächer, die jetzt mit industrieller Produktion und Produktivität wenig zu tun haben.
Herr Heß,
Mir gefällt Ihre ständige Verlinkung zu vermeintlich politischen Motiven nicht, sobald es um Forderung von fachlicher Qualität in Diskussionen um klimawissenschaftliche Frage geht.
„Leugner“ von der Art, die ich meine und beschreibe, gibt es unabhängig von politischen Motiven. Es können auch ganz egoistische sein.
Ich bin schon in der Schule Mitschülern begegnet, die „Matheleugner“ waren und nicht nachvollziehen wollten, warum ihre Mathelösungen falsch waren. Gleicher Typ, gleiche Taktik, gleiches Argumentieren wie „Klimaleugner“.
Das kann ich bestaetigen. Ich kann da keine Arroganz sehen, sondern fachlich gut vorbereitete junge Menschen. Gute Prgrammierer sind immer willkommen.
Bei Herrn Heinemann wuerde ich eher keine politische Motivation vermuten, eher ein Egoproblem von auswendige gelerntem Wissen, was allerdings auch Parolen sein koennen, und der eigentlichen Fahigkeit Probleme richtig zu analysieren.
Spezifisch in dieser Diskussion hier kommen keine fachlichen Argumente von seiner Seite.
Das ist schade, hat er doch durchaus schon verstanden, das die jetztige Atmosphaere wenn verdoppelt bei gleicher Zusammensetzung zu einer hoeheren mittleren Temperatur der Erdoberflaeche fuehren muesste.
Leider ist die Begruendung dazu von ihm mangelhaft, weshalb ich als Kontrolle fuer die Begruendung anfrage wie sich eine 100 % CO2 Atmosphaere bei 0.05 kPa auf die gemittelte Temperatur auswirkt.
Eigentlich eine wissenschaftliche Methode um zu pruefen, ob der Ansatz stimmen kann.
Eventuell findet Herr Heinemann zurueck zur wissenschaftlichen Komponente der Diskussion. Ich denke jedenfalls sie haben es sachlich erklaert, warum er (Herr Heinemann), durch die Art und Weise hier, keinen sinnvollen Beitrag in der wissenschaftlichen Diskussion, die er angeblich erwartet, leistet.
Herr Schulz,
Ich nehme an Sie beziehen sich damit auf das höfliches Schweigen und Unterdrücken von Lachen, was Sie bei den Meteorologie- und Physikstudenten schätzen, wenn Leute wie Sie Ihre Argumente zur Atmosphärenphysik vor denen ausbreiten. Aber von denen lernen Sie dann auch nichts. Man ignoriert Sie einfach.
Und sie zeigen weiter welch Geistes Kind sie sind!
Glueckwunsch!
Was meinen Sie damit?
Ein guter Meteorologie- bzw. Physikstudent weiß um die Unzulänglichkeiten seines Faches bzw. den Kenntnisstand zu atmosphärischen Vorgängen und wird, so er sich denn der theoretischen Laufbahn zuwenden will immer dankbar sein über alternative Sichtweisen und diskutable Ideen.
Herr Steinmetz,
Sicher, aber Sie nicht.
Sie kennen diese Unzugänglichkeiten nicht, da Sie nicht mal die unbestrittenen Grundlagen kapieren.
Herr Heß, das Problem liegt nicht in der Qualität der Universitäten ( zumindest bei vielen), sondern in der unterirdischen Allgemeinenbildung. Außerhalb eines engen Bereich der Universitätsbildung sind heute fast alle überwiegend naturwissenschaftliche Volltrottel. Die Allgemeinenbildung in der DDR war um Längen besser, und man wurde auch gezwungen in Zusammenhänge logisch zu denken, nicht Unsinn zu wiederholen. In der Regel erkennt man hier sofort die logischere Denkweise vom alten Ossi hier in der Diskussion, Ausnahmen bestätigen die Regel.
Die Grünen Khmer hatten in der DDR keine Chance, nicht weil sie verboten waren, sondern weil man mit soliden Allgemeinenbildung und antrainiertes analytisches Denken den Humbug von allen Grünen Apokalypsen sofort erkennt, und die Anhänger dieser Thesen bleiben eine kleine Sekte. Man konnte keine Fächer abwählen, heute dagegen wird die Hirnlosigkeit gezielt gezüchtet.
Abgesehen von wirklich hochwertige Hochschulbildung, die Sie beschreiben, sind mindestens die Hälfte (aus meiner Sicht) überflüssiger Humbug, der nur die Aufgabe hat, dass die Absolventen nicht Werte schaffen müssen, sondern sich auf Kosten der Gesellschaft den Arsch breit sitzen. Mal bei Gender angefangen, über Soziologen, Politikwissenschaftler bis zu Klimatilogen, alles sinnlos und überflüssig. Letztere haben ihr Dasein der Klimakirche zu verdanken, eigentlich sind es überflüssige Meteorologen. Bis vor Kurzem musste ein Heer von Meteorologen rechnen, um das Wetter von morgen vorherzusagen, heute machen es Computer. Alle überflüssig, sind aber da und es kommen neue. Und verdienen mit Untergangsmärchen. Und spüren im Hinterkopf, dass sie ohne Weltuntergang überflüssig werden, daher verbreiten sie den Schwachsinn mit maximalen Nachdruck.
Ich denke, das ist ebenso Teil eines Narrativs, in diesem Fall über die DDR.
Der eine labelt Menschen als „Wissenschaftsleugner“, der andere erklärt Menschen mit anderer Lebensgeschichte pauschal zu schlecht ausgebildeten Mitbürgern.
Beides folgt demselben Muster.
Aus meiner Sicht ist das ein klassischer Bestätigungsfehler (confirmation bias): Man beurteilt andere nach dem eigenen Wertesystem, der eigenen rosa Historie, den eigenen Interpretationen und dem eigenen Wissensstand.
Wer davon abweicht, ist dann wahlweise „Wissenschaftsleugner“ oder „ungebildet“.
Ironischerweise ist gerade diese Haltung kein Zeichen von Bildung.
In einem freien Land mit freien Bürgern sollte es deshalb genau andersherum laufen:
Statt Menschen zu etikettieren, zu pauschalisieren und zu beurteilen, sollten wir mit Argumenten und Fakten streiten, über Positionen, über Politik und über die bessere Begründung.
Wie wahr!
Werner Schulz 13. November 2025 21:52
Mein Eindruck: Das fachliche Ergebnis einer Diskussion zwischen Ihnen und Herrn Heß ist das gleiche wie das einer Diskussion zwischen Ihnen und Herrn Heinemann.
Der einzige Unterschied: Herr Heß reagiert seltener auf einen Ihrer Beiträge und beendet die Diskussion eher, ohne eine Wertung abzugeben. Herr Heinemann greift mehr Ihrer Kommentare auf, diskutiert länger und wertet irgendwann, wenn es zu toll wird …
Ihr Eindruck dann eben!
Nur im fachlichen und hoeflichen Umgang ist Herr Heß weit vorraus!
Und falls sie in dieser Diskussion auch nur eine fachlichen Beitrag von Herrn Heinemann finden, sagen sie Bescheid.
Sie sollten nicht nur den Namen aendern unter dem sie hier schreiben, sondern vielleicht auch eine andere Brille aufsetzen.
Richtig. Herr Schulz sabotiert jede Diskussion.
Mit Fragen, die sie nicht beantworten können, ein sehr persönlicher Akt der Sabotage, oder?
Herr Fischer,
die Antworten von Herrn Schulz sind knapp, aber verständlich. Ich habe von ihm viel gelernt. Herr Heinemann diskutiert tatsächlich länger, leider sind seine Hinweise völlig wertlos.
Frage: Hat er seine Schummelei berichtigt?
Arno Kuck 16. November 2025 12:18
„Ich habe von ihm viel gelernt.“
Ja – viel Unsinn.
„Herr Heinemann …, leider sind seine Hinweise völlig wertlos.“
Zutreffender: Sie prallen an Ihren Vorurteilen ab (Dunning-Kruger-Effekt: https://arbeits-abc.de/dunning-kruger-effekt/?utm_source=firefox-newtab-de-de )
Herr Ebel,
meinen Sie , dass ich Vorurteile gegenüber Herrn Heinemann habe. Ich kenne ihn nur über seine Ergebnisse. Und die sind schlecht.
Wenn Herr Heinemann z.B. berechnet, dass bei einer
0 (Tag)/310(Nacht)-Gegenstrahlung und einer 155/155-Gegenstrahlung die Werte für die Oberflächenabstrahlung 420 W/qm (Tag) und 360 W/qm(Nacht) identisch sein können, muss man schon den Kopf schütteln.
Ich habe ihm die Fehler seiner Rechnung geschrieben. Er hat auf eine Lösungsvielfalt gepocht.
Übrigens, Ihre Anmerkungen sind manchmal jenseits von Gut und Böse.
Arno Kuck 17. November 2025 14:50
Beurteilt mit Ihren Vorurteilen. Ich meine nicht Vorurteile gegen Herrn Heinemann, sondern Vorurteile bezüglich der Wissenschaft. Ob jedes Rüberbringen der Wissenschaft eine gute Form hat, steht auf einem anderen Blatt.
Nun könnte man diskutieren, wie Dunning und Kruger mit Vorurteilen zusammenhängen.
Herr Ebel,
sehen Sie sich doch einmal Klimatabellen von Städten an, deren mittlere Jahrestemperatur etwa 288 K entspricht (z.B. Melbourne).
Dann werden Sie feststellen, dass die Tages- und die Nachttemperatur 293 K und 283 K betragen, so wie die Temperaturwerte ungefähr für die Erde gelten.
Und so habe ich die Temperaturwerte errechnet, unter der Annahme, dass die nächtlichen Wolken die Erde warm halten.
Die Differenz zwischen Tages- und Nachttemperatur beträgt nur 10 K. Das ist gut für die Erde und für uns.
Sie wissen ja schon, dass bei einer Berechnung mit den Treibhausgasen Temperaturwerte von 303 K und 269 K errechnet werden.
Sie haben mir ja bestätigt, dass die Wolken eine große Rolle für Erdtemperatur spielen. Warum ist das nicht im KT-Modell eingeflossen?
Haben die Klimaretter Vorurteile vor den Wolken?
Arno Kuck 16. November 2025 12:18
Welche Antworten sollen das ein? Ich lese von ihm primär Fragen.
Die Schummelei ist eine unbelegte Behauptung von Ihnen. Wenn Sie den konkreten Temperaturverlauf selber berechnen würden, würden Sie auch erkennen, dass Ihr Vorwurf unberechtigt ist.
Herr Fischer,
meine Bedenken besteht immer noch.
Ich versuche es mal ganz einfach mit Gleichungen, nur mit Zahlen:
Fall 1: 155/155-Gegenstrahlung:
ET + 155 = XT + 205
XN = 155 + 205 = 360
Kürzung:
ET = XT + 50
XN = 310 + 50 = 360
und schon ist eine 0/310-Gegenstrahlung entstanden.
Ich weiß, dass Herr Heinemann den Fall 1, wie angegeben berechnet hat.
Wenn ich bösartig wäre, gäbe es Fälle 2 und 3.
Fall 2: 0/310-Gegenstrahlung
ET = XT + 50 = 470
XN = 310 + 50 = 360
Schummelei (1) :
ET + 155 = XT + 205
XN = 155 + 205 = 360
und schon ist eine 155/155-Gegenstrahlung erfunden.
Schummelei (2):
ET + 191 = XT + 241
XN = 119 + 241 = 360
und schon ist eine 191/119-Gegenstrahlung erfunden.
Es lassen sich beliebige weitere Schummeleien erfinden.
Bemerkung:
Herr Heinemann hat die Werte von XT und XN vorgegeben und das ist falsch.
XT und XN müssen berechnet werden. Das geht nur über eine weitere Bedingung:
Da die Erde seit tausenden von Jahren zusammen mit der Sonne ein eingeschwungenes Sonne-Erde-System entwickelt hat, gilt
XT – XN = absolut(QN) als dritte Gleichung.
Berechnet werden XT, XN und QN.
Bekannt sind ET(=470), GT(z.B. 0) und GN(z.B. 310).
Wenn Sie Fehler entdeckt haben, melden Sie sich bitte.
Arno Kuck 17. November 2025 16:51
Das ist nur eine Wiederholung dessen, was Sie die ganze Zeit erzählen.
Der Fehler ist, dass Sie gar nicht verstehen, was Herr Heinemann rechnet. Angefangen bei Dingen wie (siehe hier und ff)
Und dann werfen Sie Herrn Heinemann Schummelei vor …
Herr Fischer,
ich weiß, wie Herr Heinemann rechnet.
Die Gleichungen
Fall 1: 155/155-Gegenstrahlung:
ET + 155 = XT + 205
XN = 155 + 205 = 360
hat Herr Heinemann aufgestellt, nicht ich.
Und diese sind falsch.
Ich weiß dass f(t) eine Funktion der Zeit ist. Aber für die Berechnung der Gleichung Fall 1 benötigt man keine f(t) .
Für die Bewertung von zwei Temperaturwerte (Tag und Nacht) werden bewusst Mittelwerte über das Jahr genutzt.
Fällt es Ihnen schwer, zwei Gleichungen zu lesen? Wenn nicht, können Sie doch selbst eine kleine Grafik skizzieren.
Jetzt sage ich das, was Herr Ebel immer sagt:
Man soll sich die Temperaturverläufe des Wettermastes Hamburg ansehen. Dort sehen Sie Verläufe, die es nur an diesem Tag gibt. Jeder Tag hat eigene Temperaturverläufe.
Es ist doch besser, den Zustand der Tag-Halbkugel und der
Nacht-Halbkugel gleichzeitig zu sehen.
Eine kleine Aufgabe für Sie:
Versuchen Sie doch einfach einmal, die Gleichungen des Falles 1 zum Fall einer 0/310-Gegenstrahlung umzuformen.
Dann haben Sie zugleich die unbewusste Schummelei von Herrn Heinemann aufgedeckt.
Arno Kuck 18. November 2025 19:05
Wie man in der verlinkten Diskussion nachlesen kann, hielten Sie es für nötig, diese Frage zu stellen: „Welche Bedeutung hat (t)?“ Und da Herr Heinemann die Temperatur und Energieflüsse in Abhängigkeit von der Zeit bestimmt, braucht er offensichtlich Funktionen der Art f(t) und hatte die auch angegeben: E(t) + G(t) = X(t) + Q(t). In dem Graphen der Ergebnisse sieht man das auch in der unteren Hälfte, die auf der X-Achse die Zeit hat:

Die von Ihnen aufgeführten Werte sind die Mittelwerte von E(t), G(t), X(t), Q(t), T(t).
Mir nicht, Sie behaupteten „Ich habe Ihr Bild angesehen, … Die Bilanz am Tag erscheint mir fehlerhaft, denn Sonneneinstrahlung 470 W/qm und Oberflächenabstrahlung 420 W/qm. Die Differenz 50 W/qm fehlt.“ Die angeblich fehlenden 50 W/qm haben Sie schlicht nicht gesehen, da Sie nicht verstehen, was Herr Heinemann rechnet.
Herr Fischer,
ja, ich habe die 50 unter dem Bild vor langer Zeit nicht als 50 W/qm erkannt. Sie haben mich dann darauf aufmerksam gemacht. Was wärmen Sie eigentlich auf?
Die Grafik ist auch alt. Und die Berechnung ist nach wie vor falsch.
Arno Kuck 20. November 2025 8:09
Vor langer Zeit ist 11. September 2025, die letzte ausführliche Diskussion mit Herrn Heinemann (wenn ich mich recht entsinne).
Weil Sie mich aufgefordet haben: „Wenn Sie Fehler entdeckt haben, melden Sie sich bitte.“ und das ein Beleg dafür war, dass Sie nicht verstehen, was Herr Heinemann rechnet.
Dass die Grafik als ist, ändert nichts daran, dass sie zegt, dass Herr Heinemann die zeitabhängigen Energieflüsse und Temperatueren berechnet. Auf den Nachweis eines Fehlers darin warten „wir“ immer noch. Bisher behaupten Sie nur, dass die Berechnung falsch sei.
Herr Fischer,
ich habe Ihnen meine Berechnungen schon am 17.11. gezeigt.
Hier noch einmal meine Gleichungen und mein Bedenken:
Ich versuche es mal ganz einfach mit Gleichungen, nur mit Zahlen:
ET = 470 W/qm
XT = 420 W/qm (von Herrn Heinemann gewählt)
XN = 360 W/qm (von Herrn Heinemann gewählt)
Fall 1: 155/155-Gegenstrahlung:
ET + 155 = XT + 205
XN = 155 + 205 = 360
Kürzung der Tages-Gegenstrahlung
und des Bodenwärmestroms um 155:
ET = XT + 50
Erhöhung der Nacht-Gegenstrahlung und Kürzung der Wärmeabstrahlung in den Weltraum um 155:
XN = 310 + 50 = 360
und schon ist eine 0/310-Gegenstrahlung entstanden.
Ich weiß, dass Herr Heinemann den Fall 1, wie angegeben unbewusst falsch berechnet hat.
Wenn ich bösartig wäre, gäbe es Fälle 2 und 3.
Fall 2: 0/310-Gegenstrahlung
ET = XT + 50 = 470
XN = 310 + 50 = 360
Schummelei (1) :
ET + 155 = XT + 205
XN = 155 + 205 = 360
und schon ist eine 155/155-Gegenstrahlung erfunden.
Schummelei (2):
ET + 191 = XT + 241
XN = 119 + 241 = 360
und schon ist eine 191/119-Gegenstrahlung erfunden.
Es lassen sich beliebige weitere Schummeleien erfinden.
Bemerkung:
Herr Heinemann hat die Werte von XT und XN vorgegeben und das ist falsch.
XT und XN müssen berechnet werden. Das geht nur über eine weitere Bedingung:
Da die Erde seit tausenden von Jahren zusammen mit der Sonne ein eingeschwungenes Sonne-Erde-System entwickelt hat, gilt
XT – XN = absolut(QN) als dritte Gleichung.
Berechnet werden XT, XN und QN.
Bekannt sind ET(=470), GT(z.B. 0) und GN(z.B. 310).
Wenn Sie Fehler entdeckt haben, melden Sie sich bitte.
Arno Kuck 20. November 2025 13:09
Habe ich gelesen und angemerkt, dass Sie nur wiederholen, was Sie die ganze Zeit schreiben. Da gibt es keinen Fortschritt in der Diskussion.
Bei Herrn Heinemann wird X(t) mit der angegeben Gleichung berechnet und damit auch der Mittelwert XT und XN. Warum XT und XN mit den von Ihnen (indirekt) gewählten Werten übereinstimmen, hat er beschrieben.
Ihre Berechnung von XT, XN haben Sie noch nicht gezeigt. Und die Berechnung in Abhängigkeit von einer von Ihnen gewählten Temperatur zählt da nicht, da Sie diese Temperatur nicht berechnen, sondern nur wählen.
Ihre „Berechnungen“ stimmen auch nicht mit den Beobachtungen überein, siehe Diskussion von Satellitenmessungen und Messungen an der Oberfläche …
Herr Fischer,
Sie sollten alles lesen.
ET = 470 W/qm
XT = 420 W/qm (von Herrn Heinemann gewählt)
XN = 360 W/qm (von Herrn Heinemann gewählt)
Die Werte von XT und XN hat Herr Heinemann gewählt, nicht ich.
Ich habe ausdrücklich gesagt:
Herr Heinemann hat die Werte von XT und XN vorgegeben und das ist falsch.
XT und XN müssen berechnet werden.
Und ich berechne XT und XN durch die 3. Gleichung
XT – XN = QN (Wärmeabstrahlung in den Weltraum)
Denn sowohl XT als auch XN hängen nur von der nächtlichen Wärmeabstrahlung ab. Die übrigen Parameter sind alle bekannt.
Also muss man zunächst QN berechnen.
Arno Kuck 20. November 2025 14:40
Denken Sie wirklich, ich hätte das „(von Herrn Heinemann gewählt)“ zitiert, es aber nicht gelesen?
In einer der von Ihnen immer wieder gezeigten Tabellen steht:
Herr Heinemann hat den einen unspezifierten Parameter Wärmekapazität dazu genutzt, um die sich einstellenden Werte in die Nähe Ihrer Werte zu bekommen. Ihre Werte sind also die vorgegebenen (neben der Einstrahlung 470W/m² und der Gegenstrahlung 155W/m² über 24h bzw 310W/m² nachts). Ist Ihnen das auch entgangen? Haben Sie die Diskussion wirklich verfolgt?
Herr Fischer,
in der von Ihnen angegebenen Tabelle stehen nur Temperaturwerte für die 191-119-Gegenstrahlung (2. Spalte) und die
0-310-Gegenstrahlung (3. Spalte)
Herr Heinemann hat aber die berechneten Temperaturwerte (293 K, 283 K) aus dem Fall für eine 0-310-Gegenstrahlung verwendet, aber dann selber mit einer 150-150-Gegenstrahlung gerechnet.
Statt der von mir berechneten Wärmeabstrahlung von 53,5 W/qm hat Herr Heinemann eine Wärmeabstrahlung von 205 W/qm errechnet.
Die wichtige Bedingung XT-XN = abs(QN) wurde nicht erfüllt.
Denn XT-XN = 60 W/qm ist ungleich 205 W/qm.
Die von Herrn Heinemann benutzten Gleichungen hätten schadlos den Wert für die Wärmeabstrahlung QN in den möglichen kleinsten Wert (50 W/qm) der nächtlichen Wärmeabstrahlung umgeformt werden können.
Dann ist die Abweichung der Bedingung in XT-XN = QN +10 W/qm
deutlich geringer als die von Herrn Heinemann:
XT-XN = 205 W/qm.
Arno Kuck 20. November 2025 20:20
Ich weiss nicht, auf welche Tabelle sie kucken, aber in der von mir gerade im Kommentar gezeigten Tabelle stehen in jeder Spalte Temperaturen. In der ersten nur eine, in der 2. – 4. je für Tag und Nacht.
Ist Ihnen wirklich der Zweck der ganzen Übung entgangen?
Herr Heinemann hat das explizit gemacht, um Ihnen zu zeigen, dass sich in beiden Fällen (0-310 vs 155-155) die gleichen Temperaturen einstellen können. Und im Gegensatz zu Ihrer Pi-mal-Daumen-Schätzung tatsächlich auf Basis physikalischer Gesetze berechnet.
Er hat halt im Gegensatz zu Ihnen tatsächlich gerechnet. Und wenn bei Ihnen 363,3-310=53,3 gilt, warum ist dann das 360-155=205 falsch?
Ich habe keine Ahnung, welche Zahlen Sie hier von einander abziehen. Es sind
Ihre Forderung ist erfüllt, Sie vergleichen nur die falschen Dinge miteinander. Und es gibt bei Herrn Heinemann keine Kombination von Abstrahlungen, die 60W/m² Differenz ergibt.
Es bleibt dabei – Sie haben keine Ahnung, was Herr Heinemann gerechnet hat, obwohl er es in Formeln dargelegt und die Ergebnisse graphisch dargestellt hat – sowohl in Ahnängigkeit von der Zeit als auch die Mittelwerte.
Herr Fischer,
Herr Heinemann hat das explizit gemacht, um Ihnen zu zeigen, dass sich in beiden Fällen (0-310 vs 155-155) die gleichen Temperaturen einstellen können. Und im Gegensatz zu Ihrer Pi-mal-Daumen-Schätzung tatsächlich auf Basis physikalischer Gesetze berechnet.
Nein, das hat er nicht (siehe Korrektur):
Gleichungen 1 (Tag und Nacht)
Gleichungen 2 (Tag und Nacht)
470+155-420 = 205 korrigiert in 470 – 420 = 50 (-155)
155 – 360 =-205 korrigiert in 310 – 360 = -50 (+155)
Die Korrektur zeigt, dass die Gleichungen 1 und 2 vollkommen identisch sind.
Herr Heinemann hat nicht beachtet, dass die Gleichung
XT(420) – XN(360) = QN(205) nicht stimmt.
Durch die Korrektur verringert sich der Fehler von QN deutlich:
XT(420) – XN(360) = QN(50)
Jetzt habe ich Ihnen zum 3. Mal erläutert, warum Herr Heinemann falsch gerechnet hat, und wie er die Fehler hätte korrigieren können.
Die Erde dreht sich seit Tausenden von Jahren um die eigene Achse und einmal im Jahr um die Sonne. Das Sonne-Erde-System ist daher eingeschwungen.
Die Halbkugeln der Erde (Tag und Nacht) haben nahezu konstante Werte. Die sich drehende Nacht-Halbkugel strahlt ständig 53,3 W/qm
( = 363,3 W/qm – 310 W/qm) in den Himmel ab und die Sonne erwärmt ständig die Tag-Halbkugel mit 53,3 W/qm (= 470 W/qm – 416,6 W/qm).
Die Gleichung
XT(416,6 W/qm) – XN(363,3 W/qm) = QN(53,3 W/qm)
ist erfüllt.
Dieses Ergebnis kann man durch Messungen von CERES nicht erhalten, weil CERES keine Temperaturwerte der Erde misst.
Aber in Klimatabellen kann man ablesen, ob die Rechnungen stimmen. Geeignet sind alle Städte, deren mittlere Erdtemperatur etwa 288 K beträgt (Beispiele Melbourne, Pisa, Nashville).
Arno Kuck 21. November 2025 15:37
Sie mögen das, was er gemacht hat, ja für falsch halten. Aber das ändert nichts daran. dass das das Ziel der Übung war.
Sie können nicht einfach von 5 Energieflüssen 2 herauspicken und dann irgend welche Differenzen bilden. Wenn die Temperaturverläufe gleich bleiben soll, muss sich die Oberfläche am Tag aufwärmen und Nachts abkühlen und das (in diesem Beispiel) immer wieder auf die gleiche Weise. Die Oberfläche muss also am Tage Energie aufnehmen, um sich zu erwärmen und die gleiche Energie nachts wieder abgeben. Und die nimmt nunmal am Tage 470+155-420 = 205W/m² auf und gibt Nachts 155-360=-205W/m² wieder ab. Das ist also perfekt ausgeglichen.
Wenn Sie da einen Fehler aufzeigen wollen, müssen Sie wohl oder übel die Temperaturverläufe nachrechnen. Einfach nur ein paar Zahlen irgendwo abziehen reicht da nicht …
Das wird durch ständiges Wiederholen nicht wahrer.
CERES misst die Abstrahlung, sieht also Werte, die den von Ihnen postulierten widersprechen.
Der Highlight in der Hinsicht ist aber diese Frage: „Kann es sein, dass die nächtlichen Wolken ebenfalls in den Weltraum abstrahlen?„ Darauf hatte ich Sie neulich bereits hingewiesen:
Irgendwie erwecken Sie hier den Eindruck, keine Ahnung von dem zu haben was Sie da schreiben …
Das war auch meine Schlußfolgerung. Er weiß nicht, was er tut.
Herr Fischer,
die gemessenen Temperaturwerte sagen etwas ganz anderes. Ob die CERES-Daten stimmen, stehen auf einem anderen Blatt.
Sie müssen bedenken, dass nicht nur die nächtliche Wärmeabstrahlung der Erde, sondern auch den Anteil der nächtlichen Wärmeabstrahlung der Wolken berücksichtigt werden muss.
Wie Sie selbst sagen, sind die nächtlichen Wolken wärmer als -95 Grad C.
Die von CERES ermittelten Werte beim TOA sind die Summe von der Abstrahlung der Erde und der Abstrahlung der Wolken.
Die Fehler von Herrn Heinemann scheinen Sie nicht zu verstehen.
Sie haben auch nicht verstanden, dass eine 0-155-Gegenstrahlung und eine 155-155-Gegenstrahlung und eine 191-119-Gegenstrahlung identische Temperaturwerte für die Tagseite und Nachtseite bei gleicher Sonnenstrahlung erzeugen können.
Das gilt übrigens für jede x-(310-x)-Gegenstrahlung.
Der Fehler von Herrn Heinemann ist, dass er die
Bedingung
XT-XN = QT= -QN nicht einhält.
Damit beende ich den Nachhilfeunterricht.
Arno Kuck 21. November 2025 23:31
Habe ich. Und ich habe Sie auf die Konsequenzen für Ihr „Modell“ hingewiesen. Sie ignorieren oder verstehen die nur nicht.
Wenn die nächtliche Abstrahlung ein Mittelwert aus Abstrahlung der Erdoberfläche und der Wolken sind, dann heisst das, dass nachts maximal 15% wolkenfreier Himmel sein darf – dann kommen die 53,3W/m^2 komplett von der Erdoberfläche. Das ist komplett illusorisch.
Ja, aber das heisst, die strahlen mehr als 53W/m^2 ins All ab. Dass Ihnen jetzt erst auffällt, dass die auch ins All abstrahlen ist der größte Witz an der Geschichte …
Ja, und die sind nachts größer als die von Ihnen angegebenen 53W/m^2 und tagsüber kleiner als die von Ihnen angegebenen 416W/m^2 …
Eine frei erfundene Bedingung – zumindest der erste Teil XT-XN. Im Gegensatz dazu hält Herr Heinemann die vom Energieerhaltungssatz vorgegebenen Bedingungen ein und bei Ihm ist die Energieflussbilanz ausgeglichen – der Überschuss am Tag ist genau das Defizit der Nacht: QT = -QN,
470-265 = 470+155-420 = 205 = -(-205) = -(0–205) = -(0+155-360)
Ich bin nicht böse, wenn Sie die endlose Wiederholung Ihrer Behauptungen beenden.
Herr Fischer,
der Vergleich von CERES und meinen Daten ist dadurch erschwert, dass CERES die Daten wahrscheinlich auf die gesamte Erdoberfläche bezieht (von CERES nicht angegeben), ich aber auf eine Halbkugel.
der größte Witz an der Geschichte …
ist, dass CERES nicht auf die nächtlichen Wolken hinweist und so tut, als würden die Treibhausgase die 235 W/qm bewirken.
Eine frei erfundene Bedingung –
Wenn die Temperatur der Tagseite (293 K, 417 W/qm) nach 12 Stunden zur Temperatur der Nachtseite (283 K, 363 W/qm) wird, liegt es wohl daran, die Abkühlung (417 W/qm – 363 W/qm) = 54 W/qm beträgt. Wenn die Abkühlung 205 W/qm betragen würde, wäre die Temperatur der Nachtseite deutlich niedriger oder nicht.
470-265 = 470+155-420 = 205 = -(-205) = -(0–205) = -(0+155-360)
Man kann Gleichungen auch kürzen, um den Kern der Gleichung zu erfassen (hier -155):
470-420 = 470 -420 = 50 = -(-50) = -(0-50) = -(0 +310 -360)
Also des Pudels Kern: 0-310-Gegenstrahlung
Arno Kuck 22. November 2025 12:51
Herr Heß hat Ihnen die Daten aufgeschlüsselt nach Tag und Nacht gezeigt (ich nehme an, von hier, table 9).
Dieser Text suggeriert mir, dass Sie auch nicht verstanden haben, was beim Erwärmen bzw. Abkühlen eines Körpers passiert. (Physik Klassenstufe 8)
Sagt Ihnen der Begriff Wärmekapazität
etwas? Kam in der differentiellen Schreibweise bei Herrn Heinemann vor. Ein Körper kühlt sich nicht um 10 Grad ab, wenn „die Abkühlung (417 W/qm – 363 W/qm) = 54 W/qm beträgt„, sondern wenn er eine Wärmemenge von
verliert. Das könnte Ihnen sogar Herr Strasser erklären …
Nachdem (bzw. falls) Sie das verstanden haben, können Sie einen Blick auf die Wärmekapazität in den verschiedenen Situationen werfen und sich Ihre Frage „Wenn die Abkühlung 205 W/qm betragen würde, wäre die Temperatur der Nachtseite deutlich niedriger oder nicht?“ selbst beantworten.
Herr Fischer,
Ihr Papier kannte ich nicht. Danke für die Übersendung.
Ich kannte nur die Tafel 9.
Ich hätte gedacht, dass die Gleichung
SW = Daytime LW + Nighttime LW
lauten müsste.
Ich werde versuchen, das zu prüfen.
Die Wärmekapazität benötige ich nicht, weil die Werte des „Paares“ Tagseite und Nachtseite nahezu konstant bleiben, denn sie die rotierende Erde sorgt dafür (416,7 W/qm und 53,3 W/qm)..
Die Wärmeabstrahlung von 53,3 W/qm sorgt dafür, dass der Temperaturwert 283 K der rotierenden Nachseite konstant bleibt.
Ich zeige Ihnen jetzt eine Schummelei:
Fall 1: 0-310-Gegenstrahlung
470-420 = 470 – 420 = 50 = -(-50) = -(0-50) = -(0 +310 -360)
Man benötigt gar nicht, unbedingt (wie Herr Heinemann) eine
155-155-Gegenstrahlung mit identischen Werten der Oberflächenabstrahlung für Tag- und Nachtseite
(420 W/qm und 360 W/qm) zu berechnen.
Man muss nur zu jedem Teil der Gleichungen 155 W/qm addieren:
470+155-420 = 470-265 = 205 = -(-205) = -(0–205) = -(0+155-360)
So entsteht ganz leicht eine geschummelte 155-155-Gegenstrahlung,
allerdings mit einer unsinnigen Wert (205 W/qm) der Wärmeabstrahlung in den Himmel.
Arno Kuck 23. November 2025 19:45
Es war der erste Link bei einer Google Suche nach der Tabellen-Beschreibung …
Im Mittel über lange Zeiträume. Schauen Sie sich einen Graphen der globalen Mitteltemperatur Temperatur über das Jahr an, die ist im Januar am niedrigsten und im July/August am höchsten. Die Differenz SW – ( Daytime LW + Nighttime LW )/2 könnte Erwärmung/Abkühlung hinweisen …
Wenn das so einfach geht: Woran machen Sie fest, welche der beiden Varianten die „Schummelvariante“ ist? Bestimmen Sie das mit einem festen Aufstampfen? Oder müßten Sie eher andere Dinge heranziehen, wie z.B. tatsächliche Messungen? Und bei den tatsächlichen Messungen wurden Ihnen jede Menge Messungen gezeigt, die Ihrer Variante wiedersprechen …
Haben Sie wenigstens verstanden, dass Ihr Argument „Wenn die Abkühlung 205 W/qm betragen würde, wäre die Temperatur der Nachtseite deutlich niedriger.“ falsch war?
Herr Fischer,
Die Differenz SW – ( Daytime LW + Nighttime LW )/2 könnte Erwärmung/Abkühlung hinweisen
alternativ: 2malSW = Daytime LW + Nighttime LW
Die Daten sind alt. CERES wurde genutzt, um die Daten der KT-Bilanz zu eichen. Daher wurden Werte der Tagesseite und der Nachtseite gemittelt betrachtet. Bei starker Bewölkung würde die
Wenn das so einfach geht: Woran machen Sie fest, welche der beiden Varianten die „Schummelvariante“ ist?
Mit einer x-(310-x)-Gegenstrahlung können beliebige Varianten erzeugt werden.
Das habe ich Ihnen bereits gesagt, XT-XN=QT muss beachtet werden.
Die Differenz von Temperaturwerte von Tag und Nacht beträgt 10 K.
Die aktuellen Werte der Oberflächenabstrahlung sind daher
417 W/qm (Tag) und 363 W/qm (Nacht).
Die Differenz 54 W/qm ist die kleinstmögliche.
Und das ist gut so für die Erde und für uns.
Herr Fischer,
Zweite Antwort:
Der übliche Rechengang ist:
XT, XN, QT unbekannt
Drei Gleichungen (bekannt ET, GT, GN)
ET + GT = XT + QT
XN = GN + QT
XT-XN = QT
= (ET + GT – QT) – (GN+QT)
Also QT = (ET + GT – GN)/3
0-310-Gegenstrahlung: QT = 53,3 W/qm
155-155-Gegenstrahlung: QT = 156,6 W/qm
Herr Fischer,
Danke, dass Sie es nochmal mit Herr Kuck probieren. Er macht immer noch keine Anstalten, es zu kapieren.
Herr Heinemann,
Nachhilfeunterricht wünschen, aber nichts richtig lesen und nichts verstehen. Schämen Sie sich nicht dafür?
Herr Kuck,
Ich kann meine Fragen, die Sie beständig nicht beantwortet haben, auch als Wunsch nach Nachhilfe deklarieren.
Sie sibd mir die Anwort auf die physikalische Existenz Ihres „Satzes XT-XN =QT“ schuldig. Sie haben ihn nie aus physikalischen Gesetzen herleiten können.
Für mich heißt diese stete Verweigerung, dass Sie es nicht können und Ihr Satz eine frei erfundende Behauptung ohne reale Existenz ist.
Herr Heinemann,
ich habe Ihnen gesagt, dass der gesunde Menschenverstand sagt, dass die Bedingung XT-XN = QT „obvious“ ist, wenn das Sonne-Erde-System eingeschwungen ist. Das Sonne-Erde-System wirkt schon seit tausenden von Jahren, daher wird das stimmen.
Stimmen Sie mir zu, dass die Temperaturwerte der Tag- und Nachtseite 293 K und 283 K betragen?
Hinweis:
Die Temperaturdifferenz beträgt gerundet 10 K. Gut sichtbar ist auf aktuellen Temperaturverläufen von Wetter-Apps dieser Wert.
Und jetzt rechnen Sie einmal die Werte der Oberflächenabstrahlung der Tagseite und der Nachtseite aus und deren Differenz:
XT(416,6 W/qm) – XN(363,3 W/qm) = QT(53,3 W/qm)
Probe: ET(470 W/qm) – XT(416,6 W/qm) = QT(53,3 W/qm)
XN(363,3 W/qm) – GN(310 W/qm) = QT(53,3 W/qm)
Sind Sie jetzt zufrieden?
Herr Kuck
Das beantwortet erneut meine Frage nach den zugrundeliegenden physikalischen Gesetzen, die dieser Gleichung zugrundeliegen nicht. Wenn es Ihnen obvious erscheint, wäre es für Sie ja ein leichtes, diese physikalischen Zusamnenhänge anzugeben.
Da Sie diese Frage erneut nicht beantworten, stehen Sie immer noch unter drm Verdacht, die Formel frei ohne Bezug auf die Realität erfunden zu haben.
Herr Heinemann,
haben Sie meine Antwort vom 24.11.25 15:18 nicht verstanden?
Wenn nicht, kann ich Ihnen nicht helfen.
Hinweis:
Sie dürfen (müssen!) selbst beliebige Bedingungen aufstellen.
z.B.: XT-XN = QT + 10 W/qm (falls Sie das sinnvoll belegen können).
Was nicht geht:
Unendliche Lösungen für (x-(310-x))-Lösungen zu erfinden.
Darin sind Sie offensichtlich erfinderisch.
Zu den zugrundeliegenden physikalischen Gesetzen gehört,
dass es nur eine Lösung gibt.
XT(416,6 W/qm) – XN(363,3 W/qm) = QT(53,3 W/qm)
Probe: ET(470 W/qm) – XT(416,6 W/qm) = QT(53,3 W/qm)
Probe: XN(363,3 W/qm) – GN(310 W/qm) = QT(53,3 W/qm)
Bezweifeln Sie die Temperaturwerte 293 K und 383 K?
Herr Kuck,
Wenn Ihr Gleichungssystem unterbestimmt ist, so ist es keine Lösung fehlende Gleichungen zu erfinden.
M.a.W. Sie bestätigen mich und geben zu, dass Ihr „Satz“ keine Realität hat.
Nun ja, trifft für meine Ergebnisse nicht zu. Mit Ihren vorgegebenen Randbedingungen gibt es wie Sie gesehen haben für jedes C genau eine Lösung (darunter freilich – wie wir gesehen haben – gibt es Lösungen für verschiedene Cs gleiche 12h-Mitteln).
Herr Heinemann,
hat Ihnen Herr Fischer nicht gezeigt, wie Sie geschummelt haben?
Und wann hören Sie damit auf?
Ich zeige Ihnen jetzt Ihre Schummelei:
Fall 1: 0-310-Gegenstrahlung
470-420 = 470 – 420 = 50 = -(-50) = -(0-50) = -(0 +310 -360)
Man benötigt gar nicht, unbedingt (wie Herr Heinemann) eine
155-155-Gegenstrahlung mit identischen Werten der Oberflächenabstrahlung für Tag- und Nachtseite
(420 W/qm und 360 W/qm) zu berechnen.
Man muss nur zu jedem Teil der Gleichungen 155 W/qm addieren:
470+155-420 = 470-265 = 205 = -(-205) = -(0–205) = -(0+155-360)
So entsteht ganz leicht eine geschummelte 155-155-Gegenstrahlung,
allerdings mit einer unsinnigen Wert (205 W/qm) der Wärmeabstrahlung in den Himmel.
Und: Haben Sie meine Antwort vom 24.11.25 15:18 immer noch nicht verstanden?
Mit Ihren vorgegebenen Randbedingungen gibt es wie Sie gesehen haben für jedes C genau eine Lösung (darunter freilich – wie wir gesehen haben – gibt es Lösungen für verschiedene Cs gleiche 12h-Mitteln).
Welche Cs wollen Sie benutzt haben?
Und welchen Einfluss sollen die Cs gehabt haben?
I
Arno Kuck 25. November 2025 14:19
Ich habe Ihnen gezeigt, dass Ihre Behauptung der Schummelei falsch ist.
Das C steht (indirekt) auch in den Graphen. Und welchen Einfluss das hat, habe ich Ihnen am 22. November 2025 19:58 erklärt. Physik achte Klasse … Ist das echt zu hoch für Sie?
Herr Fischer,
der grundsätzliche Fehler ist, dass Herr Heinemann ohne zwingenden Grund eine DGL einsetzt.
F(t) ist unnötig.
Wenn Herr Heinemann seine zwei Gleichungen nicht fertig rechnet, nämlich nicht kürzt, wo kürzen möglich ist, hat er schon geschummelt.
Herr Kuck,
Die Natur funktioniert aber so. Schließlich existiert die Temperatur zu jedem Zeitpunkt und wird über die diabatischen Gleichung, eine Differenzialgkeichung, bestimmt.
Ihre Mittelwerte sind determiniert durch diese Zeitfunktionen.
Die Umgekehrung ist aus mathematischen Gründen nicht eindeutig.
Herr Kuck,
Die Natur funktioniert aber so. Schließlich existiert die Temperatur zu jedem Zeitpunkt und wird über die diabatischen Gleichung, eine Differenzialgkeichung, bestimmt.
Ihre Mittelwerte sind determiniert durch diese Zeitfunktionen.
Die Umgekehrung, wie Sie sie versuchen, ist aus mathematischen Gründen nicht eindeutig.
Herr Heinemann,
ich berechne das Jahresmittel zweier Temperaturwerte (Tagseite und Nachtseite).
Diese zwei Mittelwerte sind von keiner Zeitfunktion abhängig.
Ich benötige nur drei Gleichungen, um drei Temperaturwerte und den Bodenwärmestrom zu berechnen.
Erklären Sie mir genau:
Die Umkehrung, wie Sie sie versuchen, ist aus mathematischen Gründen nicht eindeutig.
Bei Ihren Berechnungen gibt es dagegen sogar unzählige nicht eindeutige Ergebnisse.
Arno Kuck 25. November 2025 21:55
Es ist die einzige Möglichkeit, eine Temperatur der Oberfläche zu ermitteln statt einfach eine zu wählen. Aber dass wird sich Ihnen erst erschliessen, wenn Sie tatsächlich versuchen, eine Temperatur zu bestimmen.
Erfahren wir noch, ob Sie verstehen, was die Wärmekapazität ist und warum Herr Heinemann die braucht? Oder müssen wir wirklich davon ausgehen, dass Sie an Physik der 8. Klasse scheitern?
Herr Fischer,
Es ist die einzige Möglichkeit, eine Temperatur der Oberfläche zu ermitteln statt einfach eine zu wählen.
Ich berechne die Tag- und die Nachttemperatur, Herr Heinemann berechnet XT und XN nicht. Sondern er berechnet unsinnige Werte des Bodenwärmestroms.
Erfahren wir noch, ob Sie verstehen, was die Wärmekapazität ist und warum Herr Heinemann die braucht? Oder müssen wir wirklich davon ausgehen, dass Sie an Physik der 8. Klasse scheitern?
Ich habe in einem Forschungsinstitut der Stahlindustrie gearbeitet und z. B. die Erwärmung von Brammen in Öfen errechnet. Mit DGls kenne ich mich sicher besser aus Sie.
Mit Ihren vorgegebenen Randbedingungen gibt es wie Sie gesehen haben für jedes C genau eine Lösung (darunter freilich – wie wir gesehen haben – gibt es Lösungen für verschiedene Cs gleiche 12h-Mitteln).
Das sehen Sie ja an den Lösungen (Bild). Blind? Wenn Sie zeigen, dass Sie wissen, was eine Differenzialgleichung ist, erkläre ich es Ihnen nochmal.
Herr Heinemann,
Das sehen Sie ja an den Lösungen (Bild). Blind?
Ich sehe im Bild nur falsche (oder geschummelte) Daten.
Der grundsätzliche Fehler ist, dass Sie ohne zwingenden Grund eine DGl einsetzen.
F(t) ist unnötig.
Wenn Sie zwei Gleichungen nicht fertig rechnen, nämlich nicht kürzen, wo kürzen möglich ist, haben Sie schon geschummelt.
Wenn Sie zeigen, dass Sie wissen, was eine Differenzialgleichung ist, erkläre ich es Ihnen nochmal.
In meinem Arbeitsleben habe ich ganz sicher mehr DGLs genutzt als Sie.
Allerdings, Lösungen und Ergebnisse sind umso überprüfbarer, je einfacher die Lösungsmethode ist.
In der KT-Bilanz tauchen ja auch keine DGls auf. Allerdings haben Kiehl und Trenberth nicht erkannt, dass Tagseite und Nachtseite der Erde zwei unterschiedliche Seiten sind.
Arno Kuck 26. November 2025 9:02
Vielleicht sollten Sie den Artikel aus 2009 mal lesen. Die haben dort nicht nur Tag und Nacht betrachtet, sondern eine feinere zeitliche Auflösung und auch geprüft, welchen Einfluss eine größere räumliche Auflösung hat. (... If we instead take the daily average values, thereby removing the diurnal cycle effects, …)
Herr Fischer,
sondern eine feinere zeitliche Auflösung und auch geprüft, welchen Einfluss eine größere räumliche Auflösung hat.
Was versteckt sich in diesem Satz?
Haben Kiehl und Trenberth ihre KT-Bilanz geändert?
Arno Kuck 29. November 2025 9:59
Der indirekte Hinweis, dass Sie gar nicht wissen, was in den Artikeln zur Energiebilanz der Erde steht. Lesen Sie den Artikel doch einfach mal. Oder wissen Sie nicht, wie man den findet? Sie können schon im Abstract lesen, dass die „spatial and temporal variability“ berücksichtigt haben.
Herr Kuck,
2 Fehler bzw. Punkte, die Sie immer noch verwechseln:
Benötige ich auch nicht. Wie Ihnen mehrmals vorgelegt wurde, erst hier nochmals durch Herr Fischer, für 0/310 UND 155/155 bei angepassten Cs zu Ihren vorgegebenen Temperaturen 393K /383 K.
Ist Ihnen ebensooft erklärt worden: QT=205 (hier) ist der Bodenwärmestrom. Der geht nicht in den Himmel!
Wie Ihnen mehrmals vorgelegt wurde, erst hier nochmals durch Herr Fischer, führen beide, 0/310 UND 155/155, bei angepassten Cs zu Ihren vorgegebenen Temperaturen 293K /283 K.
Herr Heinemann,
also sind die „angepassten“ Cs plötzlich „Parameter“?
Dabei können 0/310(a) UND 155/155 (b) durch Addition und Kürzung aller beteiligten Gleichungen a nach b bzw. b nach a durch 155 umgewandelt werden ( ohne Cs).
Glauben Sie wirklich, dass bei (b) der Wert QT = 205 zu
XT-XN = 60 passt.
Da Sie wählen müssen, ist bei (a) der Wert 50 seriöser.
Besser wäre es aber, wenn Sie nur eindeutige Ergebnisse liefern würden.
Herr Heinemann,
Wenn Ihr Gleichungssystem unterbestimmt ist, so ist es keine Lösung fehlende Gleichungen zu erfinden.
Sondern? Etwa beliebig zu Schummeln, und den gesunden Menschenverstand abzuschalten. Oder aus einer riesigen Lösungsvielfalt eine Lösung auswürfeln?
Mein gesunder Menschenverstand sagt mir: XT-XN=QT
M.a.W. Sie bestätigen mich und geben zu, dass Ihr „Satz“ keine Realität hat.
Nein, ich wollte Ihnen nur sagen, wenn Sie unbedingt schummeln wollen, dann schummeln Sie doch einfach weiter ?
Nun ja, trifft für meine Ergebnisse nicht zu. Mit Ihren vorgegebenen Randbedingungen gibt es wie Sie gesehen haben für jedes C genau eine Lösung (darunter freilich – wie wir gesehen haben – gibt es Lösungen für verschiedene Cs gleiche 12h-Mitteln).
Das haben Sie nicht! Sie müssen Ihre Gleichungen bis zum Ende durchrechnen.
Und Sie haben noch nicht einmal bemerkt, dass die Bedingung
XT-XN = QT + 10 W/qm
aufgestellt haben.
Immerhin, endlich geben Sie es zu! Ich wußte, dass Sie keinen Grund nennen können.
gesunder Menschenverstand = göttliche Eingebung = Ersponnen
PS das = wird hier im Sinne von äquivalenter Auswirkung benutzt.
Herr Heinemann,
haben Sie mein replay vom 25.11. 8:27 nicht verstanden?
Ich habe Sie gefragt, ob die Temperaturwerte 293 K (Tag ) und 283 K (Nacht) stimmen?
Da Sie mit ähnlichen Temperaturwerten rechnen, nehme ich an, dass Sie den Werten zustimmen. Die Temperaturwerte wurden unter der Annahme berechnet, dass eine 0-310-Gleichung vorliegt.
Ich habe für diese Temperaturwerte die Gleichung
XT-XN = QT aufgestellt:
XT(416,6 W/qm) – XN(363,3 W/qm) = QT(53,3 W/qm) (? oder !)
Und nun berechne ich zwei weitere Gleichungen:
ET(470 W/qm) – XT(416,6 W/qm) = QT(53,3 W/qm) !
XN(363,3 W/qm) – GN(310,0 W/qm) = QT(53,3 W/qm) !
Damit ist bewiesen: XT-XN = QT
Mein gesunder Menschenverstand hat sich also nicht geirrt.
Herr Kuck
Nun, das waren die beiden Werte, die Sie als Tag- und Nachtmittelwerte vorgaben. Ob die stimmen, müssen Sie doch wissen. Ich habe sie nur von Ihnen.
Ja, schon klar, das wissen wir bereits, die Gleichung haben Sie erfunden.
In Realität gilt XT-XN = QT i.a. aber nicht. Denn es gilt keinen physikalischen Grund für diese Gleichung. Sie kann in Ihrem besonderen Fall zufällig gelten, in anderen gilt sie nicht.
Nehmen Sie doch einfach ein paar reale Temperaturverläufe vom Hamburger Wettermast und überprüfen Sie Ihre Gleichung damit.
Verstehen Sie meinen Einwand? Frei erfundene Gleichungen sind ungültig.
Herr Heinemann,
Verstehen Sie meinen Einwand? Frei erfundene Gleichungen sind ungültig.
Glauben Sie immer noch ein frei erfundene Gleichungen?
Wenn nicht, werden Sie traurig sein.
Manchmal fälle es einem wie Schuppen von den Augen:
XT + XN = ET + GT + GN = 470 W/qm + 310 W/qm = 780 W/qm
XT = 390 + QT/2
XN = 390 – QT/2
XT-XN = QT
q.e.d.
Herr Kuck,
Sie beziehen sich auf Ihre trivialen Aufteilungen der globalen Werte auf die Tag- und Nachthälften:
XT + XN = ET + GT + GN = 470 W/qm + 310 W/qm = 780 W/qm
Das ist korrekt und trivial. Falsch ist an diesen Beziehungen nicht die Mathematik, sondern die Zuordnung zur physikalischen Größe des Bodenwärmestroms Q.
Falsch:
Richtig (trivial) ist
XT = 390 + Z/2
XN = 390 – Z/2
XT-XN = Z
q.e.d.
Z ist durch die letzte Gleichung definiert und ist nicht der Bodenwärmestrom, sondern die Differenz QT-QN.
Herr Heinemann,
Z ist durch die letzte Gleichung definiert und ist nicht der Bodenwärmestrom, sondern die Differenz QT-QN.
Wie kommen Sie denn darauf
Wenn der Bodenwärmestrom den Wert QT = 0 W/qm hätte,
wäre XT = XN = 390W/qm (so wie im KT-Modell).
Das heißt, dass die Sonnenstrahlung im KT-Bilanz der Erde keinen Bodenwärmestrom sendet, denn ET + GT = 390 W/qm = XT.
Wenn die Werte von XT und XN in gleichem Maße vergrößert oder verringert werden, dann durch den jeweiligen halben Bodenwärmestrom.
Was sollte denn Z sonst sein, wenn nicht QT?
Oder glauben Sie, dass der Mars oder unser Mond die Erdtemperatur verändern?
Herr Kuck
Ihre Annahme QT=0 ist offensichtlich falsch.
Weil der Bodenwärmestrom Q = E + G -X ist.
Weil der Bodenwärmestrom Q = E + G -X ist. Und damit QT = ET + GT – XT ist.
Herr Kuck,
Falsch. Im KT-Modell gilt nicht XT=XN, es ist dort (XN+XT)/2 = 390 W/qm angegeben.
Auch falsch.
Ende? Das ist erreicht. Denn alle Größen liegen als Kurvenverlauf ja vor und die Energieerhaltung ist gemäß Ihrem Modell zu jedem Zeitpunkt erfüllt.
Warum stellen Sie eine zweite Fantasiegleichung auf, die von Ihrem „Satz“ um 10 W/qm abweicht? Wollen Sie durch diesen mathematischen Widerspruch zeigen, dass es beides Unsinn ist?
Herr Heinemann,
wenn Sie 155 W/qm abziehen, haben Sie eine 0-310-Gegenstrahlung.
Was ist gut für die Erde?
Wenn die Temperaturdifferenz zwischen Tag und Nacht möglichst klein! Das ist gut für die Erde und für uns.
Das gelingt nur mit einer 0-310-Gegenstrahleng.
Ihre Frage ist für Ihr unterbestimmtes Gleichungsproblem irrelevant.
Ihr Punkt ist, dass die globale Bilanz keine eindeutigen Rückschlüsse auf die Energieflüsse auf die von Tag und Nacht zulässt.
Um doch zu machen, nehmen Sie empirische Daten hinzu und müssen zusätzlich irreale Zusatzbedingungen erfinden.
Die globale Energiebilanz für ein einfaches Modell ohne Konvektion liefert die Beziehungen 1) ET + GT + GN = XT +XN.
Bekannt sind daraus auch die Werte ET = 470 W/qm und XT+XN = 2× 390 = 780 W/qm. Mehr nicht.
Damit ist
A) unbekannt, wie sich GT und GN aufteilen, man entnimmt der Bilanzgleichung nur, dass GT+GN = 310 W/qm betragen muss. Zudem ist B) die Aufteilung von XT und XN unbekannt. Man kann nur schreiben XT = XG + Z/2 und XN = XG – Z/2. Mit XG = 780/2 = 390 W/qm und einer Unbekannten Z.
Zudem gelten aufgrund der Energieerhaltung zu jeder Zeit für die Bodenwärmeströme Q: 2) Q(t) = E(t)+G(t)-X(t) und Stationarität QT=-QN. QT bleibt alleine mit den Bilanzgleichungen aber unbestimmt.
Mehr geht bilanzmäßig nicht. Den Rest liefert zusätzlich Physik, aber nicht Ihre Einbildung, Herr Kuck!
Herr Heinemann,
Wir verwenden in den Gleichungen ET, GT, GN, XT,XN, QT(=- QN)
Vorgegebene Parameter sind ET (470 W/qm) und GT+GN=310 W/qm.
Aus diesen Parametern ist berechnet worden XT+XN = 780 W/qm.
Unbekannt sind zunächst QT=-QN.
Diese (einzigen) Variablen bestimmen die Vorgaben und die Ergebnisse!
Bei starker Bewölkung kann es beinahe zu den Werten
GT=-80 W/qm und GN = 390 W/qm kommen. Dann lauten die Werte:
XT = 390 W/qm = XN 390 W/qm und automatisch QT = -QN = 0 W/qm
Das Sonne-Erde-System ist eingeschwungen, daher gilt QT = -QN
Und es gilt:
XT = 390 W/qm + QT/2 sowie XN = 390 W/qm + QN/2
Die Differenz von XT und XN beträgt also
XT – XN = QT/2 – QN/2 = QT
Je größer QT. umso größer ist die Differenz von XT-XN.
Wie Sie ein zusätzliches Z gefunden haben, müssen Sie mir mal erläutern.
Übrigens: Der Hamburger Wettermast zeigt keine gemittelten Jahreswerte oder doch?
Interessant wäre es schon.
Herr Kuck
Das ist richtig und habe ich Ihnen schon so erklärt.
Ich habe Ihnen auch schon erklärt, dass Sie die fehlenden Angaben durch irreale Fantasie frei erfunden haben.
Herr Heinemann,
Ihr Text:
Zudem ist B) die Aufteilung von XT und XN unbekannt. Man kann nur schreiben XT = XG + Z/2 und XN = XG – Z/2. Mit XG = 780/2 = 390 W/qm und einer Unbekannten Z.
Mein Text:
Natürlich sind XT und XN unbekannt, Ziel meiner Rechnung ist doch die Berechnung von XT und XN
Ihr Text:
Das ist richtig und habe ich Ihnen schon so erklärt.
Mein Text:
Leider nein. Ich rechne nicht mit f(t), weil überflüssig und falsch. Ich gehe von einem Sonne-Erde-System aus, das eingeschwungen ist. Falsch ist, die Werte XT und XN vorzugeben und beliebige Werte für die Gegenstrahlung anzunehmen (Typus (x-(310-x))-Gegenstrahlung.
Wirklich ärgerlich ist, dass Sie (vielleicht unbeabsichtigt) schummeln.
Ich habe Ihnen immer wieder expliziert gezeigt, dass Ihre angebliche 150-150-Gegenstrahlung eine 0-310-Gegenstrahlung ist. Dabei kommt als zusätzliches Ergebnis die Bedingung XT-XN = QT +10 W/qm heraus. Anmerkung: QT ist der von der Sonne gelieferte Bodenwärmestrom.
Ihr Text:
Ich habe Ihnen auch schon erklärt, dass Sie die fehlenden Angaben durch irreale Fantasie frei erfunden haben.
Mein Text:
In unseren Gleichungen gibt es kein Unbekanntes Z. Bitte erläutern Sie mir, wo Z herkommen soll? Ihr erfundenes Z ist reales QT.
Die Gleichung XT-XN = QT habe ich Ihnen kürzlich bewiesen.
Schon früher habe ich Ihnen gesagt, dass der gesunde Menschenverstand diese Gleichung für richtig halten muss.
Warum Sie bei Ihrer (vielleicht unbeabsichtigten) Schummelei nicht stutzen, ist mir unbegreiflich?
XT – XN = 60 W/qm = QT(205 W/qm) – 145 W/qm
Die Differenz des QT-Wertes von Ihnen und der Wirklichkeit beträgt 145 W/qm.
XT und XN kann man durch die Temperaturen 293 K und 283 K gut abschätzen. Dieser Schritt wäre ok, allerdings haben Sie trotz mehrfachen Nachfrahens nie rechnerisch bestätigt, dass Sie den auch machen.
Ihre Ausage ist physikalischer Unsinn. Die Definition vom Bodenwärmestrom habe ich Ihnen erneut niedergeschrieben. Daran sehen Sie, dass Ihre Behauptung falsch ist.
Das ist unzureichend, denn Ihr Verstand ersetzt den mathematischen Beweis nicht.
Das wäre richtig, wenn es den Tatsachen entsprechen würde.
Wenn Sie es tatsächlich bewiesen hätten, hätten Sie ja auf Ihren Beweis verlinken können, so kann ich nur raten, was Sie von Ihrem Geschreibsel als mathematischen Beweis verkaufen wollen, vielleicht dieses hier unten ab —? Da taucht ihre Behauptung „XT-XN = QT“ aber auch nur als weitere Fantasiebedingungen nach zwei korrekten Gleichung als dritte Zusatzgleichung auf, frei von Ihnen herbeifantasiert, von mathematischen Beweis keine Spur.
Sie wollen mich offenbar an der Nase herumführen.
—
Arno Kuck
Reply to Noah Fischer
24. November 2025 13:24
Herr Fischer,
Zweite Antwort:
Der übliche Rechengang ist:
XT, XN, QT unbekannt
Drei Gleichungen (bekannt ET, GT, GN)
ET + GT = XT + QT
XN = GN + QT
XT-XN = QT
= (ET + GT – QT) – (GN+QT)
Also QT = (ET + GT – GN)/3
0-310-Gegenstrahlung: QT = 53,3 W/qm
155-155-Gegenstrahlung: QT = 156,6 W/qm
Herr Heinemann,
Herr Fischer,
Zweite Antwort:
Der übliche Rechengang ist:
Drei Größen XT, XN, QT sind unbekannt
Drei Gleichungen (bekannt ET, GT, GN)
(a) ET + GT = XT + QT
(b)XN = GN + QT
(c) XT-XN = QT
= (ET + GT – QT) – (GN+QT)
Daher können XT, XN,QT eindeutig berechnet werden.
Also QT = (ET + GT – GN)/3
0-310-Gegenstrahlung: QT = 53,3 W/qm
155-155-Gegenstrahlung: QT = 156,6 W/qm
Mit meinem üblichen Rechengang habe ich die Differenz von XT und XN berechnet.
Sie nennen die Gleichung XT-XN = Z. Weil Z kein Bodenwärmestrom ist. Das ist mir schnuppe. Aber Z hat den Wert von QT!. XT, XN, ET, GT, GN sind auch keine Bodenwärmeströme. Und dennoch verwenden Sie QT in Gleichungen mit Nicht-Bodenwärmeströmen.
Und daher ist die Gleichung XT-XN = QT zulässig.
Die Temperaturwerte, die ich Ihnen gegeben habe, habe ich nicht erfunden, sondern berechnet.
Meine Ergebnisse aus einer 0-310-Gegenstrahlung habe ich Ihnen gegeben..
Sie haben aber diese Ergebnisse für eine 155-155-Gegenstrahlung verwendet. Daher ihr unsinniger Ergebniswert für QT = 205 W/qm.
Rechnen Sie doch mit meinen Ergebnissen eine
0-310-Gegenstrahlung. Dann ist QT = 50 W/qm.
Herr Kuck,
Sie brauchen das Bekannte von Ihnen nicht zu wiederholen.
Der Punkt ist wie eh und je, dass QT und XT-XN physikalisch nicht notwendigerweise gleich sind. Und Sie haben immer noch kein Argument geliefert, warum Sie glauben, dass es nicht so wäre. Wenn Sie es ernst meinen, so konzentrieren Sie sich bitte ausschließlich darauf, Ihre physikalische (!!!) Vorstellung zu erläutern, warum der Bodenwärmestrom QT nur durch XT und XN und nicht von den Werten von GT, ET und XT bestimmt sei.
Was Sie hier unten schreiben, können Sie sich sparen. Ihr Rechenweg ist klar, nur Ihre „Theorie“ dafür nicht.
Herr Heinemann,
ET, GT, GN, XT und XN sind auch keine Bodenwärmeströme.
ET+GT – XT = QT Ergebnis der Gleichung QT.
XT-XN = QT Ergebnis von XT und XN, nicht QT
Alle Größen sind doch Wärmeströme.
Herr Heinemann,
mein Schreiben vom 1.12.2025 12:43 ist nicht korrekt
ET, GT, GN, XT und XN sind keine Bodenwärmeströme.
Alle Größen sind Wärmeströme, auch der Bodenwärmestrom.
XT-XN = QT (Bedingung für QT)
ET+GT – QT = XT (Ergebnis von XT)
GN + QT = XN (Ergebnis von XN)
XT – XN = (ET+GT- QT) – ( GN + QT) = QT (Berechnung QT)
QT = (ET+GT-GN)/3
Gewählte Parameter:
ET = 470 W/qm
GT = 0 W/qm
GN = 310 W/qm
Berechnete Größen:
QT = (470 W/qm+0 W/qm-310 W/qm) /3 = 53,3 W/qm
XT = ET – QT = 470 W/qm – 53,3 W/qm = 416,6 W/qm
XN = GN + QT = 310 W/qm + 53,3 W/qm = 363,3 W/qm
Jetzt kommt die Prüfung für die Bedingung XT-XN = QT
XT – XN = 416,6 W/qm – 363,3 W/qm = 53,3 W/qm = QT
Wenn Sie bei anderen Parametern Ergebnisse finden, die die Gleichung XT-XN= QT nicht erfüllen, bitte melden.
Der Punkt ist wie eh und je, dass QT und XT-XN physikalisch nicht notwendigerweise gleich sind.
Und Sie haben immer noch kein Argument geliefert, warum Sie glauben, dass es nicht so wäre. Wenn Sie es ernst meinen, so konzentrieren Sie sich bitte ausschließlich darauf!
Herr Heinemann,
XT-XN=QT ist nach wie vor „obvious“.
Haben Sie Ihre Schummelei korrigiert?
Hinweis: In allen Gleichungen 155 W/qm abziehen.
Der Punkt ist wie eh und je, dass QT und XT-XN physikalisch nicht notwendigerweise gleich sind.
Und Sie haben immer noch kein Argument geliefert, warum Sie glauben, dass es nicht so wäre. Wenn Sie es ernst meinen, so konzentrieren Sie sich bitte ausschließlich darauf!
Thomas Heinemann 2. Dezember 2025 12:58
Was soll der ganze Quatsch? Die Strahlungen ändern sich im Laufe des Tages kontinuierlich. Bilanzen können nur für Wh/m² aufgestellt werden nicht für W/m². Es gibt zwar Bodenwärmeströme – aber auch die sind kontinuierlich. Interessant ist höchstens die Veränderung der gespeicherten Wärme.
Bilanziert KT nicht auch W/m2 ?
Herr Kuck,
Sie haben das von vorgerechnet, aber Ihre Rechnung trifft nicht den Punkt. Die Erfüllen der Gleichung ist ja der generell als gültig vorausgesetzten Erhaltung der Bilanzsumne geschuldet. Ihr „Kürzen“ von 155 ist daher trivial erfüllt
Aber physikalisch ist es nicht äquivalent, ob die Verteilung der Gegenstrahlung nun 0/310 oder 155/155 ist. Aber darauf kommt es hier an. Das haben Sie noch gar nicht begriffen.
Ich haben Ihnen nun schon mehrmals gesagt, dass Sie sich um die Physik kümmern müssen statt hier nur die Grundrechenarten zu demonstrieren, das reicht nicht!
Herr Heinemann,
Aber physikalisch ist es nicht äquivalent, ob die Verteilung der Gegenstrahlung nun 0/310 oder 155/155 ist.
Die Mathematik sieht aber, dass für die unterschiedlichen Werte der Verteilung der Gegenstrahlung (0/310 und 155/155) bei identischer Wahl der Oberflächenstrahlung (420 W/qm und 360 W/qm) nur bei der Gegenstrahlung 0/310 der korrekte Bodenwärmestrom
50 W/qm berechnet wird. Bei der Gegenstrahlung (155/155) wird ein falscher Bodenwärmestrom von 205 W/qm ermittelt.
Da die Werte der Oberflächenstrahlung bei der Gegenstrahlung von 155/155 weder erhöht (Tag) noch gesenkt (Nacht) wurden, sind der Wert der Gegenstrahlung 155 am Tag in den Himmel geschickt worden und der Wert der gekürzten Gegenstrahlung (310 -155) ebenfalls.
Der Wert des Bodenwärmestroms 205 W/qm besteht also in Wirklichkeit aus der Summe von Gegenstrahlung 155 W/qm und Bodenwärmestrom 50 W/qm.
.
Mathematik und Physik haben die Schummelei entdeckt.
Herr Kuck,
Hehre Worte von Ihnen, aber ohne Inhalt. Die Welt wartet immer noch auf Ihre physikalische „Theorie“, die Ihren „Satz“ für Ihre beiden immateriellen Erdhälften liefert.
Herr Heinemann,
es ist reine Physik, dass bei veränderten Werten der Gegenstrahlung andere Werte der Oberflächenstrahlung von Tag und Nacht errechnet werden müssen.
Die Differenzwerte der Gegenstrahlung von 0/310 zu 155/155 betragen -155/155. Diese untätigen Differenzwerte müssen auf die 155/155-Gegenstrahlung addiert werden zu einer 0/310-Gegenstrahlung.
Für mein Tag-Nacht-Modell gilt das Axiom
Oberflächenstrahlung XT – Oberflächstrahlung XN =
„Bodenwärnestrom“ QT
Axiome werden nicht bewiesen, sie können nur widerlegt werden.
Ihre Schummelei reicht nicht für eine Widerlegung.
Weil es keinen Grund gibt. Er einzige, der hier wohl stutzt, sind Sie, weil Sie sehen, dass ihre Fantasiegleichung falsch ist.
Es gilt: XT – XN = 60 W/qm und
QT = 205 W/qm. Basta.
Nein, sie ist =0, siehe meine Rechnungen.
Habe ich nicht. Wie Sie ja schon gesehen haben, bezeichnet ich damit XT-XN, welches ja physikalische Größen des Systems sind.
Sie haben diese Differenz fälschlich mit dem Bodenwärmestrom QT gleichgesetzt.
Da die Differenz physikalisch aber nicht mit dem Bodenwärmestrom übereinstimmt, muss die Differenz XT-XN eine andere Bezeichnung bekommen, ich nahm einfach das Symbol Z.
Herr Heinemann,
Ihr Z ist mein QT! In den Gleichungen für die Tagseite und die Nachtseite kommt neben ET, XT, XN, GT, GN nur QT = – QN vor.
Alle meine Berechnungen mit XT-XN = QT kommen zu Ergebnissen, wie sie auch aus den Klimatabellen abgelesen werden können.
Die Differenz XT-XN ist abhängig von ET, GT, GN und QT.
Aus der Gleichung XT-XN = QT wird der Wert QT berechnet!
Beispiel:
XT -XN = 0 W/qm heißt QT = 0 W/qm und nicht Z = 0 W/qm.
Was nützt Ihnen ein undefiniertes Z?
Herr Kuck, wie schon unzähle Male erklärt und jetzt zum letzten Male: Ihre Gleichung XT-XN = QT ist physikalischer Unsinn und Sie haben Sie frei erfunden.
Der Bodenwärmestrom Q ergibt sich aus dem Energieerhaltungssatz und damit ist auch auch QT dadurch gegeben – nicht durch Ihren Vergleich mit einzelnen Klimadaten! Sie können aus einer einzelnen Beobachtung nicht auf physikalische Gültigenkeit schließen, wenn Sie die physikalische Begrifflichkeit des Bodenwärmestromes missachten.
Entweder Sie akzeptieren oder kapieren es oder Sie bekommen von mir den Stempel.
Herr Heinemann,
wenn Sie endlich Ihre Schummelei aufhören und Ihre Schummelei selbst bereinigen, werden Sie feststellen, dass XT-XN = QT korrekt ist. Herr Fischer kann Ihnen dabei helfen.
Bei meiner Rechnung gilt
XT(ab 12:00 Uhr) – XN(ab 12:00 Uhr) = QT(ab 12:00) und
nicht XT(12:00 Uhr) – XN(24:00 Uhr) = QT(?)
Für einen einzigen Moment ist XT-XN = QT +- x .
Im Jahresmittel sollte XT-XN = QT immer stimmen.
Außerdem würde ich gern mit dem Jahresmittel aller Temperaturwerte für die Tagseite und die Nachtseite der Erde rechnen, was wegen der teilweise geringerer Temperaturmessung unmöglich ist.
Aber für einzelne Städte sollten die Ergebnisse korrekt sein.
So ein Schwachsinn
Herr Heinemann,
So ein Schwachsinn (war nur Ihr Z)
Bitte erläutern Sie den Schwachsinn? Ich lerne gerne hinzu.
Letzter Versuch einer Lösung anhand des Vergleiches zwischen zwei Annahmen der Gegenstrahlungswerte (0-310 statt 155-155)
Fall : Berechnung bei 0-310-Gegenstrahlung
Vorgaben von Ihnen
XT = 420 W/qm; XN = 360 W/qm ET = 470 W/qm GN = 310 W/qm
Ergebnisse
QT = ET – XT = 50 W/qm
-QN = 50 W/qm = XN – GN
XT – XN = 420 W/qm – 360 W/qm = QT + 10 W/qm
Wenn Sie als Vorgaben XT= 416,6 W/qm und XN = 363,3 W/qm
ausgewählt hätten, wäre als Ergebnis von QT (= 53,3 W/qm)
XT – XN = QT
heraus gekommen.
Ich zeige Ihnen jetzt eine (oder Ihre(?) Schummelei:
Fall: Umformung 0-310-Gegenstrahlung in 155-155-Gegenstrahlung
(1) 470-420 = 470 – 420 + 0 = 50 = -(-50) = -(0-50) = -(0 +310 -360)
Man benötigt gar nicht, unbedingt wie Sie eine
155-155-Gegenstrahlung mit identischen Werten der Oberflächenabstrahlung für Tag- und Nachtseite
(420 W/qm und 360 W/qm) berechnen.
Man muss nur zu jedem Teil der Gleichungen 155 W/qm addieren:
(2 )470+155-420 = 470-265 = 205 = -(-205) = -(0–205) = -(0+155-360)
So entsteht ganz leicht eine geschummelte 155-155-Gegenstrahlung,
Allerdings mit einem unsinnigen Wert (205 W/qm) der Wärmeabstrahlung in den Himmel.
Wenn Sie jetzt die Gleichungen (2) um 155 kürzen würden, entsteht das Original der 0-310-Gegenstrahlung.
Herr Kuck,
Folgendes:
Ihre Mittelwerte XT, XN, QT etc. haben keine Zeitabhängigkeit in Form von XT(12:00 Uhr) oder XN(12:00 Uhr). Sie betonen ja selber, dass Sie ein „seit Jahrtausenden eingeschwungendes System Erde“ betrachten.
Herr Heinemann,
mein Hinweis ist etwas tatsächlich unglücklich.
Sie haben einmal gesagt, ich solle die Daten des Hamburger Wettermastes ansehen. Dann würde ich erkennen, dass XT-XN = QT nicht gilt.
Aber beim Wettermast könnte ich nur die Gleichung
XT(12:00 Uhr – XN(24:00 Uhr) = QT(?)
vergleichen.
Und für diese Gleichung lege ich meine Hand nicht ins Feuer
Herr Kuck
Ach, konnten Sie das? Ich bezweifle das erstmal. Welches der Diagramme des Wettermastes zeigt denn XT bzw. XN?
Herr Heinemann,
Sie haben gesagt(!!) (sollte das eine Falle sein oder sind Sie manchmal vergesslich so wie ich auch?):
Aber beim Wettermast könnte ich nur die Gleichung
XT(12:00 Uhr – XN(24:00 Uhr) = QT(?)
vergleichen.
Bitte genauer lesen: Ich habe könnte geschrieben.
Also rudern Sie zurück? Daten des Wettermastes sind also nicht geeignet, die Gleichung XT-XN = QT zu widerlegen?
Der Wettermast zeigt aber Temperaturwerte und dank der SB-Gleichung könnte ich doch oder?
Meine Standardfrage: Haben Sie Ihre Schummelei zurück genommen?
Herr Fischer weiß, wie es geht.
Herr Kuck,
ich schrieb:
In Realität gilt XT-XN = QT i.a. aber nicht. Denn es gilt keinen physikalischen Grund für diese Gleichung. Sie kann in Ihrem besonderen Fall zufällig gelten, in anderen gilt sie nicht.
Nehmen Sie doch einfach ein paar reale Temperaturverläufe vom Hamburger Wettermast und überprüfen Sie Ihre Gleichung damit.
Und, haben Sie die Messdaten nun dementsprechend untersucht? Aus der Temperatur T(t) und SB mit X(t) = E × sigma ×T(t)^4 und Integration über X(t) bekommen Sie XT und XN für Hamburg (E=0,984).
Zudem liegen G(t) und E(t) als Kurven vor. Damit haben Sie Q(t) = E(t)+G(t)-X(t) und können Ihre Gleichung widerlegen, denn Sie haben XT-XN und QT.
Außerdem ist Q(t) direkt dort abgebildet. Rechen Sie nun XT-XN und QT durch Integration der Kurven Q(t) und X(t) aus.
Arno Kuck 28. November 2025 18:40
Könnten Sie damit aufhören den Eindruck zu erwecken, ich würde Ihnen zustimmen? Das wird langsam zu einer etwas, was ich als Lüge bezeichnen würde.
Sie sind hier derjenige, der sich irrt und an Physik der 8. Klasse scheitert …
Herr Fischer,
Könnten Sie damit aufhören den Eindruck zu erwecken, ich würde Ihnen zustimmen? Das wird langsam zu einer etwas, was ich als Lüge bezeichnen würde.
Sie haben mir doch selbst gezeigt, dass die Gleichungen von Herrn Heinemann von einer Berechnung mit einer 155-155-Gegenstrahlung durch Kürzen der Gleichungen um 155 W/qm in eine
0-310-Gegenstrahlung umgewandelt werden kann und umgekehrt.
Und Sie haben gefragt, welche von beiden Gleichungen denn korrekt sind. Und ich habe geantwortet, es ist die 0-310-Gegenstrahlung.
Und daher habe ich Herr Heinemann geschrieben:
Herr Fischer kann Ihnen dabei helfen.
Da es offensichtlich nicht zwei Lösungen (oder sogar mehr) geben kann, und Sie das Problem kennen, ist mein Satz doch korrekt.
Sie haben haben mir auch einmal geschrieben, dass Herr Heinemann die Cs manipuliert, um zum gewünschten Ergebnis zu kommen.
Die neue Frage ist, welches C ist korrekt.
Arno Kuck 29. November 2025 10:40
Nein, das habe ich nicht. Ich habe Ihnen lediglich die korrekten Bilanzgleichungen gezeigt und gezeigt, dass die im Gegensatz zu Ihren Behauptungen ausgeglichen sind. Das mit dem willkürlichen Kürzen war Ihr Werk.
Aber haben keine Beleg für die Richtigkeit geliefert. Bei Herrn Heinemann gibt es genau eine Lösung für die gewählten Parameter.
Da ich Sie darauf hingewiesen habe, dass Sie falsch liegen und Herr Heinemann richtig, kann der Satz nicht korrekt sein. Wenn Sie Herrn Heinemann einen Fehler nachweisen wollen, müssen Sie ihr Wissen über Differentialgleichungen schon mal anwenden und konkret zeigen,. wo er falsch liegt. So bleiben das nur Behauptungen …
Was ich schreibe und was bei Ihnen ankommt, scheinen verschiedene Dinge zu sein.
Das der realen Erde. Mit einer korrekten Simulation des Flusses der Energie in die Tiefe. Beim Ansatz von Herrn Heinemann ist das ja auch nur ein einfacher Ansatz, der dazu dient, etwas prinzipielles zu demonstrieren …
Was ist das? Entweder „korrekt, mit Messungen belegt, oder „Simulation“.
Herr Fischer,
Aber haben keine Beleg für die Richtigkeit geliefert. Bei Herrn Heinemann gibt es genau eine Lösung für die gewählten Parameter.
Da ich mehrere Lösungen von Herre Heinemann kenne, kann ich das nicht bestätigen.
Sprechen Sie vom Parameter C?
Für Herrn Heinemann scheint es selbstverständlich zu sein,
dass der Wert XT-XN = 60 W/qm
durch eine 0-310-Gegenstrahlung und
durch eine 155-155-Gegenstrahlung errechnet werden kann.
Merkwürdig ist nur, dass bei Berechnung mit der
0-310-Gegenstrahlung der Bodenwärmestrom 50 W/qm beträgt und
mit der 155-155-Gegenstrahlung 205 W/qm beträgt.
Die Differenz der Werte des Bodenwärmestroms beträgt 155 W/qm.
Angeblich ist die unterschiedliche Wärmekapazität C der entscheidende Parameter.
Aber:
Die vorhandenen Klimatabellen der Erde zeigen an, dass die über das Jahr gemittelten Temperaturwerte der Tagseite und der Nachtseite eine Differenz von 10 K betragen. Die Werte Oberflächenabstrahlung der Tagseite und der Nachtseite betragen 417 W/qm und 363 W/qm. Bei einer Sonneneinstrahlung von 470 W/qm und einer Gegenstrahlung der nächtlichen Wolken von 310 W/qm ergeben folgende Werte des Bodenwärmestroms:
Tagseite: 470 W/qm – 416 W/qm = 54 W/qm
Nachseite: -310 W/qm -(-363 W/qm) = 53 W/qm
Differenz Tag – Nachtseite: XT-XN = 416 W/qm-363 W/qm = 53 W/qm.
Sie müssen ihr Wissen über Differentialgleichungen schon mal anwenden und konkret zeigen,. wo er falsch liegt. So bleiben das nur Behauptungen …
Ich arbeite möglichst mit einfachen Gleichungen für
Pi-mal-Daumen- Abschätzungen.
Übrigens: Mitarbeiter des Max-Planck-Institutes weisen daraufhin, dass die Nutzung von DGls erfüllen nicht den 2. Hauptsatz der Thermodynamik.
Herr Kuck,
Das ist nur für Sie merkwürdig, da Sie den Bodenwärmestrom fälschlich = XT-XN setzen. Wie oft soll ich es Ihnen noch sagen?
Herr Heinemann,
Wie oft soll ich es Ihnen noch sagen?
Sagen ist viel zu wenig. Echte Beweise wären besser.
Und noch besser wäre es, wenn Sie mit dem Schummeln aufhören würden.
Logik scheint Ihnen nicht zu gefallen.
Ganz ohne Gleichungen:
Wenn auf der Tagseite neben der Sonneneinstrahlung eine eigentlich nicht notwendige Gegenstrahlung wirken würde, muss doch die Tagseite wärmer werden.
Und wenn auf der Nachtseite die Gegenstrahlung halbiert wird, muss die Nachtseite kälter werden.
Übrigens: Die Wärmekapazität der Erde bleibt in allen Fällen konstant.
Oder glauben Sie, dass der Klimawandel nicht von den Treibhausgasen und den Wolken, sondern von der Wärmekapazität der Erde abhängt?
Herr Kuck
Die habe ich doch, meine Gleichungen stehen ja da. Wie gesagt, Ihrem „Satz“ alleine fehlt Ihre physikalische Begründung.
Sehen Die, das kapieren Sie eben nicht. Wenn die Gegenstrahlung am Tage (GT) zunehmen würde (ET und GN keine Änderung), würde es nicht nur am Tage wärmer, sondern je nach C auch nachts. Denn der Boden erwärmt sich ja am Tage mehr auf, d.h. seine Wärmekaoazitöt nimmt Wärmemenge auf. Diese bestimmt die Temperatur und damit die Abstrahlung X. Es ist aber nicht so, dass die Temperatur mit Anbruch der Nacht unstetig zu ihrem alten Wert zurücksoringt und die Nachttemperatur unvetändert bleibt. Die Nachtemperatur ist also auch höher als bei den alten Verhältnissen. Der Transfer dieser Energie von der Tag-zur Nachhälfte macht sich in einem erhöhten QT bemerkbar.
Und wenn auf der Nachtseite die Gegenstrahlung halbiert wird, muss die Nachtseite kälter werden.
Hier gilt daaselbe: auch die Tagtemperatur wird erhöht, wegen der Unmöglichkeit, dass die Temperatur beim Tag-Nachtwechsel unstetig springt.
Herr Heinemann,
es gibt eine Tagseite und eine Nachtseite. Ich betrachte keinen
Tag-Nachtwechsel.
Es ist mir wieder eingefallen, dass Ich Ihnen schon bei der
155-155-Schummelei gesagt habe, dass Sie auf der Tagseite und auf der Nachtseite jeweils 155 W/qm in den Himmel geschickt haben.
Auf der Tagseite hat die 155-Gegenstrahlung den ursprünglichen und korrekten Wert des Bodenwärmestromes 50 W/qm nicht auf
205 W/qm erhöht, sondern wurde gleich in den Himmel gestrahlt.
Auf der Nachtseite hat die ursprüngliche 310-Gegenstrahlung dafür gesorgt, dass der ursprünglichen und korrekten Wert des Bodenwärmestromes -(-50 W/qm) beibehalten wird, und nicht auf eine Teilung von 155-Gegenstrahlung und 155 W/qm-Direkt-in-den-Himmel-Strahlung. Diese 155 W/qm-Direkt-in-den-Himmel-Strahlung sollte den Bodenwärmestrom -(-(50 W/qm)auf den Wert -(-205 W/qm) erhöhen.
Wenn das nicht Schummelei ist.
Herr Kuck,
Müssen Sie aber. Ich habe es Ihnen auch schon oft genug erklärt. Es gilt keine Physik einer Tag- oder Nachtseite. Denn es gilt keinen Ort auf der Erde, der zu einer dieser Seiten gehört.
Herr Heinemann,
Sie haben recht. Es gibt für die Erde das Paar Tagseite + Nachtseite.
Das Jahresmittel aller dieser Paare betrachte ich und berechne ich.
Übrigens jeder Ort der Welt befindet sich 12 h lang Tagseite und 12 h lang Nachtseite.
Daher benötige auch ich keine f(t).
Haben Sie Ihre Schummelei entdeckt?
Sie haben also unrecht.
Ene letzte Frage habe ich noch:
Sie haben ein fast leere Flasche mit Azetylen, das Werkstück ist ziemlich gross, so ungefähr 2 mal 2 Meter. Sie sollen einen Schnitt machen, aber sie rechnen die Fläche aus und legen es auf den brauchbaren Inhalt der Gasflasche aus und sagen es geht nicht.
Klaus nimmt den Brenner und macht den Schnitt.
Wieviel Azytelen ist noch übrig?
Wie lang war der Schnitt? Warum hat es trotzdem funktioniert?
Werner Schulz 4. Dezember 2025 21:07
Sie richten die Frage an den falschen. Herr Heinemann rechnet mit den konkreten Energieflüssen am Ort, Herr Kuck nur mit Mittelwerten. Bei Herrn Heinemann würde der Brenner also genau auf den Schnittpunkt wirken, das Werkstück genau dort erhitzen und damit schneiden können.
Weil man die Temperaturveränderung für diesen Fall lokal bestimmen muß, was laut Herrn Kuck nicht notwendig ist.
Aha lokal da wo die Sonne nicht scheint? Interessante Theorie von ihnen!
Werner Schulz 5. Dezember 2025 13:24
Unabhängig davon, ob die Sonne lokal gerade scheint. Oder denken Sie, es fliesst nur Energie, wenn die Sonne scheint?
Sie können das in den Graphen von Herrn Heinemann sehen …
Herr Heinemann,
Sie haben also unrecht:
Sie schummeln schon wieder.
Ich habe bestätigt, dass alle Orte der Erde sowohl auf einer Tagseite und auf einer Nachseite liegen, allerdings nicht gleichzeitig.
Wer’s glaubt…die Aussage ist schon vom Zusammenhang her Schwachsinn.
Herr Heinemann,
ich glaube dem Mitarbeiter auch nichz.
Ich bezweifle, dass der MPI -Mitarbeiter das so ausgedrückt hatte wie Sie es hier schreiben.
Wenn Sie Ihr selbsterfundenen Behauptungen selbst nicht glauben, warum veröffentlichen Sie sie dann?
Herr Heß,
Ich meine unsinnigen Unsinn, nicht revolutionierenden Unsinn. Und Sie wissen, was ich meine. Oder halten Sie es für potentiell revolutionierend, wenn man über 2-Sonnenmodellen und ähnlichen Unsinn diskutiert, weil man Ihnen nicht ehrlich zugeben will, dass KT richtig ist?
Bei EIKE sind solche Fälle aber schon mehrfach genannt worden und sauber widerlegt worden, sofern nicht der Prozeß sabotiert wurde. Ein Teil des Unsinns besteht darin, dass Wissenschaftleugner sich dem Widerlegungprozeß entziehen wollen.
Oder wollen Sie unterschwellig andeuten, dass Sie eigentlich eine unendliche Wiederholung des Diskurses favorisieren, also persönlich es bevorziehen würden, wenn der Diskurs so geführt würde, dass er nie zum Schluß führt?
Den Stempel bekommt er erst, wenn er seine Lernunwilligkeit symptomatisch oft demonstriert hat. Ich würge niemanden mit solchen Stigmata vorschnell ab, das passiert erst, wenn das Fass bereits mehr als übergelaufen ist.
Aber wir befinden uns in diesem Thread nicht unter „Leistungsorientierte Teams mit sehr guten Klimawissenschaftlern“; die Leute hier wollen hier auch nicht exzellent sein, sondern nur ihre zum Teil aberwitzige Meinung vertreten.
Nein. Das ist Fakt, denn hier ist keiner.
Mag sein, das reicht nicht. Herr Heß, glauben Sie den Quatsch, den Sie hier verbreiten, wirklich?
Erklären Sie mir mal, wie Sie jeden Trottel als potentiell exzellenten Klimawissenschaftler ansehen aber gleichzeitig genug Berufsrealität kennen, dass diese „naive Offenheit für jede Unsinnsmeinung“, die Sie für die Klimaforschung fordern, in Ihrem (wie jedem anderen) Berufumfeld sicherlich nicht als Einstellungsvoraussetzung ausreicht.
Nein, tun wir nicht. Sabotage festzustellen, ist auch nicht subjektiv. Wenn jemand ein Laborexperiment sabotiert, so ist das ein Fall, den man auch an Behörden zur Klärung abgeben kann. Wenn sich jemand nicht an Diskursregeln hält und Sätze verfälscht oder selektiv zitiert, so ist das Sabotage und kein Verfahren, das zur wissenschaftlichen Methode gehört.
Herr Heß, was ist der Grund dafür, dass Sie bezüglich der Klimaforschung keine Ansprüche an die Qualifikationen der Diskursteilnehmer haben? Warum dort diese Ausnahme?
Ganz einfach. Weil ich das, was wir hier in den Kommentaren tun für eine Diskussionsrunde halte in dem freien Bürger zusammenkommen, die über Klimaforschungsthemen diskutieren.
Als Naturwissenschaftler und freier Bürger habe ich doch keine Qualitätsanforderungen an meine Mitmenschen. Das würde ich als anmaßend empfinden.
Stattdessen habe ich Qualitätsanforderungen an mich selbst, die ich leider auch nicht immer einhalte.
In meinem beruflichen Umfeld ist das so. Wenn sich eine Abteilung dadurch auszeichnet, dass sie vor Allem Qualitätsdefizite bei anderen Abteilungen sieht, dann schau ich bei dieser Abteilung, die immer auf andere zeigt, genauer hin. Meistens ist dort das größte Defizit.
Der Begriff „Wissenschaftsleugner“ ist auch so ein Marker der jetzt nicht für den Benutzer spricht, wenn er den Begriff benutzt.
Herr Heß,
Gut, aber er muß Ihnen klar sein, dass das Ergebnis dieser Diskussion (z.B. eine Handlungsempfehlung) eine andere sein kann, als das Ergebnis einer Diskussion desselben Themas unter Fachleuten.
Wenn ich also über die Lösung der Gleichung x² + x + 1 = 0 mit typischen 9-Klässlern diskutiere, kommt etwas anderes heraus als wenn ich mit Mathematikern darüber diskutiere. Mit dem Resultat, dass die 9-Klässlern die eigentliche Lösung und den sich damit öffnenden Zugang zu tieferen Erkenntnissen nie erfahren werden.
Ich nenne das: Chance verpasst durch Einfältigkeit und Arroganz. Denn das ist die Konsequenz, wenn Laien die Fachleute (im Beispiel Mathematiker) nicht anzuhören, für überflüssig oder gar für betrügerisch halten (ein Standardvorwurf hier), weil sie ja zu einem anderen Resultat kommen, welches zudem noch unverständlich ist.
Herr Heß,
Es gibt einen weiteren Aspekt, den ich bei Ihre Argumentation vermisse. Sie nehmen gerne einen ergebnisoffenen Diskussionsstil zwischen Experten in einem Unternehmen als Vorbild für eine Diskussion des Klimawandels unter freien Bürgern. Nun schön.
In Unternehmen gehört es dazu, dass einige Entscheidungen unter Zeitdruck erfolgen müssen. Da ist dann eine Abwägung zwischen Qualität bzw. Optimalität und Zeit nötig. Man sucht dann nicht nach der absolut optimalen Lösung, sondern nach der im gegebenen Zeitrahmen optimalen. Die durchaus unterschiedlich sein kann.
Ähnlich ist es mit Entscheidungen unter Unsicherheiten / Risikoentscheidungen.
Bei der Klimawandelforschung ist es auch so. Denn viele Forschungsergebnisse dort haben je nach Ergebnis einen großen Einfluß auf die Menschheit.
Den Zeitaspekt bzw. die Inklusion der Risikobetrachtung / Bewertung unter Unsicherheiten vermisse ich bei Ihrem Appell, den freien Bürger bei der Klimawandel-Diskussion zu beteiligen. Habe ich das übersehen oder geben Sie der Diskussion der freien Bürger keinen Zeitrahmen vor? Wenn ja, was soll daran sinnvoll sein?
Dann geht es um eine Abwägung zwischen Performance und Zeit – aber nicht darum, Abstriche bei der Qualität zu machen.
Hier verwechseln Sie Performance, Qualität und Problembeschreibung. Keine Sorge, damit sind Sie nicht allein, denn den Unterschied zwischen Performance und Qualität muss man Absolventen oft erstmal erklären.
Wenn ein Problem auftritt, muss dieses Problem abgestellt werden, und zwar mit höchster Sorgfalt bei der Problembeschreibung. Nur wenn die Problembeschreibung fachlich sauber ist, kann man das eigentliche Problem wirklich beseitigen. In der Entwicklung der Lösung gilt dasselbe: Die Qualität der Lösung, also ihre Eignung, das Problem zuverlässig abzustellen, ist nicht verhandelbar, auch wenn der Zeitdruck hoch ist. Eine Problemlösung abzulösen, bevor man den Nachfolger auf Qualität (Stabilität, Ausbeute) und Wirksamkeit getestet hat ist unter Zeitdruck ein „No Go“.
Wenn ein Produkt zu einem bestimmten Termin in den Markt muss, kann man im Zweifel bei der Performance Abstriche machen (z. B. Funktionsumfang), aber nicht bei der Qualität des Entwicklungs- und Herstellprozesses, weil genau das die Kosten und Risiken explodieren lässt.
Was die Qualität tatsächlich beschädigt, ist, wenn der Projektleiter den Zeitdruck als Argument benutzt, um unsaubere Analyse, verkürzte Problembeschreibung oder Abkürzungen im Prozess zu rechtfertigen.
Zeitdruck ändert nichts an den Spielregeln der Naturwissenschaft oder in Unternehmen
Ja, in Unternehmen gibt es Entscheidungen unter Zeitdruck, mit Risikoabwägung und beschränkten Informationen.
Aber: Auch dort ändert der Zeitdruck nicht die Regeln, wie man fachlich argumentiert. Man macht trotzdem saubere Analysen, benennt Annahmen, Unsicherheiten, Alternativen. Man akzeptiert nicht plötzlich schlampige Statistik oder logische Fehler, nur weil die Deadline naht.
Meiner Erfahrung nach scheitern Projekte oder verzögern sich, weil die Führung eine Entscheidung unter Zeitdruck erzwungen hat. Nur dumme Manager argumentieren in Expertenrunden mit Zeitdruck.
Im Übrigen hätte man auf die Handlungsempfehlung der freien Bürger hier gehört, dann hätte man in Deutschland längst eine nahezu CO2 freie Stromversorgung zu geringeren volkswirtschaftlichen Kosten und Einsparung von Subventionen.
Während manche Klimawissenschaftler unter Zeitdruck die Abschaltung und Zerstörung der Kernkraftwerke vorgeschlagen haben.
Anscheinend gab es da keinen Zeitdruck für das Klima und für die Menschheit. Ihr Argument ist ein „Strohmann“ wie dieses Beispiel zeigt.
In der Naturwissenschaft gibt es keinen Zeitpunkt, ab dem Kritik oder neue Daten „verboten“ sind, weil eine politische Entscheidung ansteht.
Wenn Forschungsergebnisse „großen Einfluss auf die Menschheit“ haben, folgt aus der Risiko-Perspektive nicht: „Diskutiert weniger und labelt Kritiker“, sondern:
Je größer Zeitdruck und Risiko, desto sauberer müssen wir Naturwissenschaft und Politik trennen – und desto wichtiger ist ein transparenter, auch für Nicht-Akademiker zugänglicher Diskurs, in dem niemand, der etwas nicht glaubt, sofort als „Leugner“ geframt wird.
Stattdessen sollte gerade solcher Widerspruch ein Ansporn sein, die eigenen Annahmen kritisch zu hinterfragen und zu überprüfen.
Herr Heß,
Nehmen wir mal das konkrete Beispiel aus der Diskussion hier zwischen den Herrn Fischer, Kuck und Schulz zu den CERES -Messungen der „clear sky“-Atmosphäre. Die Messung ist mit „clear sky“ ausgewiesen und das besagt, dass dort nur Messungen von wolkenfreien Zeitpunkten verarbeitet wurden.
Statt dies als gegeben hinzunehmen, stellen Kuck und Schulz die Validität der Daten als Ausweisung als wolkenfreien Strahlung infrage OHNE irgendein Indiz für berechtigten Zweifel anzugeben. Wenn die beiden in der Datenbearbeitung von CERES irgendwas zweifelhaftes gefunden hätten (was Klimaleugner mache gerne auch vorgeben gefunden zu haben) ok, dann hätte man wenigstens was, auch wenn es sich dann i.d.R. als Strohmann erweist. Aber die beiden liefern NICHTS zur Begründung!
Angenommen, diese Messergebnisse seien für die Analyse eines Produktionsproblems in Ihrer Firma notwendig.
Wie verfahren Sie in Ihrem Unternehnen mit Teammitgliedern, die Zweifel an der Validität dieser Messdaten ohne Begründung erheben, und auch nach wiederholter Aufforderung ihre Zweifel nicht begründen, sondern einfach nur sagen, dass diese Daten nicht das darstellen, was sie vorgeben und nicht mehr? Reden Sie denen (in der angenommenen Funktion des Projektleiters) gut zu und bedanken sich für ihre ständige Zweifel ohne Begründung bis in die Ewigkeit oder schmeißen Sie sie nach Abmahnung aus dem Team?
Die grosse Frage ist was diese Daten aussagen sollen? Die Zusammenstellung erfolgt durch extrahieren aller Daten, wo die Strahlung nicht von Wolken kommt?
Herr Mueller, sorry Fischer sagte:
Existiert das atmosphärische Fenster bei klarem Himmel nicht?
Und das wird dargestellt?
Wolken werden ausgeblendet, aus welchem Grund immer, die Strahlung kommt ausschließlich aus der Atmosphäre?
Und ein Bild sagt alles aus über Tag und Nacht und die Situation mit Wolken?
Sagen wir mal, ist der berechtigte Zweifel, das die Ceres Messungen die Fragen von Herrn Kuck beantworten?
Ich akzeptiere das, schreibe es auf als Hypothesen, gehe dem nach und benutze es, um den Kenntnisstand, das Wissensmanagement, Risiko- und Chancenmanagement zu verbessern.
Das habe ich nicht nötig. Wenn man die Menschen respektvoll behandelt, Erwartungen äußert, selbst konstruktiv beiträgt, ist das die beste Strategie. Aber sie als „Wissenschaftsleugner“ zu bezeichnen eben nicht.
Ich frage mich immer, wenn doch alles so klar und eindeutig ist, warum hat man es dann nötig seine Mitmenschen als „Leugner“ zu bezeichnen oder irgend etwas zu verbieten.
Wenn man trotzdem zu solchen Mitteln greift, wirkt das so, als traue man den eigenen Argumenten nicht mehr zu, einer offenen Prüfung und dem freien Markt standzuhalten.
Herr Heß,
Wie verfahren Sie in Ihrem Unternehmen mit Teammitgliedern, die Zweifel an der Validität dieser Messdaten ohne Begründung erheben
Das ist ok, fürs Unternehmen insgesamt. Aber das bringt nichts, wenn Sie der Projektleiter sind, die Daten vorliegen und das weitere Vorgehen von der Bewertung der Daten abhängt.
Ich wiederhole: ein Teammitglied erhebt ohne sachliche Begründung (aus Sicht der anderen sozusagen aus dem Bauch heraus) Zweifel an der Verwendbarkeit der Daten. Dadurch wird die Entscheidung für verschiedene Optionen nicht ermöglicht und das Projekt verzögert.
Das Ergebnis dieser Recherche ist bereits Teil meiner Situationsbeschreibung: der Zweifler liefert keine weiteren Informationen, die seine Zweifel begründen.
Nehmen wir explizit an: er ist dabei nicht kooperativ und versucht, jeden Versuch, seine Zweifel sachlich zu verstehen, zu sabotieren.
Ich frage jetzt erneut: wenn Sie der Projektleiter wären, wie würden Sie mit dem „begründungslosen Zweifler“ umgehen?
Reden Sie denen (in der angenommenen Funktion des Projektleiters) gut zu und bedanken sich für ihre ständige Zweifel ohne Begründung bis in die Ewigkeit oder schmeißen Sie sie nach Abmahnung aus dem Team?
Sie lassen ein paar Zwischenschritte hier aus.
Das labeling als „Wissenschaftsleugner“ geschieht „konklusiv“, nämlich wenn die sachliche Diskussion beiderseitig als erfolglos beendet wurde. Der Misserfolg aller konstruktiven Versuche ist ja ein Indiz dafür, es mit Leugnern zu tun zu haben.
Nun, der Leugner ist der, der die bestehende Klarheit nicht anerkennt.
Thomas Heinemann 16. November 2025 15:43
Das Verhalten von vielen Kommentatoren hier haben Dunning und Kruger beschrieben: https://arbeits-abc.de/dunning-kruger-effekt/?utm_source=firefox-newtab-de-de
Sie haben ein Buch geschrieben und sind nun der Experte und beziehen sich auf Dunning-Kruger? Wie passend.
Laut Marvin frage ich sehr viel. Passt das zum Schema einer Person, die denkt, alles zu wissen?
Nein passt es nicht.
Dunning-Kruger wollten ein wissenschaftlich sauberes Modell dafür entwickeln, warum Menschen (einschließlich Fachleuten!) ihre Kompetenz systematisch falsch einschätzen, und wie Lernen/Training/strukturierte Selbstreflexion diese Fehleinschätzung verbessern kann.
Man benutzt „Dunning-Kruger“ heute als Schimpfwort für Andere: „Du bist zu blöd, um zu merken, wie blöd du bist.“ Das ist genau nicht das, was Kruger & Dunning als Ziel hatten.
Sie wollten ein allgemeines menschliches Problem beschreiben, das uns alle betrifft, je nach Fachgebiet.
Genau das passt eben nicht zu dem „Labelling“ und anwenden auf seine Mitbürger.
David Dunning hat nicht umsonst später ein Buch geschrieben:
„Self-Insight: Roadblocks and Detours on the Path to Knowing Thyself“.
Der David wusste schon wie seine Arbeit verdreht werden kann, wahrscheinlich.
Das andere Buch kannte ich allerdings noch nicht.
Guter Beitrag.
Sie gehen also folgendermaßen vor:
Sie definieren vorab, dass ihre Sicht „die Wissenschaft“ ist.
Wer dem nicht folgt, gilt Ihnen „gegen die Wissenschaft“ oder „Leugner“.
Dass er nicht folgt, wird dann als Bestätigung ihres Vorurteils genommen was „Wissenschaft“ ist.
Das ist die klassische Selbstbestätigung die ich oben beschrieben habe.
Wenn man aus einer erfolglosen Diskussion automatisch einen ‚Leugner‘ – Vorwurf macht, immunisierst man sich gegen Kritik, das ist das Gegenteil von wissenschaftlichem Denken.
Der Satz belegt meine Ausführungen.
Herr Heß
Was verstehen Sie unter „„die Wissenschaft“ ist“?
Was vorher klar ist, ist die wissenschaftliche Methodik und der augenblickliche Wissensstand. Ob auf dieser Basis diskutiert wird, bestimmt ob jemand Wissenschaftsleugner ist.
Natürlich wird nicht vorher das Ergebnis festgelegt. Was wäre ja so, dass man den bestehenden Stand der Wissenschaft einfrieren wollte und wäre wissenschaftlich widersinnig
Na, jetzt machen Sie mal halblang.
Das „label“ Wissenschaftsleugner bekommen die, die kein Interesse daran haben oder gar aktiv dagegenarbeiten, die Wissenschaft zu berücksichtigen oder weiterzuentwickeln. Es soll nicht zum „mundtotmachen“ von „unliebsamen“ wissenschaftlichen Beiträgen dienen. Das wäre zutiefst unwissenschaftlich.
Nun, der Leugner ist der, der die bestehende Klarheit nicht anerkennt.
Ich bezweifle das, denn ich denke nicht, dass Sie mich verstanden haben.
Ich glaube, Sie haben sich etwas zu sehr auf eine von Ihnen vorgefertigte Meinung eingeschossen und sehen nicht das, was ich schrieb.
Sie tun so, als seien „wissenschaftliche Methodik“ und der „augenblickliche Wissensstand“ eine monolithische Klarheit, wer Ihre Interpretation davon nicht teilt, wird dann per Definition zum „Leugner“.
Damit verwechseln Sie die Ablehnung Ihrer Deutung des Wissensstands mit der Ablehnung von Wissenschaft selbst.
„Kein Interesse an Wissenschaft“ ist eine unbelegbare Motivunterstellung, keine überprüfbare Diagnose.
Genau diese Mischung aus Definitionsakrobatik und Psychologisierung ist zutiefst unwissenschaftlich, auch wenn sie im Namen der Wissenschaft vorgetragen wird.
Herr Heß,
Nun ja, wollen Sie damit sagen, dass Sie dem Diskussionsrahmen nicht mal in den Rahmen der Wissenschaft beschränken wollen und von gar keinen soliden Grundlagen ausgehen wollen?
Ich schätze Ihre sachlichen Beträge. Sie gehen dabei auch von Vorausetzungen aus, z.B. die Gültigkeit der Naturgesetze im Klimasystem und die Nutzung von mathematischen Modellen.
Halten Sie es für sinnvoll, mit jemanden zu diskutieren, der von einer konkreten Frage aus (z.B. zum hier diskutierten CO2-Abklingverhalten oder der Definition der globalen Mitteltemperatur) abschweift und zu grundsätzlichen Fragen schwenkt?
Das Ergebnis ist, dass die eigentliche Frage keine Antwort findet. Halte ich für sinnlos.
Welche einzelne Frage sollte das sein? Sie haben sie ja noch nicht gestellt, oder?
Im hier behandelten Beispiel des Projektes ist die Frage, wie man vorgeht, wenn die Nutzung der Messungen vom dafür zuständigen Teammitglied ohne sachliche Begründung angezweifelt wird.
Habe ich oben beantwortet. Vielleicht nicht zu ihrer Zufriedenheit, allerdings hat sich für mich mein Vorgehen bewährt.
Es geht von:
zu
Ich übersetze mal:
Herr Heinemann findet eine Diskussion mit sich selbst nicht sinnvoll!
Herr Heß,
Bei meiner Frage möchte ich nachhaken:
Nun ja, wollen Sie damit sagen, dass Sie dem Diskussionsrahmen nicht mal in den Rahmen der Wissenschaft beschränken wollen und von gar keinen soliden Grundlagen ausgehen wollen?
Ich frage Sie expliziter, welche Vorausetzungen Sie an den freien Bürger stellen, um eine fruchtbare naturwissenschaftliche Diskussion zu führen.
Dass er seine Diskussionspartner nicht respektlos „Leugner“ nennen soll, wissen wir schon. Bitte nicht noch mal wiederholen. Ich frage nach wirkungsvolleren Vorausetzungen, die die Diskussion fruchtbar machen.
Ich stelle an meine Mitmenschen keine Bedingungen. Stattdessen versuche ich, meinen eigenen Diskussionsstil so anzupassen, dass daraus eine fruchtbare Diskussion entsteht – und wenn das nicht gelingt, arbeite ich an meinem Zugang, nicht an den anderen. Am Ende kann man ohnehin nur sich selbst beeinflussen. Die Strategie für ein fruchtbares naturwissenschaftliches Gespräch besteht darin, sich zunächst klarzumachen, was man selbst aus der Diskussion lernen oder erreichen möchte, auf Bewertungen der Person gegenüber zu verzichten und Rückmeldungen als Feedback für das eigene Denken und Argumentieren zuzulassen.
Die Ironie dabei ist, dass einseitig positives Feedback in Diskussionen selbst zu einem Kipppunkt werden kann: Statt Korrektur zu erfahren, stabilisiert man die eigene Sicht so lange, bis man sich gründlich verrannt hat.
Ein Beispiel: Ich war einmal bei einer „Fridays for Future“-Demonstration und bin dort mit Gymnasiasten ins Gespräch gekommen. Ihr zentrales Argument war „Follow the Science“. Genau das macht eine naturwissenschaftliche Diskussion anspruchsvoll, weil dieser Satz selbst kein naturwissenschaftliches Argument ist, sondern ein politischer Appell. Trotzdem fand ich das Gespräch spannend und aufschlussreich.
Herr Heß,
Aha, ich glaube so langsam schält sich etwas heraus. Wenn ich Sie jetzt richtig verstehe, verstehen Sie unter einer fruchtbaren naturwissenschaftlichen Diskussion, wenn Sie persönlich die formalen Regeln wissenschaftlicher Methodik erfüllt sehen und nach persönlicher Einschätzung ein wissenschaftlich konformer Diskussionsstrang erzielt wurde.
Meiner Meinung nach muß dies nicht hinreichend sein, ein wissenschaftlich akzeptiertes Resultat zu erzielen. Besonders dann nicht, wenn die Diskussionsrunde aus Leuten besteht, die nicht vom Fach sind. Denn dann besteht das Risiko, dass sich „Schulen“ ausbilden, deren Resultate sich widersprechen, obwohl sie innerhalb der „Schule“ den formalen Regeln wissenschaftlicher Methodik folgen.
Das habe ich geschrieben:
und daraus machen Sie:
Interessant, dass Sie aus „Ich stelle keine Bedingungen an andere und arbeite an mir“ den Schluss ziehen, ich wolle die Diskussion an meinen privaten Kriterien ausrichten. Sorry, dass ich mich so unklar ausdrückte.
Genau das Gegenteil von ihrer Aussage war gemeint, deshalb nochmal: Verantwortung für das eigene Vorgehen statt Bedingungen an andere, ist meiner Meinung nach die Grundlage einer sinnvollen Diskussion.
Herr Heß,
Na, ich habe mich auch unklar ausgedrückt. Das „fruchtbar“ in
Wenn ich Sie jetzt richtig verstehe, verstehen Sie unter einer fruchtbaren naturwissenschaftlichen Diskussion, wenn Sie persönlich die formalen Regeln wissenschaftlicher Methodik erfüllt sehen und nach persönlicher Einschätzung ein wissenschaftlich konformer Diskussionsstrang erzielt wurde.
Meint ein „fruchtbar“ für alle Diskussionsteilnehmer. Ich bezog mich mit den „formalen Regeln wissenschaftlicher Methodik“ auch nicht auf eine „persönliche Auslegung“ („Diskussion an meinen privaten Kriterien ausrichten“), sondern auf die, die in der Wissenschaft gelten.
Die Ausbildung von „Schulen“ kann sich aus einem solchen Diskussionskreis von Leuten ergeben.
Ja, aber nichtsdestotrotz haben sie meine Worte fehlinterpretiert.
Für mich gilt das:
Verantwortung für das eigene Vorgehen statt Bedingungen an andere, ist meiner Meinung nach die Grundlage einer sinnvollen Diskussion.
Herr Heß,
Verstehe ich nicht. Inwiefern?
Ja, das habe ich gelesen. Aber ich schrieb nichts von „Bedingungen an andere“.
Ich fragte Sie, welche Vorausetzungen Sie an den freien Bürger stellen, um eine fruchtbare naturwissenschaftliche Diskussion zu führen.
Dass der [Projektleiter] seine Diskussionspartner nicht respektlos „Leugner“ nennen soll, wissen wir schon. Bitte nicht noch mal wiederholen. Ich frage nach wirkungsvolleren Vorausetzungen, die die Diskussion fruchtbar machen.
Ich glaube, das war Ihr Ausgangspunkt.
Ich gehe nicht davon aus, dass Ihr Team aus „willkürlich“ gewählten freien Bürgern „von der Straße“ zusammengestellt ist. Von der Auswahl der Diskussions/Team-Teilnehmer hängt der Erfolg eines Projektes doch wohl auch ab. Oder setzen Sie nichts an die
Diskussions/Team-Teilnehmer voraus?
Von der Auswahl der Diskussions/Team-Teilnehmer hängt der Erfolg eines Projektes doch wohl auch ab. Oder setzen Sie nichts an die
Diskussions/Team-Teilnehmer voraus?
Den Kopf mache ich mir nicht, wenn ich ab und zu mal Projektleiter bin, denn dann kriegt man normalerweise das Team ja zugeordnet. Von der Auswahl hängte es ja auch nur bei schlechten Projektleitern ab. Und hier auf EIKE haben Sie ja kein schlechtes Team, viele gestandene Ingenieure und Naturwissenschaftler, Querdenker, Handwerker und Techniker und belesene Geisteswissenschaftler. Ossis und Wessis mit allen Stärken und Schwächen die Menschen eben so haben.
Sie schreiben:
Ich sehe darin kein Risiko, sondern den Normalfall naturwissenschaftlicher Arbeit. Widersprüchliche Resultate sind im Sinne der Naturwissenschaft konstruktiv, nicht störend, sondern notwendig, ohne sie gäbe es weder Korrektur noch Fortschritt.
Problematisch ist das höchstens aus Sicht von Politik und öffentlicher Kommunikation, die klare, einfache Botschaften brauchen. Wissenschaft darf sich diesen Wunsch nach Eindeutigkeit aber nicht zum Maßstab machen.
Ob eine Diskussion wissenschaftlich etwas beiträgt, hängt nicht davon ab, ob einzelne Teilnehmer oder eine Gruppe sie subjektiv für „wissenschaftlich konform“ erklären, das ist im Extremfall nur Binnenkonsens einer Schule.
Entscheidend ist, was jeder Einzelne an eigener Erkenntnis daraus mitnimmt und das zeigt sich in der Regel erst im Nachhinein.
Herr Heß,
Besonders dann nicht, wenn die Diskussionsrunde aus Leuten besteht, die nicht vom Fach sind. Denn dann besteht das Risiko, dass sich „Schulen“ ausbilden, deren Resultate sich widersprechen
Ich sehe darin kein Risiko, sondern den Normalfall naturwissenschaftlicher Arbeit. Widersprüchliche Resultate sind im Sinne der Naturwissenschaft konstruktiv, nicht störend, sondern notwendig, ohne sie gäbe es weder Korrektur noch Fortschritt.
Sicher. Das Ausbilden von „Schulen“ bzw. Auftreten von Widersprüchen ist aber nur ein Entwicklungsschritt zur Erkenntnis.
Das Ziel naturwissenschaftlicher Forschung ist ja nicht das Produzieren von Widersprüchen, sondern das Finden tieferliegender Zusammenhänge, die diese Widersprüche als Auswirkungen eines bislang in seinen vielfältigen Ausprägungsformen unterschätzten zugrundeliegenden Gesetzes deuten können.
Genau und deshalb haben Sie, wie auch alle Anderen hier die Gelegenheit etwas beizutragen. Was jeder beiträgt entscheidet jeder selbst. Die Methoden Zusammenhänge zu finden sind vielfältig. Das Produzieren von „Widersprüchen“ ist eben eine Methode oder ein erster Schritt das zu tun.
Mit Aussprüchen wie „Wissenschaftsleugner“ trägt man allerdings gar nichts zur Naturwissenschaft bei, sondern richtet sich gegen andere Menschen.
Das tun Naturwissenschaftler nicht, aber eben manche Wissenschaftler die als Politiker agieren.
Herr Heß,
Ok, das läuft dann darauf hinaus, dass man sich mit den Anfängen der Wissenschaft beschäftigt und in annehmbarer Zeit nicht zum aktuellen Stand der Wissenschaft (die die community der Expertenwissenschaftler für sich beansprucht) vordringt, der bei aktuellen politischen Entscheidungen gefragt ist.
Das ist demnach ein nettes aber ineffektives Verfahren.
Wenn man eine bestimmte Politik rechtfertigen möchte, sieht das sicher „ineffektiv“ aus.
Aus naturwissenschaftlicher Sicht ist das Sichtbarmachen von Widersprüchen aber kein nettes Spielchen, sondern ein Kerninstrument, um zu testen, wie belastbar der behauptete „Stand der Wissenschaft“ wirklich ist.
Was die Politik daraus macht, ist ein eigenes Thema.
Lassen Sie mal die Politik aus dem Spiel.
Ich meinte ineffektiv aus Sicht der Expertencommunity, wenn diese schneller zum selben Eegebnis kam bzw. das schon zu den Grundlagen zählt.
Dem habe ich bereits zugestimmt. Möglicherweise sehen Sie es anders, wenn ich den Widerspruch nur als ein Entwicklungsschritt zur Erkenntnis sehe. Das Ziel ist ja, eine Theorie/ein Modell zu entwickeln, die diese Widersprüche unter einen Hut bringt. Und mit der man Prognosen machen kann. Wenn die Theorie/das Modell im Belastungstest robust reagiert, also widerspruchsfrei bleibt, ist sie unter den bekannten Belastungsszenarien die bestbekannte Möglichkeit, die Wirklichkeit zu beschreiben.
Da meinen Sie Experten, die sich den Titel „Experte“ verliehen haben, oder von anderen Gruppen verliehen bekommen haben? Und die sich von anderen irgendwie selbst abgrenzen wollen? Oder welche Experten meinen Sie?
Über solche Expertencommunities kann ich als Naturwissenschaftler nichts sagen.
Aus naturwissenschaftlicher Sicht ist es völlig legitim und sinnvoll, auch scheinbar geklärte Punkte noch einmal durchzudenken und das ist auch die Philosophie und das Credo dieses Forums hier, wenn ich das richtig sehe. Hier treffen sich ja freie Bürger.
Ihre „Expertencommunity“ kann Ihr Modell gerne als „bestbekannte Möglichkeit“ labeln, dagegen habe ich nichts.
Problematisch wird es dort, wo dieses Label faktisch als Diskussionssperre verwendet wird. Wenn Widersprüche und erneute Infragestellung nur so lange willkommen sind, bis ein Modell als „bestbekannte Möglichkeit“ etikettiert ist, dann macht man die Tür für weitere kritische Diskussion zu, mit Verweis auf Autorität, nicht auf Argumente.
Der Begriff „Leugner“ dient in diesem Kontext zusätzlich dazu, Widersprüche zu stigmatisieren, statt sie sachlich zu prüfen. Wäre Ihr Modell wirklich robust, müsste es solche Kritik aushalten können, ganz ohne solche Etiketten. Im Grunde untergräbt die Verwendung des Begriffs „Leugner“ die wissenschaftliche Glaubwürdigkeit Ihrer Expertencommunity.
Herr Heß,
Das ist kein „geschützter name“, damit meine ich Leute, die sich mit dem Untersuchungsgegenstand nicht hobbymäßig, spontan, temporär, genötigt oder sonst irgendwie unprofessionell beschäfzigt, sondern einen erheblichen Anteil seiner Zeit und konzentriert daran arbeitet, also z.B. Wissenschaftler darauf forschen.
Ob die das wollen…?
Es gibt nur zweifellos Leute, die auf den hier diskutierten Themen arbeiten und von deren die nichts von hier wahrnehmen und umgekehrt, niemand hier von denen etwas weiß.
Durch diese Separation besteht das Risiko, dass sich „Schulen“ mit unterschiedlichen Schlüssen und Ergebnissen zur srlben Fragestellung ergeben.
Sicher, es ist aber ebenso legitim, ohne Vorliegen von Gründen dies als überflüssig zu bewerten und unnötig zu halten.
Das habe ich so erwartet.
ein Beispiel dafür wäre?
da bin ich voll bei Ihnen, das ist schließlich der wissenschaftliche Anspruch. Nur fehlt mir ein konkretes Beispiel dafür von Ihnen.
Gibt Genug.
In der Wissenschaftsgeschichte sieht man an vielen Beispielen, wie sich „Schulen“ mit einem jeweils „bestbekannten Modell“ bildeten, lange bevor die Sache wirklich empirisch ausgereizt wavon der Atomtheorie, die gegen die anti-atomistische Schule erst mit Einsteins Brownscher Bewegung und späteren Experimenten durchgesetzt wurde, bis zur Magengeschwür-Forschung, in der Helicobacter pylori anfangs gegen das Stress-und-Säure-Dogma eher als exotische Spinnerei behandelt als nüchtern geprüft wurde. Oder Streit über „klassische“ und „nicht-klassische“ Carbokationen in der Chemie der dann experimentell beigelegt wurde.
Ähnlich bei den Ernährungsdogmen: Über Jahrzehnte galt Fett bzw. Cholesterin quasi als Hauptfeind, ganze Leitlinien und öffentliche Kampagnen wurden darauf aufgebaut, los-fat Produkte haben Schaden angerichtet bevor die Datenlage dieses einfache Bild wieder deutlich relativierte.
In neuerer Zeit gibt es das Dogma mit dem volkswirtschaftlich kostengünstigen Strom bei 100% PV und Wind das auch von „Schulen“ verfolgt wird, obwohl Deutschland das ja schon widerlegt hat..
In all diesen Fällen war das Problem nicht, dass es unterschiedliche Modelle oder Widersprüche gab, sondern dass der jeweils dominante Schulenkonsens Kritik eher sozial und rhetorisch abwehrte, statt sie systematisch zu testen.
Herr Heß,
Ok, nehmen wir mal das. Das ist im normalen Rahmen des wissenschaftlichen Erkenntnisprozesses. Nicht schön gelaufen aber man kam (zwar suboptimal) aber zur Wahrheit.
Ja, kann sein. Und? Ist nunmal so suboptimal gelaufen.
Ich habe gar kein Modell genannt.
Also nochmal: man entwickelt in der Wissenschaft Modelle. Die Möglichkeit, dass eine community damit falsch liegt und den Erkenntnisprozeß zu einseitig fortsetzt und lange am Falschen hängenbleibt, besteht.
Ist das ein Missstand, der eine Reform der Regeln des wissenschaftlichen Arbeitens benötigt?
Neue Regeln für wissenschaftliches Arbeiten, ist für mich gar nicht der Punkt.
Die Grundregeln naturwissenschaftlichen Arbeitens habe ich Ihnen ja skizziert. Das Problem beginnt da, wo Ihre „Expertencommunities“ sie schlicht nicht leben.
Genau darauf habe ich hingewiesen: Andere als „Leugner“ abzustempeln, statt ihre Argumente sauber zu prüfen, hat mit Naturwissenschaft nichts zu tun.
Das gehört nicht zum Handwerkszeug eines Naturwissenschaftlers, sondern diskreditiert den „Experten“ und seine Community aus naturwissenschaftlicher Sicht, Politiker mögen so etwas vielleicht nützlich finden.
In dem Moment, in dem Ihre „Expertencommunity“ solche Labels benutzt und erkennbar auf eine bestimmte öffentliche Botschaft hin steuert, macht sie nicht mehr nur Wissenschaft, sondern betreibt auch Politik.
Ob man dieses Zusammenspiel aus Wissenschaftsimage und politischer Kommunikation reformieren will, ist eine eigene Frage, ändert aber nichts daran, dass es mit echtem naturwissenschaftlichem Denken klar auf Kollisionskurs liegt.
Herr Heß,
Ok, das ist geklärt.
Nun gut, aber ich sehe das Problem in der Forschung i.a. jedoch nicht, auch nicht speziell in der Klimaforschung. Dort werden m.E. Leute nur dann so bezeichnet, wenn Sie sich nicht nach den Regeln wissenschaftlichen Arbeitens richten und auf „außerwissenschaftlichen“ Argumente beharren („Verschwörungserzählungen“, beliebige, zusammenhanglose oder verfälschte Daten, unbegründete eigene Theorien…)
Das ist aber nicht unser Thema. Denn das Agieren in der Öffentlichkeit gehört nicht zum wissenschaftlichen Erkenntnisprozeß. Ob ein Wissenschaftler jemanden „Leugner“ nennt, läßt keine Schlüsse darauf zu, wie gut und „regelkonform“ er wissenschaftlich arbeitet.
Dass Sie das „nicht als Thema“ sehen, ist aus meiner Sicht bereits Teil des Problems.
Natürlich ist der Erkenntnisprozess nicht identisch mit öffentlichen Talkshows, aber Wissenschaft findet nicht im luftleeren Raum statt: Dieselben Personen, die in Papers, Gutachten und Gremien über Daten und Modelle entscheiden, prägen auch den öffentlichen Diskurs.
Wie jemand mit Widerspruch umgeht, ob er Argumente prüft oder Andersdenkende pauschal als „Leugner“ markiert ist kein belangloses Privatvergnügen, sondern sagt etwas darüber, wie ernst er Falsifizierbarkeit, Kritik und Minderheitspositionen nimmt.
Das heißt: Es sagt etwas über seine Vertrauenswürdigkeit, sowohl in der Öffentlichkeit als auch bei der Arbeit.
Wenn eine „Expertencommunity“ in der Öffentlichkeit signalisiert, dass bestimmte Fragen oder Zweifel nur noch mit Etiketten beantwortet werden, wirkt das zurück auf Peer Review, Förderentscheidungen und Berufungen, also sehr konkret auf den wissenschaftlichen Prozess.
In der Theorie kann man beides trennen, in der Praxis nicht: Wer sich kommunikativ wie eine politische Kampagne verhält, muss damit rechnen, dass seine „Wissenschaftlichkeit“ und wissenschaftliche Integrität hinterfragt werden.
Ein guter Naturwissenschaftler ist sich der Grenzen seines eigenen Naturverständnisses bewusst. Gerade deshalb vermeidet er es, Menschen mit Etiketten wie „Leugner“ zu belegen, statt sich mit ihren Argumenten auseinanderzusetzen.
Günter Heß 21. November 2025 11:44
Werden wissenschaftliche Erkenntnisse geheim gehalten, wird vom Elfenbeinturm gesprochen: https://link.springer.com/chapter/10.1007/978-3-662-47843-1_2
Herr Heß,
Sie sind anscheinend ein Idealist. Es wäre schön, wenn alles bis ins Kleinste transparent dargestellt würde und ein Konsens mit allen Menschen auf der Welt hergestellt würde. Nun können Sie mal darüber nachdenken, welche volkswirtschaftliche Auswirkung das hätte. Einen Vorgeschmack von zusätzlichen „checks“ bietet die Bürokratie, die wir schon die letzten Jahre aufgebaut haben.
Was wäre aus der Elektrizizierung geworden, wenn Edison nicht einfach damit angefangen hätte, sondern man der Welt erst die Chancen und Risiken der Elektrizität hätte erklären müssen.
Im wahrsten Sinne des Wortes gingen dann die Lichter aus.
Die richtige Balance zwischen ungestümem Vorpreschen und Durchdrücken von Visionen, Innovationen und neuen Ideen und dem Mitnehmen der Welt durch Werben, Erklären, Reflektieren und Resonanzeinholen, ist ständig zu hinterfragen. Ich glaube, dass wird in Zukunft noch viel wichtiger werden, denn die Welt wird komplexer. Und mit der Kompkexität und Zersplitterung des Wissens wächst das Risiko des bubble-Denkens. Gutes Beispiel: hier.
Mein Punkt war deutlich schlichter: Wer sich auf naturwissenschaftliche Autorität beruft, sollte Widerspruch mit Argumenten beantworten und eben nicht mit Etiketten wie „Leugner“. Das hat nichts mit Weltbeglückung, sondern mit Mindeststandard wissenschaftlichen Arbeitens und professionellen Handelns zu tun.
Das Edison-Beispiel ist in dem Zusammenhang auch schief: Natürlich braucht es Pioniere und Tempo, aber selbst Edison musste sich an technische Realität, Unfälle, Sicherheitsfragen und Konkurrenzmodelle messen lassen. Er hätte sich auch lächerlich gemacht, wenn er Kritiker einfach als „Elektrizitäts-Leugner“ abgetan hätte.
Über „Balance“ zwischen Vorpreschen und Reflexion können wir gern reden, die schließt aber nicht ein, dass man Kritiker kommunikativ abräumt und dann so tut, als sei das naturwissenschaftlich neutral.
Und was die „bubble“ angeht: Genau darauf weise ich die ganze Zeit hin, eine Expertenbubble, die abweichende Stimmen lieber labelt als prüft, ist aus Sicht der Naturwissenschaft Teil des Problems, nicht der Lösung.
Herr Heß,
danke das sie hier für die Wissenschaft die Lanze brechen.
Ich bin mir nicht sicher warum Herr Heinemann es immer noch nicht verstanden hat.
Vielleicht will er nicht das Problem sein und weiss nicht, wie er aus dieser Nummer wieder rauskommt.
Lassen sie ihn. Wenn er den Experten spielt, weiss er was los ist!
Wieso ist das Beispiel schräg? Sind Sie sich denn sicher, dass bei der Elektrifizierung des Landes Einwände der Bevölkerung nicht einfach größtenteils ignoriert wurden und gar nicht zu den Entscheidern vordrungen?
Können sie denn bis auf das Kleinste ihre Vorstellungen vom THE darstellen!
Und wozu der Konsens? Wenn man liest was sie bisher geschrieben haben, wollen sie das alle ihrer Version glauben? Sonst sind sie Leugner?
Den Versuch können sie machen. Beschreiben sie bis ins Kleinste!
Herr Heß,
nicht nur den eigenen, sondern auch den von anderen, deren Grenzen üblicherweise weit abgeschlagen hinter den Möglichkeiten liegen.
Wie viele Menschen, die eine vermeindlich revolutionäre „eigene Theorie“ anpreisen und damit Fehler in der „Mainstream“-Wissenschaft nachgewiesen haben wollen, muss man erst „durchprüfen“, bis man unter denen das Jahrtausendgenie findet, welches eine wissenschaftliche Jahrtausendrevolution auslöst?
Ich sage, da ist man „konventionell wissenschaftlich“ („so, wie immer“, so unperfekt es sein mag) schneller.
ich glaube nicht, dass jeder Wissenschaftler zum Wissenschaftkommunikator werden muss. Manche können erst im Stillen ihre wissenschaftlichen Begabungen richtig ausüben.
Ich halte es zu einseitig von Ihnen, wegen eines ruppigen, rücksichtlos, dominant oder autoritär erscheinenden Verhaltens einiger „massgeblicher“ Wissenschafter in der Öffentlichkeit auf die Wissenschaftlichkeit ihres Faches zu schließen.
Ich fordere auch nicht, dass jeder Wissenschaftler zum Medienprofi werden muss. Aber wer sich bewusst in Talkshows, Gremien oder Kampagnen als „Stimme der Wissenschaft“ positioniert, kann sich nicht so verhalten, als ginge ihn die eigene Rhetorik nichts an.
In der klassischen Naturwissenschaft gehört dieses „Labeln“ von Andersdenkenden normalerweise nicht zum Handwerkszeug – dort diskutiert man Thesen und Daten, nicht Personen. In stark politisierten Wissenschaftsbereichen scheint das hingegen inzwischen zum Repertoire zu gehören, und genau das ist für mich ein Warnsignal, dass hier nicht mehr nur Wissenschaft betrieben wird.
Wer andere mit solchen Labels versieht, sendet damit selbst das Signal, dass er eine politische Agenda verfolgt, nicht nur einen naturwissenschaftlichen Klärungsprozess.
Soll das eine Selbsteinschätzung sein?
Die genannten Eigenschaften haben sie nicht.
Wer soll das sein?
Günter Heß 21. November 2025 7:40
Das muss mir entgangen sein. Wo war das?
Oder ist das wieder der Punkt, dass sich nur bestimmte Leute an die Grundregeln halten müssen, die anderen aber beliebig agieren dürfen, dafür dann aber auch nicht kritisiert werden dürfen?
Die Diskussion wirkt irgendwie … seltsam …
Aber sie kritisieren ja und dürfen das auch. EIKE verbietet Ihnen das nicht.
Wenn ein Blogger, Aktivist oder Politiker Etiketten benutzt, ist das unschön, aber erwartbar.
Wenn eine Expertencommunity das tut und sich trotzdem auf „die Wissenschaft“ beruft, ist das ein Bruch mit den eigenen Ansprüchen und genau das kritisiere ich.
Ich verstehe Ihren Eindruck, Sie steigen ja von der Seite in eine laufende Diskussion ein.
Die Fragen von Herrn Heinemann waren ziemlich „leading questions“, ich habe sie nur beantwortet, offenbar nicht in dem Sinne, den er gern gesehen hätte.
Aus meiner Sicht, weil meine Antworten klar machen: Weder in Naturwissenschaft noch in beruflicher Praxis ist es sinnvoll, Widerspruch mit Labels zu belegen, das rächt sich langfristig.
Wenn Sie genauer wissen wollen, worauf er hinauswollte, müssten Sie ihn selbst fragen.
Günter Heß 21. November 2025 13:36
Die Diskussion begann mit einem Kommtar hier im Blog, an dem Sie Anstoß genommen haben. Wenn das OK ist, warum dann die ganze Diskussion? Oder sehen Sie in einem Teil der Kommentatoren eine „Expertencommunity“, die das nicht darf?
Ich verfolge die Diskussion von Anfang an, hielt es jedoch nach Ihrer Antwort auf meinen Kommentar für nicht sinnvoll, mich aktiv dran zu beteiligen …
Herr Heß,
Ist das nicht eine Binsenweisheit? Sie machen es sich etwas einfach mit dem Vorwurf, wenn Sie nicht berücksichtigen, wie des zum ‚labeling‘ kommt. Es ist ein Unterschied, ob man jemanden ‚grundlos‘ als Idioten oder Leugner labelt oder, weil er die Diskussion ohne Argumente zur Sache führt, Dinge stets verdreht ohne Gründe zu nennen oder falsch wiedergibt.
Mittlerweile gibt es ja auch Diskutanten, die das sogar provozieren wollen, um Experten unsachlich reagieren zu lassen und so zu diskreditieren und vom Thema abzulenken.
Wen nennen sie eigentlich hier „Experten“?
Günter Heß 21. November 2025 7:40
Das Prüfen irgendwelcher Behauptungen geschieht doch – auch hier. Wenn die Prüfung aber ergibt, das die Behauptungen haltlos sind, dann muß man das auch aussprechen dürfen und den Phantasten auch als Leugner der Wahrheit bezeichnen dürfen.
Das die Leugner die Ergebnisse der Prüfung nicht anerkennen wollen, ist ein typisches Kennzeichen der Leugner.
Herr Ebel ein Experte?
Er hat „Leugner“ gesagt!
Herr Ebel,
ich kenne keine Prüfung von Ihnen, die belegt, dass Treibhausgase die Erde warm halten.
Ich habe geprüft und entdeckt, dass die Erde höchstwahrscheinlich am Tag 303 K und in der Nacht 269 kalt wäre, wenn die Treibhausgase und nicht die Wolken die notwendige Gegenstrahlung von 155 W/qm (bezogen auf die Erdoberfläche) leisten würden.
Nur wenn die Sonne Tag und Nacht mit 235 W/qm bestrahlt wird, ist eine zusätzliche Wärmezufuhr von 155 W/qm notwendig. In den Büchern steht es ein wenig anders: Die Erde strahlt Tag und Nacht 235 W/qm in den Weltraum (TOA).
Das stimmt aber gar nicht: Die Erde strahlt am Tag 416,6 W/qm und in der Nacht 53,3 W/qm ab.
Für die Erde und für uns ist das gut so. Denn die Differenz der Temperaturwerte zwischen der Tag- und Nachtseite beträgt kleiner als 10 K. Das kann jeder auf solchen Wetter-Apps ablesen, die den Temperaturverlauf des jeweiligen Ortes anzeigen.
Wie sieht die Wirklichkeit aus?
Die Sonne bestrahlt die Tagseite mit 470 W/qm und die Tagseite strahlt 416,6 W/qm in den Weltraum ab. Die Differenz von 53,3 W/qm sorgt dafür, dass die rotierende Tagseite der Erde auch 293 K warm bleibt.
Die von den nächtlichen Wolken auf der Nachtseite geleistete Gegenstrahlung von 310 W/qm (bezogen auf eine Halbkugel) sorgt dafür, dass die rotierende Nachtseite nur um 53,3 W/qm auf
363,
3W/qm abkühlt.Wichtig: Alle Strahlungswerte sind bezogen auf eine Halbkugel.
Was sagen CERES-Daten aus?
Zunächst der Hinweis, dass die Strahlungswerte von CERES anscheinend auf die gesamte Erde bezogen (oder auch nicht ?) sind.
In einer Tabelle steht (vereinfacht):
Kurzwellige Strahlung von der Sonne 235 W/qm (angeblich nur Tag)
Langwellige Strahlung Tag (TOA) 235 W/qm
Langwellige Strahlung Nacht (TOA) 235 W/qm (Knackpunkt)
Alle Daten von CERES haben nichts mit der Erdoberfläche zu tun, und sind daher mit den Daten der Erdoberfläche schwer vergleichbar.
Lösung des Problems:
Der Knackpunkt (langwellige Strahlung Nacht (TOA) besteht
aus der Wärmeabstrahlung der Erde (53,3 W/qm) und
der Wärmeabstrahlung der nächtlichen Wolken in den Weltraum (?).
Ein ? ist übrig geblieben.
Was sagen Klimatabellen aus?
In Klimatabellen (aus Wikipedia, Unterpunkt Klima) vieler Städte sind Jahresmittelwerte der Erdtemperatur angegeben. Bei allen Städten, deren mittlere Temperatur von 288 K beträgt, beträgt die Differenz der Temperaturwerte der Tag- und Nachtseite kleiner oder gleich 10 K.
Das entspricht meiner Berechnung.
Das Versagen einer von Ihnen so definierten „Expertencommunity“ mit katastrophalen Schäden für die deutsche Volkswirtschaft, nennen sie:
Schon interessant.
Ich denke eher, dass das zeigt, dass die von Ihnen definierten Expertencommunities ein strukturell methodisches Problem für die Transparenz in der Öffentlichkeit und die Wissenschaftskommunikation darstellen.
Denn sie beanspruchen eine naturwissenschaftliche oder wissenschaftliche Autorität, die sie gar nicht haben.
Herr Heß,
Ich bezog mich damit offensichtlich auf den wissenschaftlichen Erkenntnisprozeß, nicht darauf, welcher volkswirtschaftliche Nutzen oder Schaden damit verknüpft ist oder wäre.
Man kann sicher toll herumspekulieren, was volkswirtschaftlich anders gelaufen wäre, wenn man die eine oder andere Entdeckung früher oder später gemacht hätte.
Sicher, das ist es. Aber das Kommunikationsproblem hat nicht nur Wissenschaft, sondern jeder. Das ist nunmal die Auswirkung, dass unsere Gesellschaft komplexer wird.
Wenn es also „nur“ ein Kommunikationsproblem und keines der wissenschaftlichen Erkenntnisprozesses wäre, wäre das ja beruhigend.
Da bringen Sie jetzt wieder etwas durcheinander: die Ausbildung einer „wissenschaftlichen Autorität“ sollte ja auch einem wissenschaftlichen Prozeß unterliegen. So wie z B. ein bestimmtes Lehrbuch empfohlen wird, welches ein Gebiet auf dem Stand des Wissens ausgewogen und bewertet darstellt und somit als „Standard“ oder „Referenz“ empfohlen wird.
Genau das ist der Punkt:
Solange Wissenschaft im Elfenbeinturm bleibt, können Sie das so sagen. In dem Moment, in dem dieselben „Expertencommunities“ aber sehr aktiv in Beratungsgremien, Medien und Politik mitwirken und dort mit Verweis auf ihre wissenschaftliche Autorität weitreichende Entscheidungen mit legitimieren, kann man der Frage nach Folgen und Schäden nicht mehr mit einem Hinweis auf den „reinen Erkenntnisprozeß“ ausweichen.
Wer mit wissenschaftlicher Autorität in den politischen Raum hineinwirkt, kann sich nicht darauf zurückziehen, es gehe „nur“ um Kommunikation. Genau dort wird sichtbar, wie ernst eine Community Widerspruch, Minderheitsmeinungen und Unsicherheiten tatsächlich nimmt.
Wenn jemand wissenschaftliche Autorität reklamiert, diese Autorität politisch nutzt und gleichzeitig Kritiker mit Etiketten versieht, dann ist es aus Sicht eines Naturwissenschaftlers völlig legitim, seine Vertrauenswürdigkeit in Frage zu stellen. Oder auch sein Lehrbuch.
Herr Heß,
Was wollen Sie jetzt damit sagen, etwa, dass für eine volkwirtschaftich oder gesellschaftlich relevante Wissenschaft andere (strengere) wissenschaftliche Regeln gelten müssen als für „Elfenbeinturm-Wissenschaft“?
Ich denke, solange es keine Verzerrung stattfindet zwischen den Erkenntnissen der „Elfenbeinturm-Wissenschaft“ und dem, was davon in Beratungsgremien, Medien und Politik erscheint, ist doch alles in Ordnung.
Warum erst dann? Also geht es doch um die Person.
Es geht um sie und warum sie „Leugner“ sagen, anstatt mit wissenschaftlichen Argumenten ihre Position, ich hoffe sie haben eine, darzustellen, schlüssig, mit Beispielen und Fragen zu beantworten.
Herr Heß hat es vorgemacht.
Mit der Antwort auf die Frage, wie sich eine 100% CO2 Atmosphäre verhalten könnte, ist eine Diskussion zum Thema zustande gekommen.
Nutzen sie diese!
Herr Schulz
Es geht um sie und warum sie „Leugner“ sagen, anstatt mit wissenschaftlichen Argumenten ihre Position, ich hoffe sie haben eine, darzustellen, schlüssig, mit Beispielen und Fragen zu beantworten.
Dass die Diskussion hier keine wissenschaftliche war, ist und wird, liegt ja nicht an mir, sondern an Ihnen.
Herr Heß hat lediglich anhand von Daten gezeigt, dass der „Verbreiterungseffekt“ zu berücksichtigen ist.
Das ändert nichts daran, dass ich Ihnen fortwährend während dieser Diskusdion gesagt habe, dass ich keine robuste quantitative Aussagen machen kann, sondern lediglich eine qualitative Schätzung, dass dieselbe CO2 Menge auch ohne „NichtIR-Nebengase“ einen Treibhauseffekt derselben Größenordnung macht.
Das Problem liegt immer noch bei Ihnen, denn Sie kamen und kommen meinen Aufforderungen nicht nach, die Antwort auf Ihre Frage in der wissenschaftlichen Literatur zu suchen. Stattdessen haben Sie früher wie auch jetzt Aussagen verfälscht wiedergegeben.
Solange Sie sich nicht an die Regeln wissenschaftlichen Argumentierens halten, werden Sie nie Mitglied in einer wissenschaftlichen Diskussionsrunde.
Herr Heinemann, ich verstehe, sie wissen es nicht und sie sind auch kein Experte.
Ich frage mich, was sie hier die ganze Zeit tun, wenn sie kein Fachmann sind, in welcher Runde befinden sie sich denn dann?
Und mein Fehler liegt also daran, das ich meine Fragen nicht selber in der Fachliteratur beantworte. Ist das korrekt?
Vor allem „verfälsche“ ich Aussagen, die ich, laut ihnen, nicht gefunden haben, oder?
Kennen sie Logik?
Zur Druckverbreiterung sollten sie Herrn Ebel fragen, der hatte da eine andere Sichtweise, sprich es gibt scheinbar keinen Konsens….
Herr Schulz,
das ist schon lustig und mal eine gute Frage. Sie wissen so gut wie ich, dass hier keine Wissenschaft betrieben wird. Dazu würden Sie in die Uni gehen.
Ich bin hier, weil ich zum schlimmsten und wahnwitzigsten Irrglauben zum Klimawandel aufklären möchte und versuche, die Leute mit absurden Behauptungen und Vorstellungen zu rationalem Denken und zur Wissenschaft zu bewegen.
Das mag sein. Und damit sind Sie wohl nicht alleine, denn selten findet man die Antwort auf seine Frage direkt im Lehrbuch. Man muß beides erst abgleichen und die eigentlich Frage so weit freischälen, bis sie in euner wissenschaftlich beantwortbaren Form vorliegt. Das ist nicht so einfach.
Im Grunde ist das mein Hauptpunkt: Wenn jemand das Wort „Leugner“ in die Runde wirft, verschiebt sich die Diskussion von der Sache zur Person und genau damit wird sachliche Diskussion oft faktisch abgewürgt. Ob das bewusst beabsichtigt ist oder nicht, kann der Leser oder Diskussionspartner gar nicht unterscheiden. Gerade deshalb gehört so ein Label nicht zum Instrumentarium der Naturwissenschaft, und Naturwissenschaftler vermeiden es in der Regel.
Ich selbst nutze solche Begriffe als Marker: Wer andere als „Leugner“ etikettiert, signalisiert mir damit, dass sein Beitrag politisch gefärbt ist.
Man hat das hier ja sehen können: Sie haben Ihre Frage zur 50-Pa-Atmosphäre in den Ring geworfen und über ein gutes halbes Jahr (?) kamen praktisch keine inhaltlichen Argumente dazu.
Günter Heß 24. November 2025 8:06
Die Frage ist qualitativ seit langer Zeit geklärt. Herr Schulz bekam 3 wesentliche Punkte als Antwort:
Da Herr Schulz wusste, dass er keine quantitative Antwort bekommen wird, hat er die Frage endlos wiederholt.
Sie haben ihm jetzt eine konkrete Zahl genannt. Ändert das irgend etwas? IMHO nein, Sie sehen ja hier bereits, wie er Ihre Ergebnisse verzerrt präsentiert. Werden Sie ihm hinterherrennen, wenn er Ihren Wert nimmt und mit Verweis auf Sie behauptet, CO2 habe nur einen geringen Einfluss? Wäre das OK für Sie?
Beispiele dafür finden Sie in vergangenen Diskussionen genug. Vor den 50Pa war es die im infraroten graue Atmosphäre, die zeigen würde, dass das die Atmosphäre mit Treibhausgasen nicht zu einer höheren Oberflächentemperatur führen könne. Nachdem es jemand gerechnet hat, war keine Rede mehr davon. Dann wurde die Aussage eines Kommentators zum Wärmefluss zwischen zwei Körpern aus dem Kontext gerissen und in jeder möglichen und unmöglichen Situation als Argument gegen eine Wirkung der Atmosphäre auf die Temperatur präsentiert. usw. usf.
Irgendwie scheinen Sie das alles nicht wahrzunehmen …
Danke Herr Fischer, dass Sie die Geschichte zusammenfassend darstellten.
Herr Heß, Ihre Schlußfolgerung basiert auf Ihrem Eindruck der letzten Zeit. Das ist unzureichend, denn das Thema hat eine lange Historie. Wie Herr Fischer korrekt zusammenfasst, war das Thema vor langer Zeit bereits sachlich geklärt. Herr Schulz Beiträge dazu führten nur dazu, dass das Thema den Eindruck erweckte, da wäre etwas ungeklärt. Möglicherweise ist das nur sein Ziel und Sie sind darauf reingefallen. Nun reden wir aber schon wieder nur über Personen… . Um das zu vermeiden, sehe uch nur den Weg, Herrn Schulz anzuzählen, damit aufzuhören, seine Verfälschungen aufzuklären und zu korrigieren. Jetzt können Sue sich überlegen, wie oft diese Wiederholung Sinn macht, ich für meinen Teil begrenzte das und kicke Wiederholungstäter, die nichts Sachliches beitragen, lieber aus die Diskussion.
Ich betrachte ein Thema naturwissenschaftlich nicht als „geklärt“, nur weil es qualitativ einsortiert ist. Eine Aussage wie „Druck hat Einfluss, steht bei Pierrehumbert“ ist für mich der Einstieg, nicht der Abschluss einer naturwissenschaftlichen Diskussion über eine interessante Fragestellung.
Herr Heß,
Sie beziehen sich wohl auf
„Wie Herr Fischer korrekt zusammenfasst, war das Thema vor langer Zeit bereits sachlich geklärt.“
Damit meinte ich, dass die Frage und die zur Beantwortung notwendigen Voraussetzungen geklärt waren. Die Frage selbst ist damals wie heute nicht endgültig geklärt. Wir haben ja nicht mal ein Klimamodell zur Berechnung herangezogen. Notwendig dafür wäre ein Forschungsprojekt mit entsprechenden Resourcen.
Sicher. Das ist offensichtlich.
Herr Heß,
Hier mein reply
Reply to Günter Heß
24. November 2025 17:10
Sie beziehen sich wohl auf
„Wie Herr Fischer korrekt zusammenfasst, war das Thema vor langer Zeit bereits sachlich geklärt.“
Damit meinte ich, dass die Frage und die zur Beantwortung notwendigen Voraussetzungen geklärt waren. Die Frage selbst ist damals wie heute nicht endgültig geklärt. Wir haben ja nicht mal ein Klimamodell zur Berechnung herangezogen. Notwendig dafür wäre ein Forschungsprojekt mit entsprechenden Resourcen.
Sicher. Das ist offensichtlich.
Und es wartet ein Nobelpreis auf sie! Wenn sie beweisen können, das Stickstoff und Sauerstoff die wichtigsten Treibhausgase sind, dann ist ihre wissenschaftliche Karriere auf dem Höchstpunk.
Herr Schulz,
Sie kaspern.
In dem Fall haben sie recht! Sie werden den Nobelpreis sicher nicht kriegen!
Herr Schulz,
Sie haben es immer noch nicht kapiert: auf diesem Gebiet ist kein Nobelpreis zu holen, weil alles verstanden ist.
Und gerade sagen sie und Herr Mueller/Fischer
Oder sie selber:
Wobei sie da scheinbar die Druckerweiterung gar nicht bedenken!
Das ist jetzt also sachlich geklaert aber qualitativ fragwuerdig?
Sie wissen es nicht und ich muss selber Rechnen!
Die quantitative Abschaetzung von Herrn Heß ist wohl doch (seit einstellen der Frage) die einzige Antwort, die wir haben, oder?
Siehe
Reply to Günter Heß
24. November 2025 17:10
Herr Schulz,
Sie sagen, ein Physiker sollte die Temperatur einer Erde mit 50 Pa und 100% CO2 berechnen können. Mein Versuch:
Annahmen:
Gegenstrahlung GT (durch CO2) = 40 W/qm (bezogen auf Erdkugel,)
Tagestemperatur XT
Nachttemperatur XN
Sonneneinstrahlung ET = 684 W/qm
Wärmeabstrahlung ins Weltall QN
Dann gilt: XT-XN = ET + 40 W/qm – QN – (40 W/qm + QN) = QN
Ergebnis: QN = 228 W/qm
XT = 496 W/qm TT = 306 K
XN = 268 W/qm TN = 262 K
TM = 286 K
Die Erde ist jetzt im Mittel 4 K geringer als das Original.
Bei Wirkung vom CO2 beträgt die Temperaturdifferenz 44 K.
Es fehlen einfach die Wolken
Herr Kuck, wenn die Wolken fehlen, empfehle ich eine IR grauen Atmosphäre zu analysieren.
Die Frage ist, wie sich Atmosphären mit 50 Pa, 1 bar oder 5 bar auswirken.
Wie wird die sogenannte Gegenstrahlung für die einzelnen Fälle errechnet?
Wie sind sie auf 40W/m2 gekommen?
Herr Schulz,
155 durch 4
Mir ging es bei der 50-Pa-Atmosphäre nur darum, zur eigentlichen Fragestellung etwas beizutragen.
Ich verfolge hier nicht alle Diskussionen, sondern nur ausgewählte, was jemand vor drei Jahren gesagt hat und ob es ihm „schon erklärt wurde, interessiert mich nicht so. Für sie scheint es ja wichtig zu sein.
Wenn jemand meine Zahlen als Beleg benutzt, dann tut er das auf eigene Gefahr: Es handelt sich ausdrücklich um eine grobe Abschätzung, die falsch sein kann, vermutlich sogar falsch ist, weil sie zu grob ist, und die man im Zweifel nachrechnen muss. Das ist Herrn Schulz bewusst.
Mir ist eher nicht klar, zu welchem Zweck Sie überhaupt noch mit ihm diskutieren, wenn Sie ihn gleichzeitig für so unbelehrbar halten.
Und jetzt weiss ich, das die Atmosphaerenphysik von einigen hier Anwesenden nicht ausreicht diese Frage zu beantworten.
Wenn die Druckbverbreiterung die Ursache ist, und Stickstoff diese beeinflusst, dann sind die von Herrn Heinemann ideologisch benannten „Nebnegase“, die die Hauptgase sind am THE beteiligt und logischerweise auch Treibhausgase!
Eigentlich erst seit sich Herr Hess der Frage angenommen hat. Haben sie den Einwand von Herrn Ebel nicht wahrgenommen, wegen der Druckerweiterung? Das nennen sie Klarheit?
Der eine sagt so, der andere so!
Werner Schulz 24. November 2025 14:01
Das ist nur Ihre Schlussfolgerung. Sie wissen nicht, warum sich niemand die Arbeit machen wollte, die Zahlen zu ermitteln. Die Aussagen, die Sie basierend auf den Ergebnissen von Herrn Heß treffen, sagen mir, dass es – warum auch immer – eine gute Entscheidung war.
Sie kennen den Unterschied zwischen qualitativ und quantitativ?
Ein prima Ergebnis der Arbeit von Herrn Heß…
Na ja, nachdem wir die Frage von Herr Schulz erstmal in eine Form gebracht haben, die physikalisch beantwortbar ist, ist sie ja durchaus naheliegend und interessant. Aber, nur für Herrn Schulz zuliebe darf man keine Anstrengungen zur Beantwortung machen. Und klugerweise hat das auch niemand hier gemacht. Wenn die Antwort einfach in der wissenschaftlichen Literatur zu finden wäre, hätte ich gerne darauf hingewiesen.
Ich lach mich schlapp! Jetzt aber wirklich.
Und ich habe die Frage sicher gefragt, um die Antwort zu behalten.
Und weil sie nicht geantwortet haben, sind sie klug!
Es gibt also ausdrücklich keine Antwort in der Literatur. Das halte ich mal fest.
Der Rest ist Kindergarten!
Herr Schulz,
Zeigen Sie das. Glaube ich nicht.
Nicht in der Form wie die Frage jetzt mit Gebutshilfe für Sie formuliert wurde. Sie eierten da nur herum, weil Sie sich nicht entscheiden konnten, welche Atmosphären Sie verglichen haben wollten.
Es gibt also ausdrücklich keine Antwort in der Literatur. Das halte ich mal fest.
Sie:
Sie einen Tag vorher:
Ich berufe mich auf ihre Aussage, danke!
Woher wollen Sie das wissen? Sie können doch gar nicht fachmännisch suchen.
Haben sie irgend ein Problem?
Stickstoff und Sauerstoff sind die Hauptgase der Atmosphäre. Der partielle Druck von CO2 ist im Vergleich vernachlässigbar.
Wenn also der Druck von den Hauptgasen einen Einfluss auf das Strahlungsverhalten von IR aktiven Gasen hat, dann ist es Aufgabe der Klimawissenschaft, diesen Einfluss qualitativ und quantitativ darzustellen.
Wenn sie dazu etwas finden, stellen sie es hier ein.
Wenn es sowas nicht gibt, und das entnehmen ich ihren und Herrn Heinemann Äußerungen, dann fehlt mir ein großes Stück Vertrauen in diese Wissenschaft!
Und Leute wie sie, die hier Verschleierung betreiben oder andere, die ihr Ego bürsten, sind unterallerletze Stufe.
Werner Schulz 24. November 2025 21:02
Nein.
Es läuft alles genau so ab, wie man es erwarten würden, wenn man keine rosarote Brille aufhat. Sie fangen sogar schon an, die Druckverbreiterung in einen anderen Kontext zu versetzen, um sich über die Leute, die diesen Aspekt sehen, lustig zu machen.
Aha,
Humor ist ihr Problem!
Wie das grundsätzlich wissenschaftlich dargestellt ist, hat Herr Hess doch schon demonstriert. Freilich nur elementar.
Dann sollte sich die Klimawissenschaft bei Herrn Heß bedanken, oder? Elementar, qualitativ und quantitativ!
Bemerkenswert!
Das wird ja in den Strahlungscodes in Strahlungstranportmodellen und Klimamodellen freilich berücksichtigt. Ihre Frage ist naiv.
Erst mal tick tick, lange Leitung
Und jetzt erklären sie bitte, wie nicht IR aktive Gase in Strahlungsmodellen Berücksichtigung finden.
Welche Frage ist naiv?
Herr Schulz
Die Druckverbreiterung der Nebengase hat ja Auswirkungen auf das IR Spektrum des CO2s. Daher ist im Strahlungscode eines Klimamodells natürlich die gesamte Zusammensetzung der Atmosphäre zu berücksichtigen. Die ist natürlich sowie im Klimamodell hinterlegt.
Daher ist Ihre Frage naiv. Sie haben nicht logisch gedacht. Denn Sie wissen doch jetzt, dass die Druckverbreiterung einen signifikanten Beitrag liefert. Das hat Herr Hess im Spektrum gezeigt. Und da es so offensichtlich mit einer einfachen Nachrechnung in einem einfachen Strahlungscode schon zu demonstrieren ist, ist ja auch klar, dass es in wissenschaftlichen Modellen berücksichtigt wird.
Ich weiss immer noch nicht welche Frage naiv ist. Bitte geben sie genau die Frage an. In ihrem Zitat von mir war keine Frage.
Offensichtlich einen sehr grossen Teil. Also hat der Druck einen sehr grossen Einfluss?
Wo wird das bei den Erklärungen zum Treibhauseffekt genau beziffert? 33K wie hoch ist der Anteil durch den Druck der nicht IR aktiven Gase?
Na, Ihre Frage, wie die Klimawissenschaft dies macht:
Das habe ich geschrieben, machiem sie meinten das eine Frage naiv wäre.
Abgesehen davon, die Erklärung findet man wo?
Na in den 33K, bzw. 7K des CO2-Anteils vom atmosphärischen Treibhauseffekt.
Wir hatten das schon mit Hilfe von Herrn Hess Abschätzungen geklärt. Sie wissen doch jetzt, dass dieselbe CO2-Menge mit Nebengasen einen stärkeren THE macht (etwa 7K) als ohne diese (etwa 1K).
Wissen wir das jetzt?
Die IR inaktiven Gase versiebenfachen den Effekt?
Sind dann von 33 K nur etwas 5K durch IR aktive Gase? Die Druckverbreitung macht sich auch bei Wasserdampf bemerkbar?
Sind demnach 28 K den „Nebengasen“ an zulasten?
Oh Boy. In welcher Treibhauserklärung steht das?
Herr Schulz,
Wollen Sie wieder fälschen? Wenn A richtig ist, folgt daraus nicht B.
Ein Verstärker (1 bar Nebengase), der 7fach verstärkt, macht aus dem Eingangssignal I (CO2-Menge) das Augangssignal O = V × I = 7 I.
Es ist O = (V-1) × I + I. Sie behaupten nun, dass die Nebengase (über ihr V) alleine den Wert von X = (V-1) × I bestimmen. Das ist falsch, denn X ist proportional zu I. Wenn kein CO2 /IR-Gase da ist, gibt es keinen CO2-THE / Gesamt-THE, denn O = 0 für I=0.
A) Ist also Richtig?
B) folgt logisch aus A) wenn der gesamte Treibhauseffekt auf Strahlung und Druckerberbreiterung besteht.
Und ich sage nicht das die angeblichen Nebengase allein den THE bestimmen.
5K sind von IR aktiven Gasen ohne Druckverbriterung zuzurechnen.
Apropro
Wieviel Wasserdampf erwarten sie in 100% CO2 bei 0.05 kPa?
Was soll die Frage? Sie kennen doch die Herkunft dieser Aussage. Zitieren Herrn Hess dazu einfach korrekt und VOLLSTÄNDIG. Oder ist irgendwas unklar?
Ich zitiere ihre Version. Und ich konstatiere, Stickstoff und Sauerstoff haben einen siebenmal größeren Anteil am THE, als CO2 .
Sie wissen doch jetzt, dass dieselbe CO2-Menge mit Nebengasen einen stärkeren THE macht (etwa 7K) als ohne diese (etwa 1K).
Meines ist richtig wiedergegeben, Ihre Version ist irreführend, denn ohne CO2 wirken die Nebengase nicht.
Sie kapieren nicht, was Verstärkung heißt: O = V × I . Kein O ohne I.
CO2 ist aber nunmal da, und wenn allein, dann eben nicht so potent.
Was soll ich denn jetzt nicht verstehen? Das ohne Intelligenz ein Intelligenzverstärker nutzlos ist?
Das ist doch offensichtlich!
Herr Schulz
Für mich schon, für Sie im Falle des CO2s nicht.
Da fehlt es dann bei ihnen also am Verstärker?
Sie kapieren nicht, was Verstärkung heißt: O = V × I . Kein O ohne I.
Sie meinen ohne Stickstoff keinen verbreiterten Treibhauseffekt?
Ja das verstehe ich!
Wahrscheinlich ist der inaktive Stoßpartner gar nicht so entscheidend.
Was passiert denn nun mit der Temperatur, wenn man die CO2-Menge verdopppelt und die inaktiven Gase gleich läßt?
Na bei einer siebenfachen Verstärkung sicherlich nicht, macht ja nur den Hauptteil vom Treibhauseffekt aus, oder?
Das müssten sie doch sicher erst noch berechnen! Warum sie mich fragen, weiss ich nicht.
Aber darf ich fragen wie sie auf diese Frage kommen?
Das eine ist bezüglich des Treibhauseffektes, jetzt fragen sie nach der „Klimasensitivität“?
Wenn mehr CO2 in der Atmosphäre ist, fehlt dann Sauerstoff?
Bleiben die Druckverhältnisse gleich, oder gehen sie von in etwa gleichen Verhältnissen aus?
Was passiert denn wenn sie die CO2 Atmosphäre mit 0.1 kPa nehmen?
Herr Schulz
Ich meinte:
Wahrscheinlich ist die Sorte des inaktiven Stoßpartner gar nicht so entscheidend. Es kommt nicht so sehr auf die Substanz als vielmehr auf seine Menge von 1bar an. In 1 bar Helium mag der THE-Effekt der CO2 Menge etwa gleich dem in der Erdatmosphäre entsprechen.
Herr Heinemann,
sie sagen:
Dann wäre es doch auch so, wenn die Atmosphäre bei 1 bar 100% CO2 wäre?
Oder sind CO2 Moleküle keine Stoßpartner?
Werner Schulz 5. Dezember 2025 9:09
Fragen Sie doch einfach Herrn Heß, ob er die Rechnung nochmal mit einem bar durchführen kann (oder Ihnen sagen kann, welches der Scripte von Pierrehumbert er genommen hat, damit Sie es selber rechnen können…
Ich fragte Herrn Heinemann, danke!
Herr Heß liest sicher noch mit. Und warum fragen sie nicht, sollte eine logische Frage sein, nachdem was Herr Heinemann sagt, oder?
Herr Schulz,
Warum so umständlich? Herr Heß hat das Interesse an Ihrer Frage gehabt und das Skript, ich habe beides nicht.
Ich gebe Ihnen sowieso nur Anleitung, lernen müssen Sie selbst.
Doch, auch bei der 50 Pa reinen CO2-Atmosphäre mit geschätzt 1K THE ist das Spektrum druckverbreitet, ist doch klar.
Na wenn das klar ist, dann ist die Druckverbreiterung ja bei 100 % CO2 oder bei Helium oder Stickstoff immer gleich!
Sind sie sicher?
Witzbold, Sie müssen doch nur in die Literatur gucken.
In welcher Literatur muss ich denn gucken, wenn sie zu dem Thema noch gar nichts gefunden haben?
Diese Zurechnung ist aber physikalischer Unsinn, denn das Spektrum von CO2 ist nunmal mit Nebengasen so wie es ist und unterscheidet sich von dem ohne Nebengase.
Naja, das ist ja klar, das:
Mit der Einlassung, das wir hier die Hauptgase Stickstoff und Sauerstoff meinen, und das diese Gase den 1K Effekt von CO2 versiebenfachen!
Demnach sind die 7K am THE durch das CO2, zu relativieren, weil der THE durch reines CO2 nur 1K ist.
Jetzt besteht der Verdacht, das auch die Wasserdampfstrahlung dieser Druckverbreiterung unterliegt.
Wie wirkt sich das aus? Wie hoch ist die Strahlung von Wasserdampf, mit den Hauptgasen und ohne diese? Kommt hier auch ein Faktor 7 vor?
Herr Heß
soviel zur Sachlichkeit des Herrn Schulz. Er wirft mir wegen der Unterscheidung zwischen CO2 und anderen Gasen „Ideologie“ vor.
Ach sie wussten nicht, das Stickstoff und Sauerstoff den Hauptteil der Gase in der Atmosphäre ausmachen?
Und sie nennen es „Nebengase“.
Warum?
Machen Sie mal keinen Aufstand, um den Begriff. Von mir aus erfinden sie für mich einen anderen Begriff dafür.
Sie spielen beim Strahlungstransport nur die „Nebenrolle“ zur Druckverbreiterung aber absorbieren selbst nur unbedeutend.
Na dann heißen sie doch, Nicht IR aktive Gase, was fast auch nicht stimmt, weil auch Stickstoff gewissen IR Bänder absorbiert und dan ja wohl auch strahlt .
Herr Schulz
Ich schrieb ja schon: Sie spielen beim Strahlungstransport nur die „Nebenrolle“ zur Druckverbreiterung aber absorbieren selbst nur unbedeutend.
Herr Heß,
Ich denke, dass die meisten, den den Begriff „Leugner“ in die Runde werfen, bereits vorher schon die sachliche Diskussion vermisst haben. Er wird „konklusiv“ benutzt.
Und wenn man sieht, wie die Diskussion hier verlaueft, ausser von ihnen kommt da nicht so viel Expertenwissen.
Ich denke das ist nicht das Problem von Expertenwissen, denn da gibt es heutzutage ja genug und auch viele Klimaexperten, sondern eher das Selbstverständnis wann man für sich eine Fragestellung als geklärt betrachtet.
Ich bin kein Klimaexperte, sondern versuche nur die Natur qualitativ und quantitativ zu verstehen. Da ist das eine interessante Fragestellung. Der Stand den ich bisher dazu im Blog und in der Literatur gelesen habe lässt für mich noch Fragen offen.
Herr Heß,
in der Tat sind da noch einige Fragen offen. Vielleicht gibt es ja ein paar Antworten.
Was halten sie von einem Vergleich mit der oberen Atmosphaere vom Mars, oder der Venus mit aehnlichem Partialdruck?
Dinge wie Solarkonstante oder Gravitation oder Planetengroesse kann man ja beruecksichtigen und eine Auge wegen nur 96% CO2 zukneifen.
Herr Heß,
Vorbemerkung: Ich möchte mich nicht in Ihren Disput mit Herrn Heinemann einmischen.
Ich komme noch einmal auf die Daten von CERES zurück.
Ich habe eine Wärmeabstrahlung von 53,3 W/qm der nächtlichen Halbkugel berechnet. CERES gibt einen am TOA einen Wert von etwa 240 W/qm an.
Kann es sein, dass die nächtlichen Wolken ebenfalls in den Weltraum abstrahlen?
Ich bin darauf gekommen, weil Herr Ebel immer auf die gemessenen Werte der langwelligen Strahlung des Wettermastes hinweist. Bei genauem Hinsehen, enthalten die gemessenen Werte auch die der Wolken und der langwelligen Sonneneinstrahlung.
Arno Kuck 21. November 2025 13:03
In den Angaben des Hamburger Wettermastes ist auch die Wolkenbedeckung und die Uhrzeit (indirekt) enthalten: https://wettermast.uni-hamburg.de/frame.php?doc=Zeitreihen8d.htm#STRAHLUNG
am 21.11.2025 0:00 waren weder Wolken noch Sonnenstrahlung.
Herr Ebel,
wie kalt ist es denn in der Nacht kalt geworden.
Herr Ebel,
ich habe mir die Nachttemperatur angesehen. Die Temperatur ist etwa um 8 K gesunken, dass entspricht der fehlenden Gegenstrahlung der nächtlichen Wolken.
Noch ein Beweis, dass die Wolken und nicht die Treibhausgase die Erde warm halten.
Ja tun sie.
Eine prompte Antwort. Danke
Arno Kuck 22. November 2025 8:08
Vielleicht kann Ihnen Herr Schulz dann auch noch das atmosphärische Fenster erklären. Vielleicht glauben Sie ihm ja …
Wer benutzt denn das atmosphärische Fenster? Etwa die Wolken ?
Arno Kuck 22. November 2025 13:04
Wissen Sie inzwischen, was es ist und wodurch es entsteht? Wenn nicht, erst informieren oder auf Werner warten …
Benutzen kann man es technisch, hat mir gerade ein Kollege erklärt, aber für die Wolken gilt, das die Abstrahlung in allen Wellenlängen abgeht, die Atmosphäre aber nur bestimmte Wellenlängen absorbiert.
Sind wir schon mit Wolken fertig?
Wie ist zum Beispiel der Temperaturgradient in Wolken?
Werner Schulz 22. November 2025 22:34
Aus meiner Sicht ja. Herr Kuck ignoriert alles, was dazu an Argumenten kommt.
War auch schon Thema:
Und das gilt für eine geschlossene Wolkendecke. Neuerdings ist Herr Kuck ja auch noch der Meinung, dass sich die 53,3W/m^2 aus einer Mischung von Abstrahlung der Wolken und des Erdbodens ergeben. Da gehen die -95°C noch nach unten …
Erklären Sie Herrn Kuck noch, was das atmosphärische Fenster ist und wie es entsteht? Sie hatten das doch selbst in die Diskussion eingebracht: „Existiert das atmosphärische Fenster bei klarem Himmel nicht?“
Warum sollten Sie das nicht tun?
Herr Heß,
dann strahlen die Erde 53 W/qm und die Wolken 182 W/qm in den Weltraum ab.
Ist das auch denkbar?
Warum agieren Sie dann so als sei ihr Modell nicht robust?
Der Svante hat nichts!
Eigentlich wollte ich oben Sie zitieren, nicht mich:
Nun ja, wollen Sie damit sagen, dass Sie den Diskussionsrahmen nicht mal in den Rahmen der Wissenschaft beschränken wollen und von gar keinen soliden Grundlagen ausgehen wollen?
Herr Heß,
Mich würde Ihre Antwort zu
Ich frage jetzt erneut: wenn Sie der Projektleiter wären, wie würden Sie mit dem „begründungslosen Zweifler“ umgehen?
In Reply to Günter Heß
16. November 2025 15:43
Interessieren.
Ich dachte ich hätte es schon geschrieben.
Wenn ich Projektleiter bin, behandle ich auch „begründungslose“ Zweifel zunächst wie eine Hypothese und mache sie zum Teil des Erkenntnisfortschritts bzw. des Risikomanagements. Ich notiere den Zweifel, prüfe, was passieren würde, wenn er zuträfe, und bewerte im Team, ob daraus ein relevantes Projektrisiko oder sogar eine mögliche Verbesserung entsteht. Hat diese Betrachtung potenziell einen signifikanten Einfluss auf das Projekt, wird eine Vorkehrung oder Gegenmaßnahme geplant, und wir versuchen, den Zweifel durch zusätzliche Nachweise oder Tests zu klären. So bleibt der Zweifel im System verarbeitet, statt dass ich ihn durch ein Etikett („Leugner“) aus der Diskussion entferne und am Ende unvorbereitet dasitze, falls der Zweifler Recht hat.
Herr Heß,
Nicht so, dass ich es erkannt hätte.
Wie ich beschrieb, sind in meinem Beispiel verläßliche Messungen ausschlaggebend für die weiteren Projektschritte. Das Projektrisiko ist also hoch.
Das Teammitglied, welches für die Bereitstellung der Messungen in Team zuständigt ist, sagt nun – wie bereits erklärt-aus, dass die Messungen nicht bewertbar sind und er liefert keine Details dazu. Auch kann niemand anderes in Team dies. Das Projekt stockt also aufgrund seiner unbegründeten Behauptung und das Team kommt nur weiter, wenn jemand die Messungen bewertet.
Was würden Sie machen? Würden Sie tatsächlich nur die Risiken und Optionen für das Projekt dokumentieten und dann das Projekt unerledigt stoppen?
Ich hatte es bereits konkreter und einschränkender erklärt: Es gibt nur einen im gegenwärtgen Team, nämlich den Zweifler, der die Messungen bewerten könnte. Und der tut es nicht.
Also, was machen Sie als Projektleiter?
Das ist mir zu theoretisch und hat mit unserem Fall ja nichts zu tun.
Denn es sind ja genügend da die es bewerten können.
Aber, ich nenne ihn auf jeden Fall nicht „Leugner, weil das weder zur Naturwissenschaft, noch zu meinem Beruf gehört und eben auch schlechter Stil ist.
Unser Fall ist mein fiktives Beispiel mit dem Team und dem beschriebenen Teammitglied. Es gibt meines Wissens auch keinen anderen Fall, den wir beide gerade diskutieren.
Auch wenn Sie es theoretisch finden, würde mich trotzdem Ihre Antwort interessieren, wie Sie als Projekleiter verfahren. Im Kern geht es um die Frage, wie es mit dem Projekt weitergeht, wenn entscheidende Informationen nicht klar vorliegen und der dafür Zuständige die Daten zwar vorlegt diese aber unbegründet in Zweifel zieht.
Nein. Das hatte ich fürs Beispiel ausgeschlossen.
Das stelle ich nicht in Abrede. Kommen Sie mal aus dieser Schleife heraus.
Ich äußere meine Erwartungen immer klar und deutlich. Deshalb passiert mir das wohl nicht. Das reicht anscheinend aus. Die Daten liegen ja vor und wie ich mit Zweifel umgehe habe ich Ihnen oben beschrieben. Denn auch unbegründete Zweifel aus einem Bauchgefühl heraus können wichtige Beiträge leisten, wenn man konstruktiv damit umgeht wie ich oben beschrieben habe.
Nun ja, mag sein, dass ich es nicht griffig formuliert habe. Aber mein Beispiel geht davon aus, dass niemand im Team die Messdaten bewerten kann, sondern nur allein das Teammitglied, welches Zweifel äußert, diese Kompetenz hat. Erwartungen sind klar geäußert worden. Das Team sei dennoch in die geschilderte Situation geraten.
Herr Heinemann,
ich übersetze mal.
Herr Heß sagt, er würde die Person im Team nicht Leugner nennen.
Falls sie da noch mehr Gesinnungsgenossen brauchen, was ist falsch an Herrn Ebel und Marvin Fischer?
Günter Heß 17. November 2025 7:28
Diese Beschreibung entspricht nicht dem, was ich den Ausführungen von Herrn Heinemann entnommen habe.
Ich nehme einfach mal Ihre Sicht auf Wissenschaft[1];
Ich bin mir relativ sicher, dass Herr Heinemann das genauso sieht,
Passt das Verhalten der kritisierten zu dieser Sicht? Haben Sie eine entsprechende Untermauerung der ständigen Kritik oder Infragestellung des bekannten Wissens gesehen? Oder können Sie die alternative Sicht in einer Form wiedergeben, die sich entsprechend Ihrer Sicht widerlegen läßt?
Oder geht es wirklich nur um das Label? Davon gibt es hier in den Diskussionen viele …
Ihre Frage passt nicht zu meiner Sicht auf Naturwissenschaft, weil sie sich auf Menschen bezieht.
Ich habe noch keine Widerlegung gesehen, die mich als Naturwissenschaftler zufriedenstellen würde.
Da ich das bekannte Wissen selbst nicht vollständig kenne, kann ich das nicht beantworten. Ich kenne nur, was ich selbst weiß, und versuche dieses Wissen zu erweitern. Ich hielte mich für anmaßend, wenn ich das bekannte Wissen definierte.
Welche Sicht meinen Sie? Eine politische „Mainstream-Sicht“ zu der es dann eine „Alternative Sicht“ gibt.
Naturwissenschaft kennt keine solchen Schubladen-Sichten. Es gibt immer nur irgendein Lehrbuch-Wissen das meistens veraltet ist.
Und jeder hat ein Anderes.
In diesem Forum geht es doch, um viele Einzelthemen. Es gibt viele Sichtweisen, aus denen man etwas lernen kann. Das ist doch entscheidend.
Da müssten Sie mir also schon ein Beispiel nennen, welche Sicht sie meinen.
Ich verstehe die Sichten, die sie vermutlich meinen ausreichend. Manche sind kurz formuliert. Aber bisher habe ich bei Vielen dieser Diskussionen, in denen dann schnell mit dem „Leugner“-Label gewedelt wird, keine Widerlegung gelesen die mich als Naturwissenschaftler zufriedenstellt.
Deshalb finde ich es erfrischend weiter zu diskutieren.
Angeblich „bekanntes Wissen“ immer als Schild vor sich herzuführen ist langweilig und führt nicht zu Fortschritt.
Günter Heß 17. November 2025 15:12
Herr Heß, wo beginnt bei Ihnen der Witz? Wenn heute jemand in die Diskussion wirft, die Erde sei eine flache Scheibe und ähnliches – würden Sie den Ernst nehmen?
Sind für Sie die Erdkugel, der Strahlungstransport, das Schwarzschild-Kriterium, die Adiabatengleichung, Einsteins Quantenhypothese und der Energieerhaltungssatz nur „Angeblich „bekanntes Wissen““, das Sie in Frage stellen? Dann erübrigt sich jede Diskussion.
Ich stelle nur in Frage, dass Sie, Herr Heinemann, oder ich festlegen sollten, was verbindlich als „bekanntes Wissen“ zu gelten hat – das wäre Anmaßung und würde mich nur anfällig für den Dunning-Kruger-Effekt machen.
Aus naturwissenschaftlicher Sicht bewertet man Argumente, Daten und Methoden – nicht Menschen danach, wie gut sie sich an ein von Einzelnen deklariertes „bekanntes Wissen“ anpassen.
„Herr Heß, was ist der Grund dafür, dass Sie bezüglich der Klimaforschung keine Ansprüche an die Qualifikationen der Diskursteilnehmer haben? Warum dort diese Ausnahme?“
Darauf gibt es eine schlichte Antwort, nämlich die Tatsache das sich die „Klimaforschung“ selbst zu einem öffentlichen Jedermanns-Gut hochstilisiert hat, jeder wohlwollende Komentar, und sei er noch so dümmlich, ohne Ansehens der fachlichen Kompetenz des Kommentierenden widerspruchslos ein Kompetenzzertifikat erhält und nur diejenigen, selbst mit ausgewiesener Expertise, Kommentatoren mit dem Label Wissenschaftleugner versehen werden welche dem sogenannten Konsens nicht widerspruchsfrei folgen wollen bzw. auf fachlicher Basis nicht können wollen.
Da stimme ich Ihnen zu. Die Klimawissenschaft tut sich da einiges an.
Da darf man in den Talkshows, berichten und Reportagen und in Zeitungsartikeln dann „Klimaökonomen“ oder „Klimabiologen“ bewundern, die über Physik und Technik dozieren.
Oder „Klimaphysiker“ die natürlich ganz genau die ökonomischen Auswirkungen des Klimawandels in der Zukunft kennen.
Anders ausgedrückt, es ist auch völlig unklar was ein „Klimawissenschaftler“ oder „Klimaforscher“ ist und welche Expertise er überhaupt hat.
Interessante These „aber den Erkenntnisfortschritt behindert“. Welchen Erkenntnisfortschritt erwarten Sie denn hier in den Beiträgen, wenn Sie allermeist nicht auf Argumente eingehen, bzw. zumindest anerkennen das es sich um schlüssige Gedankengänge handelt welchen man nicht grundsätzlich eine Berechtigung absprechen sollte?
Das sind normalerweise Erfinder, also Leute, die sich nicht einem Etikett unterordnen und die Wissenschaft voranbringen, oder?
Sie haben offensichtlich noch nie eine Erfindungsmeldungen geschrieben. Erfinder sind keine Spinner.
Na gut dann frage ich mal erfinderisch aber vollen Ernstes.
Bei einer Atmosphäre der Erde von 100 CO2 mit einem Druck von 0.05 kPa:
1. wie bestimmen sie wo die Tropopause ist?
2. gibt es eine?
3. wo ist die Abstrahlhöhe?
4. Wie hoch ist die erwartbare gemittelte Oberflächentemperatur?
Wenn sie kein gutes Modell für die Berechnung haben, machen sie vielleicht eine Schätzung?
Herr Schulz,
Erfinder fragen nicht, sondern stellen eine Idee dar! Wo ist Ihre?
Dann sind sie wohl kein Erfinder!
Wenn ein Erfinder nicht die Fragen kennt, was soll er als Antwort erfinden?
Aber warum denken sie das man in der Atmosphaerenphysik etwas erfinden muss? In dem Fall, finden sie doch einfach raus, wie man die Fragen beantwortet. Oder gibt es keine physikalischhe koherente Beschreibung der Atmosphaere, die ihnen die Antwort gibt?
Herr Schulz
Sie haben ja Fragen. Und in Antworten erfinden sind Sie ja auch nicht schlecht.
Ich erinnere Sie daran, dass Sie mit den Erfindern hier ankamen. Sie müssen sich also selbst fragen.
Recht nutzlos, da sie sicherlich nicht wissen worauf sich mein Kommentar bezog.
Aber die Antworten bleiben sie schuldig:
Warum? Wissen sie es nicht?
Herr Schulz,
Ich habe Ihnen schon mehrmals in der Vergangenheit erklärt, dass man dafür einen Computer rechnen lassen muß und habe Ihnen geraten, sich das Manabemodell zu programmieren und Ihre Werte da einzusetzen.
Grob gab Ihnen Herr Heß schon eine Überlegung, die in die richtige Größenordnung geht. Auch ich habe Ihnen schon mal eine grobe Abschätzung genannt.
Merken Sie sich jetzt: wenn Sie eine Atmosphäre aus reinem CO2 haben, stellt sich eine Troposphäre mit dem Temperaturgradienten von CO2 ein und mit höherer Bodentemperatur als eine Erde ohne Atmosphäre.
Wenn Sie dazu die von mir aus hundertfache Menge Stickstoff geben, ändert sich daran wenig.
Wenn Sie dann (nur) das CO2 wegtun, wird es wieder so kalt am Boden wie ohne Atmosphäre.
Was soll also das erneute Fragen, wenn Sie die Antworten schon kennen?
Moin Thomas, ich habe da mal eine Frage. was wäre so schlecht daran, wenn es in der Nordkugel dieses Planeten um charmante 3 Grad wärmer würde? Wie Studien zeigen, erwärmt sich die Südkugel nicht.
Michael Poost Admin 14. November 2025 20:34
Daß sich die Erwärmung lokal unterschiedlich auswirkt, ist bekannt – und kein Argument gegen die Erwärmung.
Im Mesozoikum war es durchgehend deutlich wärmer. Ein von vielen Gründen dafür kann man verstehen, wenn man über die Alpen hin und zurück fährt. Südlich ist es immer deutlich wärmer als nördlich. Weil warme Luftströmungen aufgehalten werden. Würden sie nicht, würde der Norden wärmer, der Süden etwas kühler, und könnte damit mehr Wärmeenergie absorbieren, wenn diese gen Norden abtransportiert wird.
Im Mesozoikum gab es Tibet, Alpen und zig andere Sperren nicht, ein Grund, warum es wärmer war. Wenn man nicht mehr als 3 Strahlenformeln kennt, kann man weitete Zusammenhänge eben nicht erkennen.
Zurück zu heute: in der Südhalbkugel werden Luftstömungen nicht aufgehalten, daher ist im Süden das Klima konstanter. Im Norden können manchmal veränderte Strömungen Temperaturen nach oben oder unten verändern. Ohne das es eine globale Änderung gibt. Man kann diese aber herbeireden.
Kannst doch nachlesen.
Da kommen wir zusammen, nur ist dann die Theorie vom stahlenden Treibhauseffekt hinfaellig.
Warum?
Weil das CO2 sicherlich rein atmosphaerisch eine Gegenstrahlung von um die 200 W/m2 erzeugt, das dann eine Treibhauseffekt von 1 K ausmacht.
Wieviel denken sie machen dann 33 W/m2 und warum?
Herr Heß geht uebrigens davon aus, das es keine Troposphaere in dem Sinne geben wuerde, weil es kaum Konvektione gaebe.
Das wirkt sich doch auf den Gradienten aus, oder?
Naja, die CO2 Menge ist ja ungefaehr das was wir haben. Wenn ich da die Beobachtung der derzeitigen Atmosphaere nehme, dann sind mindestens 80% von 32 K auf den Stickstoff zurueckzufuehren. Das ist sicherlich etwas mehr als das hundertfache! Schon gerechnet? Das sind nur 5 kPa. Wieviel hat die heutige Atmosphaere? 100 kPa?
Kriegen sie ein Gefuehl fuer die Groessenordnung?
Und die Atmosphaere wird recht warm oder?
Herr Schulz,
Wodurch sich Ihr Begriff „stahlender Treibhauseffekt“ vom Treibhauseffekt der Atmosphäre unterscheiden soll, müssen Sie noch erklären.
Jedenfalls folgen sowohl Herr Heß als auch ich bei der physikalischen Beschreibung der reinen CO2 Atmosphäre offenkundig von derselben Physik aus, die dem atmosphärischen Treibhauseffekt der heutigen Erde zugrundeliegt.
Was freilich wegfällt, sind die Folgeprozesse, die durch den Wasserdampf in der Erdatmosphäre passieren, und deren feedback quantitativ den Gesamteffekt beeinflusst.
Wie kommen Sie auf diese Zahlen?
Und auf diese?
Ist mir zu windig. Ich vertraue da auf einer Berechnung. Solange die eines wenigstens einfachen Modells nicht vorliegt, ist alles Spekulation.
Aber Herr Heß erinnerte mich an den Gedanken, dass der Effekt der Druckverbreiterung auch bei einer Abschätzung nicht zu vernachlässigen ist, sondern quantitativ wohl recht maßgeblich ist. Daher würde das Manabemodell wohl nicht ausreichen, denn schon damals limitierte die Spektrumsberechnung die Genauigkeit von Atmosphärenmodellen. Ich schlage Ihnen also vor, dass Sie lieber ein Modell aus den späten 70igern oder 80iger nehmen, welche einen akkurateren Strahlungscode haben. Sie sehen ja im Manabe paper wie rudimentär damals dort die Druckverbreiterung nur behandelt werden konnte.
Zur reinen CO2-Atmosphäre: Eine „trockene Konvektion“ wird nicht soviel Energie transportieren, aber die Existenz einer Troposphäre/Tropopause würde ich deshalb nicht ausschließen. Hier bringt nur eine Berechnung Klarheit.
Herr Heinemann,
offensichtlich bestimmt die Gegenstrahlung nicht die durchschnittliche Temperatur. Der Strahlende Treibhauseffekt ist, der Versuch die Strahlung dafür verantwortlich zu machen.
Die Alternative ist der Atmosphäreneffekt.
Warum? Ich habe nicht gesagt das es keine Ozeane gibt. Haben sie das Problem ausreichend verstanden? Oder wissen sie nicht wie man mit Wasserdampf rechnet?
200 W/m2
Die 1K ist die Abschätzung von Herrn Heß.
200 W/m2 eine grobe Abschätzung der Gegenstrahlung für eine gemittelte Abstrahlung von 240 W/m2.
Nach der Ebelschen Vereinfachung erzeugt dann eine Gegenstrahlung von 200 W/m2 einen 1 K strahlenden Treibhauseffekt. Oder ist es nicht die Strahlung?
33 W/m2 sollte eigentlich 333 W/m3 sein. Die Zahl kennen sie?
Sicherlich, wie rechnen sie das?
Sie hatten schon etwas Zeit, die Frage ist nicht neu, oder?
Wegen der Abschätzung zur Troposphäre, da hat Herr Heß einen guten Ansatz gezeigt.
Wenn die Berechnung oder Berechnungen den 1 K bestätigen. Was bedeutend das für ihr Verständnis vom Treibhauseffekt?
Herr Schulz
offensichtlich bestimmt die Gegenstrahlung nicht die durchschnittliche Temperatur. Der Strahlende Treibhauseffekt ist, der Versuch die Strahlung dafür verantwortlich zu machen.
D.h. der „strahlende Treibhauseffekt“ ist Ihre Erfindung.
Die Klimawissenschaft macht bekanntlich nicht die Gegenstrahlung alleine für die durchschnittliche Temperatur verantwortlich. Diese Unterstellung ist eine Lüge von Wissenschaftsleugnern, die die wirkliche physikalische Ursache verfälscht wiedergeben.
Als es um die Gegenstrahlung ging, sagten sie:
Na gut dann, vielleicht passt es dann ja wenn sie sagen:
Die könnten ihre Selbstgespräche sicherlich wirksamer als einen Hauptbeitrag bei Eike einstellen.
Was ist eigentlich der Normale Treibhauseffekt?
Ich denke, so einfach ist das nicht. Zur Vorbereitung auf meine Antwort für Herrn Schulz und zur Abschätzung des Effekts habe ich ein altes Pierrehumbert-Skript (ca. 15 Jahre alt) modifiziert und zwei Atmosphären verglichen:
A, blau: 100 % CO2 mit einem Druck von 50 Pa und
B, orange: eine Atmosphäre mit 1 bar N2/O2 und 500 ppm CO2.
Vergleicht man die Spektren dieser beiden Fälle, sieht man, dass sich durch Stoß- und Druckverbreiterung in der 1-bar-Atmosphäre die optische Dichte und damit die Transmission deutlich unterscheiden. Zur Verdeutlichung habe ich einen Ausschnitt um die Biegeschwingungsbande des CO2 als Bild dargestellt; über ein sehr breites Spektrum sieht man diese Unterschiede weniger gut.
In den Bandkernen ist die Absorption bei beiden Atmosphären stark, aber in der 100-%-CO2-Atmosphäre mit nur 50 Pa bleiben dazwischen deutliche „Lücken“ mit relativ hoher Transmission.
Berechnet man die mittlere Transmission in dem dargestellten Bereich, erhält man für 100 % CO2 bei 50 Pa etwa 50 % Transmission, während die Atmosphäre mit 1 bar und 500 ppm CO2 in diesem Bereich nahezu vollständig absorbiert (Transmission nahe null).
Meiner Meinung nach ist das eine wesentliche Änderung zwischen den beiden Modellfällen, die man sich anschauen sollte.
Herr Hess,
Interessant, wo gibt es dieses Skript?
https://geosci.uchicago.edu/~rtp1/PrinciplesPlanetaryClimate/
Danke!
Noch eine Ergänzung. Das wurde damals alles mit Python 2 gemacht. Und man muss die Module umstricken, weil viele Funktionen die benutzt werden heute veraltet sind, es ist kein Plug and Play mehr.
Werner Schulz 14. November 2025 17:50
Zu 1. Schwarzschild-Kriterium
Zu 2. Es gibt keine Abstrahlhöhe, die ganze Treibhausatmosphäre strahlt.
Zu 3. Quatsch – siehe 2.
Schulz, ich gehe davon aus, daß Sie z.B. das Schwarzschild-Kriterium kennen – Sie beweisen mit Ihren Fragen, daß Sie nur provozieren wollen.
Das Schwarzschild-Kriterium allein reicht ja nicht. So bleibt es ein Schlagwort.
Man braucht einen Temperaturgradienten und der fällt nicht vom Himmel, sondern muss aus einem Strahlungsmodell berechnet oder zumindest abgeschätzt werden.
Erst dann kann man den rein radiativen Gradienten mit dem idealen adiabatischen Gradienten (g/cp) vergleichen; ist der radiative Gradient größer, ist die Schichtung nach dem Schwarzschild-Kriterium konvektiv instabil.
Im Bereich der Biegeschwingung liegt die Transmission in der 50-Pa-CO2-Atmosphäre bei etwa 50 %, über den gesamten thermischen Spektralbereich ergibt sich nach meiner groben Rechnung eine mittlere Transmission von rund 95 %.
Daraus folgt eine sehr kleine effektive optische Tiefe und ein radiativer Temperaturgradient am Boden von nur etwa 0.5 K pro km, deutlich kleiner als der ideale adiabatische CO2-Gradient von etwa 11–12 K pro km. Das Schwarzschild-Kriterium wird also nirgendwo überschritten; es bildet sich keine ausgeprägte Troposphäre und damit auch keine sinnvoll definierbare Tropopause.
Danke Herr Heß,
es sieht so aus als wenn die das Problem ausgezeichnet analysiert haben, wo andere hier trotz Lautstärke, keine Anstrengung unternommen haben.
Danke.
Günter Heß 15. November 2025 12:05
Das Schwarzschild-Kriterium ist richtig beschrieben – aber mit Transmission hat das wenig zu tun. In der Erdatmosphäre ist die Tropopause bei ca. 12 Pa, in der Venusatmosphäre ca. 16 Pa.
Die Venusatmosphäre ist eine fast reine CO2-Atmosphäre https://de.scienceaq.com/Astronomie/1006279340.html#google_vignette
Zum Vergleich die 50 Pa-Drucklinie erfüllt die Fragen der 50 Pa-Atmosphäre.
Sie haben das Schlagwort Schwarzschildkriterium in den Ring geworfen, aber sonst wenig. Ich habe es nur folgendermaßen benutzt:
Das Schwarzschild-Kriterium sagt: Eine Schichtung ist konvektiv instabil, wenn der reale Temperaturgradient mit der Höhe steiler ist als der adiabatische Gradient.
Woher kommt dieser reale Gradient? Aus dem Gleichgewicht zwischen Strahlung (Heizen/Kühlen) und Konvektion und die Strahlungsheizung hängt direkt von der optischen Dicke / Transmission ab.
In einer optisch dicken unteren Atmosphäre (Erde, 1-bar plus 500 ppm CO2, viel H₂O) ergibt sich ein starker radiativer Gradient, d.h. Schwarzschild-Kriterium wird verletzt daraus folgt meiner Interpretation nach eine deutliche Troposphäre und Tropopause.
In der 50-Pa-100%-CO2 hypothetischen Atmosphäre ist die optische Dicke über weite Spektralbereiche klein, d.h meiner Interpretation nach wäre der Gradient durch Strahlung entsprechend gering, d.h. das Schwarzschild-Kriterium wird praktisch nirgends verletzt, daraus folgt keine ausgeprägte konvektive Troposphäre und damit auch keine klar abgegrenzte Troposphäre.
Also: Formal ist das Schwarzschild-Kriterium „rein thermodynamisch“, aber ob und wo es relevant wird, hängt sehr wohl von der spektralen Transmission (sprich: der IR-Opazität) ab. Die Aussage „hat wenig mit Transmission zu tun“ blendet genau diesen Zusammenhang aus.
Das Schwarzschild-Kriterium wird öfters als rein thermodynamisches Stabilitätskriterium beschrieben, was Formal korrekt ist, denn es vergleicht ausschließlich den realen vertikalen Temperaturgradienten Γ_real mit dem adiabatischen Gradienten Γ_ad und trifft eine lokale Aussage über die Stabilität einer atmosphärischen Schichtung.
Physikalisch entscheidend ist jedoch nicht das Kriterium selbst, sondern die Frage, wodurch sich der reale, vertikale Temperaturgradient – Γ_real – überhaupt einstellt.
Das Kriterium lautet:
Γ_real > Γ_ad –> konvektive Instabilität.
Für ein trockenes ideales Gas gilt:
Γ_ad = g / c_p,
was für erdähnliche Bedingungen ca. 9,8 K/km ergibt.
Demnach ist der reale Temperaturgradient ist keine freie Größe. Er folgt aus dem stationären Energiegleichgewicht der Atmosphäre. In eindimensionaler Betrachtung gilt für den vertikalen Energiefluss:
F_total = F_rad + F_conv = konstant.
Ist der Energietransport rein radiativ, folgt der Temperaturgradient aus dem Strahlungstransport, und in der diffusions-ähnlichen Annahme für optisch dicke Medien ergibt sich:
F_rad ≈ -(16 σ T^3 / 3 κ ρ) dT/dz,
wobei κ die Massenabsorptionskoeffizienten und ρ die Dichte sind.
Daraus folgt zwangsläufig:
Γ_rad = -dT/dz ≈ (3 κ ρ F_rad) / (16 σ T^3).
Diese Beziehung zeigt explizit, dass der radiative Temperaturgradient proportional zur Opazität κ ist. Je größer die IR-Opazität, desto steiler muss der Gradient sein, um den gleichen Energiefluss zu transportieren.
In der realen, unteren Erdatmosphäre ist die optische Tiefe im Infraroten deutlich größer als eins. Für typische Werte von Temperatur, Dichte und Fluss(Ihre Annahme) ergibt sich ein radiativer Gradient, der den adiabatischen Gradient klar überschreitet.
Damit ist:
Γ_rad >> Γ_ad,
das Schwarzschild-Kriterium wird verletzt, und Konvektion setzt zwangsläufig ein. Die Konvektion reduziert den Gradienten auf nahezu Γ_ad. Dies definiert die Troposphäre.
Die Tropopause entsteht dort, wo mit abnehmender Dichte und Opazität der radiative Gradient wieder unter den adiabatischen fällt und Konvektion energetisch überflüssig wird.
In der, angenommenen, optisch dünnen Atmosphäre ist die Situation grundlegend anders. Wenn die optische Tiefe τ << 1 ist, kann die Strahlung Energie effizient direkt ins All transportieren. In diesem Fall nähert sich die Temperatur dem radiativen Gleichgewicht an, welches häufig einen schwachen oder nahezu isothermen Höhenverlauf besitzt.
Formal bedeutet dies:
Γ_rad << Γ_ad,
wodurch das Schwarzschild-Kriterium nirgends erfüllt ist und Konvektion ausbleibt.
Dadurch wird deutlich, dass die Relevanz des Schwarzschild-Kriteriums vollständig von den Strahlungseigenschaften der Atmosphäre abhängt. Das Kriterium selbst enthält keine Strahlungsphysik, aber ohne ausreichend große IR-Opazität kann kein steiler radiativer Gradient entstehen.
Ein einfaches Abschätzungsargument verdeutlicht das, Reduziert man den Gesamtdruck einer CO₂-dominierten Atmosphäre von etwa 1 bar auf 50 Pa, sinkt die Säulendichte – und damit die optische Tiefe – um etwa vier Größenordnungen. Entsprechend reduziert sich der radiative Gradient um denselben Faktor. Unter solchen Bedingungen ist selbst ein starkes molekulares Absorptionsgas wie angenommen CO₂ nicht mehr in der Lage, einen adiabatischen Gradient zu erzwingen.
Somit lässt sich abschließend feststellen, das Schwarzschild-Kriterium ist formal ein thermodynamisches Stabilitätskriterium. Seine physikalische Bedeutung für reale Atmosphären ergibt sich jedoch erst durch die Kopplung an den Strahlungstransport. Die optische Tiefe(spektrale Transmission) bestimmen, ob der reale Temperaturgradient groß genug wird, um Konvektion auszulösen.
Die Aussage, das Schwarzschild-Kriterium habe „wenig mit Transmission zu tun“, ist daher somit zwar formal korrekt, blendet jedoch den entscheidenden physikalischen Zusammenhang aus.
Ja richtig. Deshalb schrieb ich das zusammenfassend.
Also: Formal ist das Schwarzschild-Kriterium „rein thermodynamisch“, aber ob und wo es relevant wird, hängt sehr wohl von der spektralen Transmission (sprich: der IR-Opazität) ab. Die Aussage „hat wenig mit Transmission zu tun“ blendet genau diesen Zusammenhang aus.
Danke, dass sie meine Posts nochmal zusammengefasst haben.
Gern geschehen. Bei den vielen hin- und herdiskussionen hilft es mir immer, den Versuch zu starten einen schlüssigen Faden zu finden, abseits diverser persönlicher Anwürfe oder das jemand ständig Brotkrumen ohne Zusammenhang einwirft. 🙁
Moritz Steinmetz 30. November 2025 22:17
Fällt „Aha, die Energieflüsse tragen jetzt wohl Etiketten, Zufluss und Abfluss?“[1] in die Kategorie Brotkrumen oder „Versuch einen schlüssigen Faden zu finden“
Also wäre die Tropopause bei welcher Höhe? Da wo 16 Pa herrschen? Und die Temperatur aber Trotzdem nur 1K wärmer, weil kein konvektiver Einfluss auf den Gradienten?
Herr Schulz,
Sie sagen, ein Physiker sollte die Temperatur einer Erde mit 50 Pa und 100% CO2 berechnen können. Mein Versuch:
Annahmen:
Gegenstrahlung GT = 40 W/qm (bezogen auf Erdkugel)
Tagestemperatur XT
Nachttemperatur XN
Sonneneinstrahlung ET = 684 W/qm
Wärmeabstrahlung ins Weltall QN
Dann gilt: XT-XN = ET + 40 W/qm – QN – (40 W/qm + QN) = QN
Ergebnis: QN = 228 W/qm
XT = 496 W/qm TT = 306 K
XN = 268 W/qm TN = 262 K
TM = 286 K
Die Erde ist jetzt im Mittel 4 K geringer als das Original.
Bei Wirkung vom CO2 beträgt die Temperaturdifferenz 44 K.
Es fehlen einfach die Wolken
Herr Kuck,
Haben Sie mit albedo = 0 gerechnet?
XT und XN sind das Temperaturen oder Strahlungsleistungen?
Und wie haben Sie die 40 W/m2 Gegenstrahlung angenommen?
Was wäre die Begründung?
Herr Heß,
ja, ich habe mit Albedo = 0 gerechnet.
XT und XT sind Werte der Oberflächenabstrahlung der Halbkugeln.
Die Gegenstrahlung der Treibhausgase beträgt 155 W/qm. Davon werden etwa 25 % dem CO2 zugeordnet (oder weniger?).
Außerdem nehme ich an, dass die Erde mit der Sonderform der Atmosphäre (von Herrn Schulz) zusammen mit der Sonne ein eingeschwungenes Sonne-Erde-System ist.
Stimmen ihre Zahlen? Haben sie nicht ein „k“ vergessen wie kPa?
Schade eine Antwort könnte die Daten bestätigen oder korrigieren.
Muss mal selber recherchieren.
10 – 20 Pa für die Tropopause in der irdischen Atmosphäre scheint mir nicht plausibel. Am Boden haben wir 100000 Pa und die Skalenhöhe beträgt glaube ich so 8 km.
Da hat sich Herr Ebel etwas vertan.
Aufgrund der geringeren Höhe beträgt der Luftdruck an der Tropopause über den Polen ca. 300 hPa, über den mittleren Breiten dagegen 200 und über den Tropen nur 100 hPa.
Die Tropopause auf der Venus typische Werte:
Die Angabe fuer die Venus koennte vom Druck her mit dem „Kilo“ passen, aber fuer die Erde?
Von der Größenordnung schon. 300 hPa = 30 kPa = 0.3 bar.
Hecto! Sie haben recht, also 30-10 kPa fuer die Erde.
Und eine Atmosphaere die nur 0.05 kPa hat koennte unter Umstaenden gar keine (ausgebildete) Troposphaere haben.
Die Groessenordnung spielt hier eine Rolle, oder nicht?
50 Pa ist schon sehr dünn
100% CO2, maximale Klimasensitivität. Was soll man sagen? Zu dünn? Skalenhöhe zu niedrig?
Es ist so viel CO2, wie derzeit in der Atmosphäre ist!
Wenn das wirklich nur 1K ausmacht, weil es zu dünn ist, hat dann die Zumischung von Sauerstoff und Stickstoff doch einen Effekt?
Werner Schulz 18. November 2025 23:19
Diese Frage wurde Ihnen hier schon des öfteren qualitativ beantwortet, teilweise sogar mit Verweis auf Pierrehumbert, dessen Script Herr Heß hier benutzt hat. Pierrehumbert schreibt in seinem Artikel „Infrared radation and panetary temperature„: „Per square meter of surface Mars has nearly 70 times as much CO2 in its atmosphere as Earth, but the low Martian atmospheric pressure results in narrower spectral lines“
Der Artikel wird seit mehr als 10 Jahren hier des öfteren für Erklärungen herangezogen, kürzlich in einer Diskussion mit Ihnen, in der es auch um die Druckverbreiterung ging …
Und ihr Punkt ist? Das das 100 % CO2 nur 1 K eine „Treibhauseffekt“ ausmacht?
Sie bringen den Mars an, der hat also 70 mal mehr CO2 als die theoretische 100% Erdatmosphaere? Das ist Masse, oder?
Und wie gross ist der Treibhauseffekt auf dem Mars? 7K?
Also 70 mal mehr als auf der Erde und 6 K mehr Effekt?
Wieviel Effekt sind dann fuer eine Verdopellung zu erwarten, also eine Erdatmosphaere von 0.1 kPa?
Die Antwort die ich suche ist, wenn 80% Stickstoff und ~20% Sauerstoff 32 K ausmachen, wollen sie da die Druckerweiterung verantwortlich machen?
Herr Schulz,
Wenn Ihre obige Annahme falsch ist, brauchen Sie nicht nach einer Antwort suchen. Warum machen Sie eine Annahme, die möglicherweise gar keine Antwort hat ? Ist doch sinnlos.
Herr Heinemann, was genau meinen Sie?
Das die Druckerweiterung nicht der Grund sein kann? Abgesehen davon, das wir hier den Partialdruck von CO2 gar nicht ändern, wenn wir die anderen Gase zufügen?
Ist ein interessantes Konzept, oder?
Aber wenn sie keine Antwort haben, macht das nichts, die Frage war auch gar nicht an sie gerichtet!
Herr Schulz
Dass Sie einfach alle Bedingungen für Ihre Annahme hinschreiben, sich alsl exakt ausdrücken.
Auch hier fehlt für was der Grund? Exakter ausdrücken!Damit
Ja, Sie verstehen, dass damit sich auch die CO2-Masse ändert? Nur um wenigsten einen Punkt klarzumachen.
Welches?
Wegen der Druckerweiterung sollten sie Herrn ehemals Mueller jetzt Fischer fragen, er hat diese ins Spiel gebracht. Wenn der Vorname gleich geblieben waere haette man zur Hochzeit gratulieren muessen, aber der aendert sich normalerweise nicht durch Heirat. Also keine Glueckwuensche!
Nicht wirklich, da der Druck oder Partialdruck mit dem wir hier beispielhaft rechnen fuer genau die gleiche Masse CO2 gilt. Falls ihnen das, also dieser Punkt, noch nicht klar war, dann vielleicht jetzt.
Zum „Konzept“ sage ich vielleicht noch was!
Werner Schulz 20. November 2025 9:42
Wenn Sie das mit Herrn Müller diskutieren wollen, sollten Sie sich dafür einsetzen, dass er hier kommentieren darf.
Zur Erinnerung:
Das ist entweder ein sehr langer Urlaub oder hat andere Gründe …
Hert Schulz,
Ich habe Sie nur dazu aufgefordert, Ihre Behauptung sichtbar mit den hier ausgegebenen Informationen zu verknüpfen.
Wie es jetzt dasteht, ist es zzsammenhanglos. Oder sollen wir Ihren Beitrag streichen?
Wer ist wir?
Herr Schulz,
Ihre Aussage hier ist nicht korrekt, denn nach Herr Heß‘ Beitrag und seinem berechneten Spektrum hängt die CO2-Wirkung nicht alleine von der CO2-Masse ab, sondern zusätzlich von der Druckverbreiterung. Beides wird in Ihrer Aussage hier nicht spezifiziert.
Herr Heinemann,
nur damit ich das richtig verstehe, sie sagen das man generell keinen Aussage ueber den Temperatureffekt der gleichen Masse von CO2 machen kann, wenn man nicht weiss ob der Atmosphaerische Druck gleich dem Partialdruck vom CO2 ist. Oder wenn die gleiche Masse CO2 in einer Masse von nicht strahlenden Gasen eingeschlossen ist, mit einem Partialdruck von 0.05 kPa?
Und dann kommt aber die Druckerweiterung durch diese nicht strahlenden Gase zustande?
Und die erhoehen dadurch den Temperatureffekt um 32 K?
Wie nennen sie solche Gase, die diese Druckerweiterung und einen weitaus hoeheren Temperatureffekt bewirken?
Werner Schulz 20. November 2025 9:48
Da Sie den Treibhauseffekt nicht verstehen wollen (trotz mehrfacher Erläuterung) stellen Sie solche dußligen Fragen.
Und wie nennen sie also die Gase? Auch Treibhausgase?
Es sind also „Nebengase“ die mal eben den Radiativen Effekt vom CO2 um das siebenfache verstärken?
Herr Schulz
Dass das Spektrum von derselben Masse CO2 noch durch andere Gase beeinflußt wird, ist allgemein bekannt und hat Herr Heß rechnerisch demonstriert. Ob man den „Verbreiterungs-Effekt“ in erster Näherung für eine Abschätzung die CO2-Treibhauseffekts vernachlässigen kann, können Sie entscheiden. Nachdem Herr Heß gezeigt hat, dass der „Verbreiterungs-Effekt“ für meinen Geschmack doch signifikant ist, nehme uch meine Näherung von einem früheren Beitrag von mir, dass er in 1. Näherung vernachlässigbar sei und der CO2-Treibhauseffekt derselben CO2-Masse wie in der Erdatmosphäre als reine Atmosphäre in derselben Größenordnung von 7 K, zurück. Es sind dann in der reinen CO2-Atmosphäre mit reduziertem „Verbreiterungs-Effekt“ wohl nur 1 K.
Nur damit ich das richtig verstehe, Sie sagen, dass man mit diesen Erkenntnissen also den reinen CO2-Atmosphäre aufgrund des reduzierten „Verbreiterungs-Effekts“ von nur etwa 1 K nicht auf den Treibhauseffekt derselben CO2-Menge in der Erdatmosphäre übertragen kann, denn der beträgt dort ja rund 7 K aufgrund der stärkeren Linieverbreiterung dort.
Ich sage nicht so viel, ich frage.
Also die Anwesenheit von „Nebengasen“ verstärkt den Einfluss vom CO2 auf die gemittelte Bodentemperatur durch Linienverbreiterung?
Dann haben wir es mit einem kombinierten Strahlungs- und Druckverbreiterungseffekt zu tun?
Ich dachte der Druck spielt keine Rolle.
Thomas Heinemann 21. November 2025 8:37
Auch bei Verbreiterung ist das Integral über alle Wellenlängen etwa konstant.
Also 1K für die reine dünne CO2 Atmosphäre?
Herr Ebel,
Ok, also ist der „Verbreitungseffekt“ insgwsamt doch nicht zu groß. Haben Sie eine andere Abschätzung als das 1K (0 bar) zu 7 K (1 bar) als Herr Heß?
Dass das Linienintegral bei Druckverbreiterung ungefähr konstant bleibt, ist ein spektroskopischer Satz über die Linienstärke pro Molekül.
Für den Strahlungstransport ist aber nicht die Fläche unter tau entscheidend, sondern wo im Spektrum die optische Dicke tau liegt: ob große Bereiche bei tau deutlich kleiner als 1 liegen (Fenster, fast ungehinderte Abstrahlung) oder bei tau deutlich größer als 1 (praktisch schwarzer Körper).
Mein künstliches Beispiel mit fünf Linien zeigt genau das: beide Kurven haben praktisch die gleiche Linienfläche, aber im Niederdruck-Fall liegen die Täler unter tau ca. 1 (Fenster offen), im Hochdruck-Fall liegt das ganze Band über tau ca. 1 (Fenster weitgehend zu), die bandgemittelte Transmissivität und damit die OLR sind deutlich verschieden.
Kurz: „Integral konstant“ heißt nicht „Druck egal“, sondern nur, dass Spektroskopie und Strahlungstransport nicht dasselbe sind. Relevant ist die Planck-gewichtete Größe
Integral[B[nu,T]*(1 – exp(-tau(nu)))dnu]; das ist im Kern ein Faltungsintegral aus Planck-Funktion und spektraler Absorption und genau daran ändert der Druck sehr wohl etwas und stellt im Grunde dar wieviel von dieser Modell-Atmosphäre von der Oberflächen-Abstrahlung im jeweiligen Spektralbereich blockiert wird.
Das lässt sich an einem einfachen Modell mit fünf Linien zur Verdeutlichung illustrieren (siehe die Abb. im Anhang): Schwarze Kurve = niedriger Druck, rote Kurve = hoher Druck, beide mit praktisch gleicher Linienfläche Integral[tau(nu)dnu].
Im Niederdruckfall liegen die Täler klar unter tau = 1, es gibt also echte „Fenster“. Im Hochdruckfall liegt das gesamte Band über tau = 1, die Fenster sind zugeschmiert, die bandgemittelte Transmissivität und damit die ausgehende Strahlung unterscheiden sich deutlich, obwohl das Linienintegral nahezu gleich ist. Das war die Grundlage meiner Abschätzung auf die Frage von Herrn Schulz, wenn jemand eine andere Abschätzung hat gerne hier posten.
Herr Ebel sagt, es macht nichts aus
Herr Heß sagt es ist ein etwas größerer Effekt.
Sie berufen sich auf diese Rechnung.
Herr Heß hat allerdings auch einen Nachweis gebracht. Können wir Herrn Ebel Einwurf ausschließen?
Herr Schulz,
Es ist physikalisch unsinnig, eine Addition anzunehmen. Denn ohne CO2 bewirken die nicht-strahlenden Gase Null.
Und 32 oder 33 K ist sowieso nicht der Bezug für die CO2 Wirkung. Denn das ist die Gesamtwirkung aller IR-aktiven Gase.
Die Ursache für die Temperaturerhöhung sind die IR-aktiven Gase.
Wenn wir die Zahlen von Herr Heß zur Abhängigkeit der Treibhausgaswirkung der gegenwärtigen CO2 Menge von 50 Pa in Abhängigkeit vom „Verbreiterungseffekt“ durch nichtstrahlende „Nebengase“ annehmen, so ist die grobe Gesetzmäßigkeit, dass der CO2 Treibhauseffekt DT(50 Pa CO2)= 1 K bei pNeben = 0 bar Nebengasen und DT(50 Pa CO2) = 7 K bei pNeben =1 bar Nebengasen beträgt. Für einen Nebengasdruck dazwischen folgt es dann vielleicht dem Gesetz DT(50 Pa CO2) = 1K × 7^ (pNebengase/1 bar).
Nebengase haben also einen Effekt!
Gut. Mehr als Nichts.
Vergessen sie die Nebengase?
Wieviel Wasserdampf kann denn so eine 100% CO2 Atmosphäre bei 0.05 kPa halten?
Herr Schulz,
Es ist physikalisch unsinnig, eine Addition anzunehmen. Denn ohne CO2 bewirken die nicht-strahlenden Gase Null.
Und 32 oder 33 K ist sowieso nicht der Bezug für die CO2 Wirkung. Denn das ist die Gesamtwirkung aller IR-aktiven Gase.
Die Ursache für die Temperaturerhöhung sind die IR-aktiven Gase.
Wenn wir die Zahlen von Herr Heß zur Abhängigkeit der Treibhausgaswirkung der gegenwärtigen CO2 Menge von 50 Pa in Abhängigkeit vom „Verbreiterungseffekt“ durch nichtstrahlende „Nebengase“ annehmen, so ist die grobe Gesetzmäßigkeit, dass der CO2 Treibhauseffekt DT(50 Pa CO2)= 1 K bei pNeben = 0 bar Nebengasen und DT(50 Pa CO2) = 7 K bei pNeben =1 bar Nebengasen beträgt. Für einen Nebengasdruck dazwischen folgt es dann vielleicht dem Gesetz DT(50 Pa CO2) = 1K × 7^ (pNebengase/1 bar).
Es war ja einem einfachen Modell abgeschätzt: Die 50-Pa-CO2-Atmosphäre ist ein Extremfall, sehr wenig Druck, geringe effektive Emissivität (etwa 0.05), Treibhauseffekt nur etwa 1 bis 2 Kelvin. Daraus folgt nicht, dass CO2 auf der Erde wirkungslos wäre, sondern dass dünne Atmosphären trotz hohem CO2-Anteil nur schwach wirken. In einer 1-bar-Atmosphäre mit derselben CO2-Säule steigt die effektive Emissivität durch Druckverbreiterung auf etwa 0.19 und der Effekt auf etwa 6 bis 7 Kelvin ohne Wasser- und Wolkenbeiträge.
Herr Heß, die einfache Frage die ich habe ist, ob es egal ist welches Gas diese Druckerweiterung bewirkt.
Das Beispiel eignet sich sehr gut um zu zeigen, siehe auch ihre neuerliche Abschaetzung, das Stickstoff und Sauerstoff scheinbar den Effekt drei bis siebenfach verstaerken.
Kann man die nicht strahlenden Gase wirklich ignorieren?
Was meinen sie mit ignorieren?
Die Beobachtung „Treibhauseffekt“ ist ein Systemphänomen der gesamten Atmosphäre–Oberflächen–Kopplung. Wenn man einzelne Bausteine wie Wasserdampf, Wolken, Konvektion, Emissionshöhe, Lapse Rate oder den Einfluss von N2/O2 ignoriert, erhält man kein vollständiges physikalisches Bild.
Für die Berechnung der Wirkung einer Konzentrationsänderung, etwa von CO2, ist es aber legitim, andere Elemente für den Moment konstant zu halten und ein Wenn-Dann-Modell zu entwickeln.
Stimmen sie also mit der Einschaetzung ueberein, das die Stick und Sauerstoffanteile den Treibhauseffekt verstaerken?
Sie sagen Konvektion, das sind hauptsaechlich die genannten Gase.
Sie sagen Wasserdampf, wieviel ist in der 100 % CO2 Atmosphaere bei 0.05 kPa? Ist da mehr wenn andere Gase da sind?
In welchem Medium entstehen die Wolken? In der gasfoermigen Atmosphaere? Also auch wenn 100% CO2 bei 0.05kPa?
Die Lapserate wird duch Konvektion geformt, sie gingen vorher von einem reinem radiativen Gradienten aus, in der 100% CO2 Atmosphaere bei 0.05 kPa?
Und scheinbar auch keine vollstaendige Aussage zum THE in der Atmosphaere, oder?
Aber sicher, das waere aber eine Abschaetzung der Klimasensitivitaet, die man gerne machen kann, wenn man den Atmosphaereneffekt genau beschrieben hat! Sind wir schon soweit?
Mein 100-%-CO2-Szenario bei 0.05 kPa ist bewusst als reines Strahlungsexperiment mit stark vereinfachtem, rein radiativ bestimmten vereinfachtem Schätz-Temperaturprofil angelegt und kein vollständiges Modell des irdischen Treibhauseffekts.
Konvektion, Wasserdampf und Wolken sind dort nicht „vergessen“, sondern absichtlich ausgeklammert.
In der realen Atmosphäre tragen N2/O2 über Druck, Wärmekapazität und Konvektion zur Ausprägung des Effekts bei, während die eigentliche IR-Undurchsichtigkeit von CO2, H2O und Wolken stammt und die Lapserate nicht geschätzt, sondern für jede konkrete Atmosphäre gemessen oder mit einem Zirkulationsmodell simuliert werden müsste.
Warum?
Womit will man denn simulieren?
Reicht es vielleicht, einen Vergleich mit der Marsatmosphäre bei entsprechenden Druckbedingungen zu machen? Da kann man dann gerne Wolken und Wasserdampf ausklammern.
Vielleicht wäre eine Erdatmosphäre nicht so staubig, wegen der Ozeane?
Gäbe es die Ozeane? Oder wären die Eis?
Günter Heß 18. November 2025 9:56
Ich habe nicht vom Gesamtdruck an der Tropopause gesprochen, sondern vom Partialdruck des CO2.
Aber eine andere Frage habe ich: was ist die Ursache dafür, das ein Beitrag mit der Begründung die eMail-Adresse sei falsch nicht veröffentlicht wird, obwohl EIKE die Adresse bei anderen Beiträgen verwendet.
Mir erscheint das noch nicht stimmig, bei 50 Pa vgl mit 92 bar. Vielleicht können sie das nochmal vorrechnen was sie damit gemeint haben?
Ich komme dann auf 4 – 8 Pa für den CO2 – Partialdruck in der Erdatmosphäre und 10 – 20 kPa Partialdruck in der Venusatmosphäre. Der Tropopausengesamtdruck ist in beiden Fällen 10 – 20 kPa.
Ich nehme an, das kann man nicht einfach generalisieren?
Wo liegt dieser Druck beim Mars?
Das hatte ich bei meine ersten Recherchen gefunden. Die Tropopause bei der Venus scheint aber schwach zu sein, wohl eher so bei 5 kPa wie dieses Bild andeutet. Ich habe aber festgestellt, dass die Google KI einen sehr niedrigen Druck für die Venus rauswirft.
Ich hatte einige Fragen an KI gestellt, aber dagegen entschieden alle Antworten zu nutzen.
Das Bild kenne ich. Ausser bei Titan finde ich den parallelen Verlauf innerhalb der unteren Troposphäre auffällig.
Mars fehlt.
Beim Mars habe ich nur gefunden Oberflächendruck 600 Pa, eine Skalenhöhe von 11 km und die Tropopause in ca. 40 km. Ergibt dann abgeschätzt 16 Pa. Dere Mars soll ja auch seine Atmosphäre verloren haben. Ansonsten gibt es eine grobe ca. 0.1 bar Regel für die Tropopause aller anderen Planeten habe ich gelesen. Der Mars weicht davon ab. Erklärung ist die optische Dichte. Die IR-Transparenz muss groß genug werden, dass die kurzwellige Heizung dominiert, wenn ich das richtig verstanden habe.
Ich würde das so interpretieren, das Mars und die theoretische Erdatmosphäre sich nicht dazu eigenen eine konvektiv/strahlungsaktive Atmosphäre zu beschreiben. Skalenhöhe ist insofern interessant, als das man hier eventuell optisch eine Grenzfläche definieren kann.
Die gleiche Skalenhöhe habe ich für den Mars auch gefunden.
Ob 16 Pa wirklich eine Tropopause ausmacht?
Ich dachte, das war die Grenze wo Konvektion aufhört.
Ich denke auch, dass der Mars ein Sonderfall ist.
Troposphäre (0–40 km)
In dieser Schicht spielt sich der Großteil des Marswetters mit atmosphärischer Konvektion und Staubstürmen ab, wobei die Wetterdynamik primär durch die Erwärmung der Oberfläche während des Tages und den unterschiedlichen Staubgehalt in der Luft bestimmt wird.
Und: Da schwebende Staubpartikel jedoch die Sonnenstrahlung absorbieren und die Luft erwärmen – ein Effekt, der jahreszeitlichen Schwankungen unterworfen ist – liegt der durchschnittliche Temperaturgradient in der Troposphäre bei etwa 2,5 K pro km
Jetzt mit Achsenbeschriftung
Kann ich nicht genau sagen, aber bei mir kommt das, wenn ich meinen Verlauf gelöscht habe und ich mich anscheinend neu einloggen muss.
Herr Ebel,
bei 100% CO2 ist der CO2 Partialdruck der Gesamtdruck der Atmosphäre.
Wie genau begründen sie denn in dem Fall wo die Troposphäre sein müsste?
Zu der Meldung, die kommt meistens wenn man direkte Linkadressen rein kopiert.
Wenn man die Link Funktion benutzt dann geht der Beitrag durch. Es gab aber mal ne Zeit, da hat es auch ohne Link gehakt, da hat fast nichts geholfen. Ausser Cache leeren, andere Browser, Neustart.
Frage 2. war ob es eine Tropospause gibt.
So schwer Fragen zu lesen?
Und wenn es keine gibt ist 3. (wo die Abstrahlhöhe ist) vorgegeben.
Zu 1. hat Herr Heß ihnen eine Erläuterung gegeben.
Sie beweisen das sie nicht richtig lesen, und ihr Atmosphärenwissen nicht anwenden können, oder?
Ich habe Hypothesen angenommen und daraus spekuliert, damit die Diskussion zu ihren Fragen in Gang kommt.
In einer reinen CO2-Atmosphäre mit nur 50 Pa Gesamtdruck fällt die Stoß- bzw. Druckverbreiterung der CO2-Linien vermutlich weitgehend weg.
Dadurch sind die Linien zwar in den Kernen sehr stark, aber insgesamt so schmal, dass die Atmosphäre über große Teile des Infrarotspektrums wahrscheinlich optisch dünn bleibt.
In der Folge wäre das Abstrahlverhalten einer solchen Erde im Wesentlichen durch die direkte Abstrahlung der Oberfläche bestimmt.
Vermutlich stellt sich deshalb dann kein ausgeprägter, durch Konvektion geformter Temperaturgradient ein, sondern ein weitgehend radiativ bestimmtes, schwach mit der Höhe variierendes Temperaturprofil.
Das bedeutet, dass es kaum so etwas wie eine Troposphäre mit darauffolgender Tropopause gäbe; die effektive Emissionshöhe läge insgesamt nahe an der Oberfläche.
Da die Temperatur an dieser Emissionshöhe damit praktisch der Oberflächentemperatur entspricht, wäre der Treibhauseffekt, also die Differenz zwischen effektiver Strahlungstemperatur und Oberflächentemperatur, in diesem Fall nur gering.
Meine Abschätzung liegt bei etwa einem Kelvin (1 K).
Wie gesagt. Das ist ein Wenn – Dann Modell, damit wir in die Diskussion kommen.
Danke fuer ihre Antwort.
Wo kommen dann also die 33 K Treibhauseffekt wirklich her, wenn eine 100% Atmosphaere eine solche Ausbildung haette?
Uebrigens denke ich sind sie gar nicht so weit weg von meinen Annahmen.
Die Bedeutung dessen sollte klar sein, oder?
Der beobachtete Treibhauseffekt ergibt sich aus dem Zusammenwirken von Sonneneinstrahlung, Atmosphäre, Ozeanen, CO2, Wasserdampf, Landoberflächen, Konvektion, Schwerkraft, Temperaturgradient, optischer Dichte und Strahlungsprozessen, und weiteres. Er ist zunächst eine empirische Beobachtung – daher spricht man von einem „Effekt“. Einzelne Faktoren isoliert zu betrachten, etwa nur Wolken, nur Schwerkraft und Druck oder nur die Gegenstrahlung, führt meiner Meinung nach in der Regel zu einer unzulässigen Verkürzung des physikalischen Zusammenhangs.
Können Sie ja mal mitteilen, meine Interpretation muss ja nicht richtig sein.
Mir ist die Bedeutung nicht klar, denn es ist nur ein „Wenn-dann-Modell“. Solche Modelle sollte man – ebenso wie „Als-ob-Modelle“ – nicht mit Interpretationen überfrachten.
Zur Diskussion:
1. wie bestimmen sie wo die Tropopause ist?
Es gibt keine! Diese Diskussion gibt es uebrignes auch fuer den Mars
2. gibt es eine?
Nein
3. wo ist die Abstrahlhöhe?
Nahe der Erdoberflaeche
4. Wie hoch ist die erwartbare gemittelte Oberflächentemperatur?
1K hoeher als die Strahlungstemperatur
Zur Bedeutung:
Der Treibhauseffekt ist selbst bei 100 % CO2 sehr gering.
Wo kommen die 33 K her?
Aus dem Zusammenspiel (Wolken, CO2, Wasserdampf), siehe oben.
Vielleicht findet ja jemand einen Fehler iin meiner Abschätzung.
In einer idealisierten 1-bar-Atmosphäre mit 500 ppm CO₂ und sonst IR-durchsichtigen Gasen finde ich global im IR eine mittlere Transmission von etwa 80 %.
Daraus ergibt sich in meiner Abschätzung ein rein radiativer Temperaturgradient von grob 2 K pro Kilometer, also deutlich unter dem adiabatischen CO2-Gradienten von etwa 11–12 K pro Kilometer, sowie ein Treibhauseffekt von rund 7 K gegenüber dem atmosphärelosen Fall.
„Wissenschaftsleugner zeichnen sich dadurch aus, dass sie wissentlich den wissenschaftlichen Stand ignorieren oder verfälschen.“
Die Frage ist doch wohl eher, wer leugnet wann was. Wenn ich den „wissenschaftlichen Stand“ nur selektiv respektiere, gerade so wie er zu meiner eigenen Überzeugung passt, dann ist man, der/Ihrer Definition nach, immer noch ein „Partial-Leugner“ bzw. ein Verfechter des „partiell-wissenschaftlichen Standes“.
Herr Steinmetz
Wissenschaftsleugner zeichnen sich dadurch aus, dass sie wissentlich den wissenschaftlichen Stand ignorieren oder verfälschen.
Das ist eine andere Frage.
Von Respekt schrieb ich nichts. Der wissenschaftliche Stand muß ständig weiterentwickelt oder hinterfragt werden. Das gehört ja zum Wesen der Wissenschaft.
Aber auch „Partialleugnung“ ist Wissenschaftsleugnung. Es ist ja geradezu ein Merkmal, dass Wissenschaftsleugner nur spezielle Aspekte leugnen oder sogar so irre sind, dieselben Erkenntnisse in einem Anwendungsfall verleugnen aber diesen in anderen Fällen zustimmen.
Manche Heinemänner labeln nicht, vorzugsweise labern sie, oder?
Ich glaube, ich habe einen Kippunkt mentaler Leistungen gefunden:
Herr Ebel sagt:
Wenn man es besimmt hat, dann bestimmt es was bestimmt wurde, und das, was es bestimmt, stellt sich so ein, das es stimmt…
Herr Heinemann bejaht es.
Kippunkte anschaulich erklärt! Passend zum Thema!
Ich habe wie von Herr Strasser gewünscht eine mathematische Beschreibung versucht und auch ein Bild mit angehängt.
Ich nehme ein fiktives Beispiel. Nehmen wir an, eine Volkswirtschaft möchte ihre gut funktionierende Energieversorgung mit planwirtschaftlichen Maßnahmen von 0 % auf 100 % PV (Parameter s geht von 0 bis 1) umstellen. Wir nehmen eine Funktion x(t), die ein Index für die volkswirtschaftlichen Kosten ist. Die Entwicklung dieser Funktion sei durch die folgende Differentialgleichung beschrieben:
dx(t)/dt = –x(t) + x(t)^2 + U(s).
Das Minuszeichen vor x(t) steht für eine natürliche Relaxation (ohne äußere Last fallen die Kosten mit der Zeit). Das Pluszeichen vor x(t)^2 beschreibt eine positive Rückkopplung: Wird es teurer, verstärken Risikoaufschläge, Kapitalkosten und Ad-hoc-Maßnahmen den Kostendruck.
Die Lastfunktion U(s) sei modelliert als
U(s(t)) = a · s / (1 – s/sc),
wobei s der PV-Anteil (0…1) und sc die „technische Decke“ ist, an der die Integration sehr schwierig wird. Der Parameter a ist der Steigungsfaktor (Kostenindex pro Anteilseinheit PV) im unteren s-Bereich.
Analysieren wir nun die Gleichung für steigenden PV-Anteil s. Maßgeblich ist, ob ein stabiles Kostengleichgewicht existiert. Das ergibt sich aus der stationären Bedingung
–x + x^2 + U(s) = 0.
Diese quadratische Gleichung besitzt nur dann reelle Gleichgewichte, wenn U(s) ≤ 0.25. Bei U(s) = 0.25 verschmelzen stabiles und instabiles Gleichgewicht (Sattel-Knoten). Für U(s) > 0.25 gibt es kein endliches Gleichgewicht mehr; der Kostenindex läuft davon (Runaway). In diesem Sinn überschreiten wir bei U(s) = 0.25 einen Kipppunkt.
Praktisch lässt sich die Schwelle direkt auf den PV-Anteil abbilden: Aus U(s) = 0.25 folgt
s_tip = sc / (1 + 4·a·sc).
Liegt der reale Ausbaupfad über s_tip, wird das System in die Runaway-Region gedrückt.
Und nun vom fiktiven Modell zur Realität. Wollen wir Kipppunkte in der Realität vermuten, müssen wir zuerst ein plausibles Prozessmodell aufstellen und begründen, sowie nachweisen. Zweitens ist zu klären, ob es eine entsprechende Lastfunktion (Forcing) gibt und wie sie mit beobachtbaren Größen (z. B. Abregelung, Reservekosten, Netzstau, Risikoaufschläge) zusammenhängt, Korrelation genügt nicht. Anschließend braucht es eine Stabilitätsanalyse des Modells und den Nachweis, dass die abgeleiteten Bedingungen mit Daten vereinbar sind.
Die gleiche Gleichungsform dx(t)/dt = –x(t) + x(t)^2 + U(t) lässt sich — bei Interpretation von x zwischen 0 und 1 als Schadensanteil und U(t) > = 0 als Belastung — auch als Minimalmodell eines Zusammenbruchs verwenden.
Dann existiert für konstantes bis zur Schwelle U = 0.25 ein stabiles Gleichgewicht mit begrenztem Schaden; überschreitet die Belastung diese Schwelle, verschwindet das Gleichgewicht (Sattel-Knoten) und der Schaden wächst monoton. In diesem Sinne ist der Zusammenbruch ein Kipppunkt des Systems, dessen Eintreten von der Last U(t) relativ zur Schwelle bestimmt wird.
Anders ausgedrückt: Ein schleichender Verfall (und seine reine Mathematik) reicht nicht aus. Erst Mechanismus + Stabilitätsanalyse + belastbare Evidenz machen einen Kipppunkt testbar. „Kipp-Diagnose“ ist erst seriös, wenn einfache Erklärungen (Trend, Regimewechsel, Messartefakte) die Signale nicht mehr tragen und Kausaltests (z. B. Entlastung, Hysterese) das Bild stützen. Sonst bleibt die Nullhypothese, beim Korallenriff etwa: der Rückgang kann schlicht durch Algen-Nahrungskonkurrenz erklärt werden, ganz ohne Kipp-Mechanik.
Und Herr Ebel denkt das Austrocknen von den Mooren könnte der Trigger sein für die Kipp-Mechanik, wovon eigentlich?
Ich denke es ist andersherum. Man beobachtet, dass Moore auch schon mal austrocknen.
Jetzt beschreiben sie diesen Austrocknungsprozess mathematisch. Die Zeit bis das Moor ausgetrocknet ist kriegt man ganz gut hin. Man hat es ja beobachtet.
Dafür kann man meine Beispielgleichung verwenden. Sie beschreibt allerdings eher einen Runaway nach Überschreiten eines kritischen Punktes und nicht einen Kipppunkt im strengen Sinn mit zwei stabilen Zuständen und Hysterese. Ein Kipppunkt in einer strengen Definition braucht ja zwei stabile Zustände die nur mit Hysterese zurückgehen. Dafür brauchen sie eher eine Gleichung der Form
dx(t)/dt = x(t) – x(t)^3 – U(t).
Wobei x(t) vielleicht die Nassheit wäre und U(t) dann die externe Last also z.b. der Trockenstress wäre.
Dieses Modell zeigt klassische Bistabilität: Beim Hinweg kippt das System, und beim Rückweg erfolgt der Sprung erst bei geringerem Trockenstress als beim Hinweg (Hysterese).
Allerdings gibt es eben auch andere Gleichungen, so wie das Runaway-Modell, die den Hinweg gut beschreiben, und den Rückweg hat man typischerweise im Erdsystem noch nicht beobachtet.
Deshalb, glaube ich, hat das IPCC die Definition weiter gefasst und spricht auch von Adaptations- und Impact-Tipping Points. Das heißt: Ein Ökosystem wird geschädigt, und eine Spezies kann sich nicht mehr anpassen.
Das Austrocknen eines Moores ist zunächst eine beobachtete Zustandsänderung – nicht automatisch ein Beispiel für Kippmechanik. Erst wenn der Prozessmechanismus vollständig geklärt ist, kann man beurteilen, ob tatsächlich eine Kippmechanik vorlag.
Frühwarnsignale wie kritische Verlangsamung der Erholung oder steigende Varianz sind Indizien die vielleicht einen nahenden Kipppunkt vermuten lassen, aber auch durch andere Ursachen verursacht werden können.
Dann trocknen erst die Moore aus und dann kippt das Klima?
Wegen dem Austrocknen von Mooren, der Mensch hat da keinen direkten Anteil durch Entwaessern?
Und welcher Kipppunkt existiert denn jetzt beim Klima? Herr Ebel sagt, der waere so langsam, man kann ihn nicht einfach bestimmen.
Gibt es ihn ueberhaupt?
Ich dachte eher an die Beobachtung. Man beobachtet, dass ein Moor austrocknet und findet dann die Erklärung. Wobei es ja durchaus schwierig ist die Kippmechanik nachzuweisen. Deshalb hat ja man auch glaube ich beim IPCC den Begriff Kippunkt eher weiter definiert. Im Grunde also kritische Schwellen mit veränderter Dynamik als Kippunkte definiert. Kipppunkte bleiben sehr lange Hypothesen. Schwellen kann ich zumindestens beobachten, wenn sie überschritten sind.
Entwässern ist der Haupttreiber, denke ich auch. In der Tat wird das auch gerne vermischt mit dem Klimawandel. Der Mensch zieht Entwässerungsgräben und der Booden wird trockener, aber man schiebt es auf den Klimawandel.
Das kann ich nicht beantworten. Hypothesen gibt es sicher genug.
Na dann:
The Guardian und Guterres irren sich, die Wissenschaft zeigt keine Klimakipppunkte
Zumindestens im Amazonas ist der Haupttreiber für eine kritische „Schwelle“ wohl eher die Entwaldung, Feuer durch den Menschen, Straßenbau und Weidewirtschaft.
Wie wollen Sie denn „die externe Last“, also beispielsweise Trockenstress einerseits grundlegend definieren und dann andererseits in irgend einen Wert verfrachten um diesen in einer Funktion mitspielen zu lassen?? Toleranzen für Trockenstress haben die allermeisten Arten, sogar recht große welche in der innerartlichen Diversität verankert sind. Die Aktivierung dieser Toleranzen ist nur eine Frage des Zeitfaktors innerhalb dessen diese Fähigkeit reaktiviert wird, also im Umkehrschluss vom Zeitrahmen der Austrocknung abhängig.
Was letztendlich auch bedeutet diese „externe Last“, bzw. der angenommene Wert dafür ist von weiteren Faktoren, der Gleichung direkt abhängig.
Da sprechen sie etwas Wichtiges an. Was ich oben versucht habe zu beschreiben.
Das war die Frage.
In dem einfachen Modell ging es mir nur darum zu zeigen, dass ein System bei steigender „Last“ von einem stabilen Zustand in einen anderen kippen kann bzw. instabil werden kann.
Dafür reicht ein Minimalmodell mit
einer Zustandsgröße x (z. B. Funktionszustand oder Vitalität),
einer äußeren Last U (z. B. vielleicht Trockenstress-Index, da kenne ich mich nicht so aus) und einer Dynamik, die zwei stabile Zustand zulässt und bei hinreichend großer Last den Übergang vom einen in den anderen Zustand erzwingt.
Das bildet nicht die reale Ökologie ab, sondern nur die abstrakte Struktur eines Kipppunktes.
In der Realität beobachtet man wie sie richtig beschreiben langsame Veränderungen der Zustandsgröße und solche Lasten für viele Systeme. Das kann man möglicherweise mit einer mathematischen Gleichung und einer „Lastfunktion“ beschreiben, die mathematisch einen Kipppunkt ermöglicht.
Allerdings kann man im Bereich der langsamen Veränderungen auch andere mathematische Beschreibungen finden, die das Verhalten des Systems ebenfalls gut beschreiben, aber mathematisch keine Kipppunkte aufweisen.
Der Kipppunkt ist also zunächst mal eine Vermutung über die mathematische Beschreibung des Systems, als Beweis taugt die mathematische Beschreibung nicht.
Genau. Der Zusammenbruch der Riffe in der Karibik zum Beispiel startete in den 70igern glaube ich und war begleitet von Überfischung (reduziert Algenfresser), Krankheiten und Küstenbelastung.
Zum Beispiel ist der Seeigel in der Karibik 1983 durch eine Krankheit stark reduziert worden. Das steckt in keinem Modell drin.
„In dem einfachen Modell ging es mir nur darum zu zeigen, dass ein System bei steigender „Last“ von einem stabilen Zustand in einen anderen kippen kann bzw. instabil werden kann.“ Das will ich insofern nicht anzweifeln, weil ich das, fast am Ende dieser Seite/der Kommentare, ja in ähnlicher Weise dargelegt habe. –> „Tipping Points – ein Mythos“
Ebel schreibt:
„Ein Kippunkt ist mehr eine mathematische Analyse der weiteren Entwicklung.“
In meinem Verständnis gehören zu mathematischen Ansätzen auch mathematische Formeln, die man hinschreiben kann. Und wenn es einen Kippunkt gibt, dann müßte diese Formel eine Funktion beschreiben, bei der ein klarer Knick erkennbar ist und auch eine klare Erklärung verfügbar sein, wieso keine Rückkehr mehr möglich ist, wenn der Knick einmal überschritten ist.
Wie sähe so eine mathematische Formel beispielsweise aus und welche konkret zu beobachtende Veränderung würde sie beschreiben?
stefan strasser 8. November 2025 8:51
Das eine Beschallungsanlage einen Kippunkt hat, wissen Sie wahrscheinlich. Wie sieht Ihre Formel für diesen Kippunkt aus?
Wie sieht ihre aus und wie die für die Atmosphäre?
Ab einer gewissen Verstärkung beginnt eine Mitkoppelung und die Anlage beginnt zu pfeifen. Nebenparameter sind die geometrische Aufstellung der Anlage und die frequenzabhängige Richtwirkung von Mikrofon bzw. Lautsprechern. Entscheidend dafür ist aber das Vorhandensein zusätzlicher externer Energie, die das natürliche Tonsignal, z. B. Ihre Stimme, verstärkt.
In der Wirklichkeit gibt es so eine zusätzliche externe Verstärkungsenergie, die eine Mitkoppelung bewirken könnte, aber nicht. Die einzige Energie ist die von der Sonne und die ist rel. konstant und die läßt sich auch mit Tricks nicht aus sich selbst vervielfältigen, wie es z. B. KT behaupten!
Womit wieder einmal gezeigt ist, daß Sie gerne Äpfel mit Heuschrecken vergleichen …
stefan strasser 8. November 2025 10:48
Sie beweisen wieder ein Mal, daß Sie von Physik so gut wie nichts verstehen, haben aber eine große Klappe.
„Die einzige Energie ist die von der Sonne“
Das ist zwar nicht ganz richtig, da aus dem Erdinneren weitere Energie kommt (wußte auch schon Fourier 1824), allerdings ist der Wert so klein, daß er unberücksichtigt bleiben kann. Aber die Sonne haben Sie nicht richtig verstanden: Zwar wird der größte Teil der absorbierten Sonnenenergie wieder emittiert – aber es bleibt ein kleiner Überschuß an Absorption – und da sich dieser Überschuß akkumuliert, sind prinzipiell beliebig hohe Werte möglich. Die Akkumulation dieses Überschusses geht teilweise in den Ozean und teilweise in die Atmosphäre, z.B. in die Menge der Kreislaufenergie (Fortak 1971), die dadurch steigt.
Sie haben also aus mangelnder Kenntnis der Physik einen Popanz für Ihre Vorurteile aufgebaut, der ein Kartenhaus ist.
Und was bestimmt wie hoch der Wert ist?
Sie wissen es, oder?
stefan strasser 8. November 2025 10:48
Sie beweisen wieder ein Mal, daß Sie von Physik so gut wie nichts verstehen, haben aber eine große Klappe.
„Die einzige Energie ist die von der Sonne“
Das ist zwar nicht ganz richtig, da aus dem Erdinneren weitere Energie kommt (wußte auch schon Fourier 1824), allerdings ist der Wert so klein, daß er unberücksichtigt bleiben kann. Aber die Sonne haben Sie nicht richtig verstanden: Zwar wird der größte Teil der absorbierten Sonnenenergie wieder emittiert – aber es bleibt ein kleiner Überschuß an Absorption – und da sich dieser Überschuß akkumuliert, sind prinzipiell beliebig hohe Werte möglich. Die Akkumulation dieses Überschusses geht teilweise in den Ozean und teilweise in die Atmosphäre, z.B. in die Menge der Kreislaufenergie (Fortak 1971), die dadurch steigt.
Sie haben also aus mangelnder Kenntnis der Physik einen Popanz für Ihre Vorurteile aufgebaut, der ein Kartenhaus ist.
Zweiter Komplex #######:
Auch das ist wieder nur halb-richtig: Bezeichnen wir die Verstärkung mit v, die Eingangslautstärke mit LE und die Ausgangslautstärke am Mikrofon mit LA, dann gilt: LA = LE/(1-v). Die Mitkopplung beginnt also schon bei kleinen Werten von v – und um so größer v wird, um so lauter wird es und bei v=1 ist der Kippunkt (Beginn des Pfeifens). Das Rechenproblem besteht darin v zu bestimmen („geometrische Aufstellung der Anlage und die frequenzabhängige Richtwirkung von Mikrofon bzw. Lautsprechern.“)
Eine analoge Gleichung besteht auch für die Atmosphäre. Auch hier besteht das Problem v zu bestimmen. Z.B. kann v temperaturproportional sein (z.B. Austrocknen der Moore), d.h. v = p*T. p ist hier die Proportionalitätskonstante. Damit modifiziert sich der Bruch: 1/(1 – v) zu 1/(1-pT). Wenn pT zu 1 wird ist der Kippunkt erreicht.
Ebel,
dann bringen Sie doch einmal ein typisches Vorzeigebeispiel für Ihre Kipptheorien! Inkl. zugehöriger Energiebilanz natürlich!
Ihre Denke ist nicht deswegen richtig, weil Sie behaupten, ich irre mich!
Das ist ja die Kernfrage.
Ja, so wie Herr Heß es gemacht hat. Nur fürs Klima.
Ob Herr Heinemann das Austrocknen von Mooren als Formel darstellen kann ohne Psychologie zu betreiben?
Herr Schulz, xxxxxx,
Wieso sollte ich Ihnen das zeigen?
stefan strasser 8. November 2025 23:33
Haben Sie doch schon anerkannt: die Mitkopplung bei der Lautsprecheranlage. Die Lautsprecheranlage funktioniert nur, wenn Sie diese ständig mit Energie versorgen, z.B. aus dem Netz. Letztendlich wird die zugeführte Energie in Wärme umgesetzt. Braucht die Lautsprecheranlage mehr Energie, wenn der Kippunkt überschritten wird? Da Sie die akustische Rückkopplung kennen, nehme ich an, das Sie akzeptieren, daß nach Überschreiten des Kippunktes nicht mehr Energie gebraucht wird.
Analoges gilt auch für die Atmosphäre. Die ständige Energiequelle ist die Sonne (analog dem Stromnetz), d.h. der Energiebedarf wird nach Überschreiten des Kippunktes nicht anders sein als vor dem Überschreiten des Kippunktes.
Noch etwas zum Energiekreislauf: Die Speicherung der Energie im Energiekreislauf ist hauptsächlich die gespeicherte Wärme in der Atmosphäre entsprechend den Temperaturen. Werden die Temperaturen höher steigen die Strahlungsintensitäten – sowohl von der Atmosphäre zur Oberfläche als auch von der Oberfläche zur Atmosphäre, d.h. die Intensität des Energiekreislaufes nimmt zu.
Wird mehr Wärme gespeichert, d.h. die Temperaturen nehmen zu. Dieses mehr an Wärme wird von der Sonne gespeist mit ca. 0,9 W/m², d.h. im Jahr (8760 h x 0,9 W/m²) 7,88 kWh/m². Zitat aus https://www.leifiphysik.de/waermelehre/wetter-und-klima/grundwissen/strahlungshaushalt-der-erde
Insgesamt folgt daraus, das Ihnen sowohl Grundwissen fehlt (Begriff im Zitatlink) als auch Ihre Lesekompetenz schwach ist, da ich zum Überschreiten des Kippunktes schon mehrfach geschrieben habe.
Jochen, erzähle nicht von Dingen, von denen du keine Ahnung hast. Die Aufgabe vom Verstärker und Lautsprecher ist, ein akustisches Signal verstärkt wiederzugeben. Vom Mikro ein akustisches Signal aufzunehmen und der Anlage zum Verstärken zu Verfügung zu stellen.
Hält man das Mikro direkt in den Lautsprecher, nimmt dieses das Signal auf, es wird verstärkt und der Lautsprecher wird lauter. Das Mikro nimmt das lautere Signal auf, das wird noch stärker u.s.w. Ein Kreislauf! Da gibt es keine Kipppunkte.
Als DJ in der zarten Jugend musste ich bei lauter Musik ins Mikro sprechen und kannte die Regeln, um Rückkopplungen zu vermeiden. Nichts Kipppunkt, schon gar nicht am Regler.
Im Klimageschehen gibt es diese Verstärkungsprozesse auch. Wird unter bestimmten Startbedingungen mehr Eis gebildet, wird mehr Sonnenstrahlung reflektiert statt absorbiert, es wird kälter, es vereist mehr, es wird mehr reflektiert, es wird noch kälter u.s.w. Ein ähnlicher Kreislauf wie beim Mikro. Am Ende der Eiszeit vor 12.000 Jahre rückwärts. Daraus haben die Propheten den Begriff Kipppunkt erfunden um ihre Medienpräsenz zu verstärken. Gibt es nicht.
Peter Georgiev 9. November 2025 11:39
Bei der Lautsprecheranlage gibt es bei gering eingestellter Lautstärke zwar ein eine Lautstärkeanhebung – aber eine geringe. Wird der Lautstärkeregler weiter aufgedreht, wird es immer lauter bis schließlich die Anlage pfeift. Die Stellung des Lautstärkereglers, wo das Pfeifen gerade einsetzt ist der Kippunkt der Anlage.
Das ist richtig – aber wenn Sie zu den Bedingungen vorher zurückgehen wird auch das Eis zurückgehen – aber wenn die Bedingungen so werden, daß mehr Eis gebildet wird, als zu Tauen gebracht werden kann, dann haben Sie einen Kippunkt überschritten. Die Schneeballerde ( https://scilogs.spektrum.de/fischblog/schneeball-erde-die-datenlage-zum-brutalsten-aller-klimawandel/ ) kann sich über diese Zusammenhänge gebildet haben.
Ein sich selbst verstärkender Prozeß besitzt immer einen Kippunkt – ob der erreicht wird, hängt von vielen Umständen ab. Aber bei Ihrer Eisbildung können Sie ohne Analyse nicht feststellen ob das Anwachsen der Eisfläche noch von den Umständen abhängt oder ob die Vereisung weiter läuft ohne Folge der ändernden Ursache, d.h. ob der Kippunkt überschritten ist oder nicht.
Jochen, du bist ein Schmalspurphysiker, der sicher einen eng begrenzten Wissensraum versteht, aber darüber hinaus nichts, wirklich nichts weiß, und das Unwissen mit arroganter Überheblichkeit überspielt im Sinne, „ich bin der große Ebel, der ein Buch geschrieben hat, um die Welt zu verstehen müsst ihr mein Buch lesen und sonst nichts!“
Von Akustik hast du definitiv Null Ahnung, und hast kein blassen Schimmer was „das Pfeifen“ in der Anlage ist und welche Faktoren es beeinflussen. Als erstes und entscheidende, die Stellung Mikro-Lautsprecher. Setzt man das Mikro direkt vor dem Lautsprecher, dann ist rs vorbei. Das Grundrauschen der Anlage wird vom Mikro erfasst, verstärkt, verstärkt wiedergeben, verstärkt wieder erfasst… Die Reglerstellung ist dabei egal. Je qualitativ besser die Anlage, desto weniger Grundrauschen und Herausfiltern der Störungen, somit weniger Pfeifen. Je besser das Mikrofon, desto geringer die Aufnahme von Störgeräusche, die dem Verstärker weiter gegeben werden. Und neben Lautstärkeregler, kann man un sollte man bestimmte Frequenzen runter regeln, auf die das Mikro besonders empfindlich reagiert.
Es gibt also zig Faktoren, die sich verstärkend oder schwächend auswirken, die wechselwirkend das Pfeifen beeinflussen. Es kann hoch und runter gehen, anhand dieser Wechselwirkungen. Die Anlage ist praktisch ausser Betrieb und macht nur noch Krach, wenn das Mikro Störgeräusche aus dem Lautsprecher aufnimmt, die Anlage diese verstärkt rausgibt, das Mikro dann noch stärker aufnimmt und damit der Prozess sich in Bruchteile hochschaukelt. Dazu gibt es keinen Kipppunkt, man muss nur das Mikro direkt in den Lautsprecher reinhalten, dann ist es da. Wenn man langsam den Regler hochdreht, wird es spürbar unangenehmer, sonst nichts.
Es ist nur eine Erfindung von PIK und Konsorten, und die Mehrheit schon mal erlebt hat, dass eine Anlage übersteuert hat ohne den Grund zu verstehen, wird das zu weiteren Verdummung als untaugliches Beispiel verwendet.
Lies ein Buch über Akustik und melde dich danach.
Peter Georgiev 9. November 2025 18:07
Wenn der Lautstärkeregler auf 0 steht, dann ist die Lage von Mikrofon und Lautsprecher ohne Bedeutung. Aus dem Lautsprecher kann ein hörbares Rauschen oder Brummen kommen – aber dann ist die Qualität der Anlage sehr schlecht. Ansonsten hat Herr Strasser schon etwas zu den Bedingungen geschrieben, wann das Pfeifen einsetzt.
Erzähle einen Fachmann nichts über Akustik, die offensichtlich für Dich ein Buch mit sieben Siegeln ist.
Wenn der Regler auf Null steht ist die Anlage ohne Energiezufuhr, praktisch aus! Was für Vergleiche, Irrsinn!
Du erlebst täglich „Kipppunkte“, z.B. wenn du die Kupplung loslässt. Schmelzen und Sieden sind „Kipppunkte“, oder wenn ein Fluss über die Ufer tritt. Der Volksmund spricht vom „letzten Tropfen, der das Fass zum Überlaufen bringt“. Weltuntergangspropheten haben dafür die alberne Wortschöpfung „Kipppunkt“ erfunden. Und Strahlenakrobaten mit beschränkten Akustikwissen machen daraus ein Dogma.
Ebel
„… Sie akzeptieren, daß nach Überschreiten des Kippunktes nicht mehr Energie gebraucht wird.“
Das akzeptiere ich natürlich nicht, weil es falsch ist. Die Verstärkeranlage verbraucht im Ruhezustand nur ein geringe Ruheenergie, bzw. bei Nutzung unterhalb der Mitkopplung nur jene Energie, die der Einsprechlautstärke proportional ist. Die Endstufen solcher Anlagen arbeiten jedenfalls so, also nicht im A-Betrieb.
Wenn Mitkopplung eintritt, wird die maximale Verstärkerleistung permanent erforderlich, wenn man sie wirken läßt. Ab dem Moment ist auch keine Nutzung des Systems im üblichen Sinn mehr möglich, weil es nur mehr mit maximalem Hub konstant dröhnt.
Bei der Sonne ist das bekanntlich anders, die scheint unbeeindruckt von irdischen Vorgängen immer de facto konstant. Und die Erde strebt nach thermischem Gleichgewicht, weil sie physikalisch nicht anders kann.
Ihre einseitig kumulierende Ungleichgewichtsbehauptung widerspricht also der Physik.
Herr Strasser, der von Ebel beschriebene Effekt gibt es nicht, wenn man ein Jahrzeht Verstärkerregler und Mikroregler hoch und runter gezogen hat, weiß man das. Es tritt theoretisch ein, wenn man den Regler blitzartig von 0 auf 100 hochzieht, das macht niemand. Da wäre auch kein Kipppunkt, sondern eine explosionsartige Prozessbeschleunigung, mit erwartbaren Folgen.
Dass was man herzieht um einen Kipppunkt auszudenken, ist das äußerst unangenehme Brummen, wenn ein Mikro aus ungewollten Winkel direkt das Lautsprechersignal aufnimmt, dass verstärkt wird und wieder zum Mikro kommt. Der Effekt ist rein akustisch, die Anlage zieht nicht mehr Strom, sondern verwandelt das geregelte Signal in umgeregeltes Brummen, was man als lauter wahrnimmt. Richtige Bässe, die viel Energie erfordern, verschwinden, und es werden die Mitteltöne, die man besser wahrnimmt (und das Mikro aufnimmt) überdimensional verstärkt. Es hört sich lauter an, die Energie aus dem Lautsprecher ist aber identisch.
Die erforderliche Blitzreaktion ist, den Regler runter zu ziehen. Der Auslöser ist aber nicht das Erreichen eines „Kipppunktes“ wenn man langsam Energiezufuhr (Regler) erhöht, man hört die langsam zunehmende Störung und kann durch Reduzierung der Mitteltöne gegewirken. Der Knall kommt durch einen ungünstigen Winkel zwischen Mikro und Lautsprecher, es verändert nicht die Energiebilanz, sonder die Akustik. Klingt entsetzlich, aber zieht nicht mehr Energie.
Peter Georgiev 9. November 2025 12:46
Sie haben Herrn Strasser nicht verstanden, der hat speziell von C-Endstufen geschrieben – Sie meinen aber nur A-Endstufen.
Dass ist typische Ebel-Klugscheißerei!
Es ist durchgehend die Rede von Akustik-Anlagen mit Mikros und Lautsprecher, die Endstufen sind da üblicherweise vom Typ A. Und wenn nicht, ist die Energiebilanz trotzdem die Gleiche, wenn durch Rückkopplung es laut und unangenehm wird, zieht die Anlage dennoch kein Milliamper mehr Strom, sondern produziert astatt Musik nur Krach mit gleichen Energieaufwand.
Und kippen tut nichts. Sonst kann man auch jedem Unfall den Kipppunkt als Ursache bezeichnen, wenn man schneller als die Fliehkraft erlaubt durch die Kurve fährt, fliegt man von der Straße. Und zwar an einem ganz bestimmten Punkt. Ein anderer Fahrer mit dem gleichen Fahrzeug und der gleichen Geschwindigkeit könnte anders steuern und fliegt nicht von der Straße! Kein Kipppunkt, sondern die Gesetze der Natur überschritten und dann passiert es, die Anlage übersteuert bzw. man fliegt von der Straße!
Kipppunkt sind Märchen für Dumme!
P. Georgiev, 9. November 2025 23:54
Aktuell arbeiten immer mehr Leistungsendstufen im Class-D Betrieb. Also mit Pulslängenmodulation plus Tiefpassfilter, um die hochfrequenten Schaltfrequenzen auszufiltern.
Der Vorteil dabei ist, daß die Endstufentransistoren entweder voll sperren oder voll leiten, was geringe Verlustleistung im Verstärker bewirkt. Bei hohen Lautstärken wie im Fall einer Rückkoppelung werden die leitenden Zeitabschnitte länger, wodurch natürlich mehr Strom durch die Lautsprecher fließt, was höhere Lautstärke plus höheren Verbrauch bedeutet.
Moderne PA-Anlagen haben aber Schaltungen, die die Gefahr von Rückkoppelung erkennen und automatisch entweder leiser regeln oder digital selektive Frequenzfilter einschleifen.
Um solche Details ging es Ebel zu Beginn aber nicht. Sein Beispiel mit der akustischen Rückkoppelung hat mit der Klimawirklichkeit nichts zu tun!
stefan strasser 11. November 2025 22:48
Mir geht es um das Verständnis, was ein Kipp-Punkt ist. Leider haben das Einige das Verständnis noch nicht gewonnen, obwohl ich ein Beispiel genannt habe, da viele kennen dürften.
Analog ist es auch, daß die moderne Wissenschaft die Gefahr von Klima-Rückkopplungen erkennt und die Politik entsprechend reagiert (analog z.B. dem „automatisch … leiser regeln“). Wie man das Erreichen von Kipp-Punkten vermeidet ist von den Möglichkeiten dazu abhängig:
Bei dem Kipp-Punkt akustische Rückkopplung mit „automatisch entweder leiser regeln oder digital selektive Frequenzfilter einschleifen.“ oder analog die Verringerung des CO2-Ausstoßes.
Mit Ihren „selektive Frequenzfilter“ heben Sie den Kipp-Punkt nur an, aber er bleibt prinzipiell bestehen. Verhindern können Sie prinzipiell nur durch eine Frequenzverschiebung, wodurch allerdings die Tonqualität leidet.
Aber darum geht es in der Kipppunktdebatte auch nicht.
Es hat doch nichts mit Verständnis zu tun.
Anscheinend kritisieren ja sogar Naturwissenschaftler, dass in der Folgenforschung der naturwissenschaftliche Begriff „Kipppunkt“ zu einem bestimmten Zweck nämlich Daueralarm umgedeutet wird.
Herr Strasser, mir ist natürlich absolut klar, dass moderne hochwertige Anlagen über zig Software gesteuerte Eingriffe in der Verstärkung verfügen, die eine Übersteuerung verhindern. Ich habe allerdings alte Anlagen ohne diese Hilfen manuell gesteuert, oft genug im Grenzbereich. Weiß also ganz genau, wie eine Anlage ohne elektronische Steuereinhife reagiert, und konnte damals bewusst an der Reglern eine langsame oder abrupte („Kipppunkt“) Störung herbeiführen.
Wie weit der Krach mehr Energie fordert ist nicht ganz so einfach zu schätzen. Sauberer starker Bass braucht viel Energie, Krach im Mitteltonbereich eigentlich wenigen…
Dass Ebel sich mit seinen Kipppunkten nur wichtig tut…..
Peter Georgiev 9. November 2025 12:46
Und wie wollen Sie die Reglerstellung nennen, wo die „explosionsartige Prozessbeschleunigung“ einsetzt? Eben z.B. Kippunkt, aber es sind auch andere Bezeichnungen möglich. In der Beschallungsanlage sind wegen der kurzen Abstände die Änderungen relativ schnell – in der Atmosphäre dauert es eben länger.
stefan strasser 9. November 2025 12:15
Stimmt meistens [C-Betrieb] ( https://de.wikipedia.org/wiki/Endstufe ) – aber auch bei A-Endstufen kann es pfeifen. Wenn richtig laut eingestellt ist und der Sprecher laut redet, ist hat die C-Endstufe fast genau den gleichen Energieverbrauch wie beim Pfeifen der Anlage. (Ihren Einwand hatte ich fast erwartet, aber dann wäre der Beitrag noch länger geworden wenn ich auch diesen Punkt mit genannt hätte.)
Dabei kann bei der Klimamitkopplung sogar die absorbierte Solarstrahlung zurückgehen und nur der Energiekreislauf wird stärker.
Bei der Eisbildung ( https://scilogs.spektrum.de/fischblog/schneeball-erde-die-datenlage-zum-brutalsten-aller-klimawandel/ ) kann beim Überschreiten des Kippunkts sogar die absorbierte Solarstrahlung weiter zurück gehen.
Feststellung also: Es wird also nicht beim Nennen des Kippunktes geirrt, sondern diejenigen irren sich, die Kippunkte bestreiten weil sie über etwas reden, was sie nicht verstehen – nämlich was mit Kippunkt gemeint ist. Ich hatte also mit meiner Vermutung Recht:
https://eike-klima-energie.eu/2025/11/06/the-guardian-und-guterres-irren-sich-die-wissenschaft-zeigt-keine-klima-kipp-punkte/#comment-472342
Mehr haben sie nicht, oder?
Es müßte sich natürlich um ein natürliches „Kippaustrocknen“ handeln, weil es ja absichtliche menschliche Trockenlegungen auch gibt. Ein Kippaustrocknen, das auch durch Regen nicht mehr rückgängig gemacht werden kann!
Ebel
„… und da sich dieser Überschuß akkumuliert …“
Wenn das so wäre, müßte dieser Vorgang so lange weitergehen, bis die Erde TOA ca. 1368 W/qm abstrahlt. Halten Sie das als „Kippvorgang“ für möglich?
stefan strasser 9. November 2025 10:18
Die 1368 W/qm treffen die Erde nur an einem Punkt und werden auch dort abgestrahlt (Eigenstrahlung plus reflektierte Solarstrahlung), wenn sich die Erde nicht drehen würde. Das ist der Spezialfall, den G&T beschrieben haben. Da sich die Erde dreht, wird die abgestrahlte Energie über die ganze Oberfläche gemittelt (also 1/4) mit 342 W/m² – und das passiert schon jetzt abzüglich Überschuß.
Warum sollte sich oberhalb des Kippunktes etwas ändern? Bestenfalls ändert sich die Wellenlängenverteilung, weil sich die Temperaturen ändern.
Herr Ebel,
glauben Sie wirklich:
da sich die Erde dreht, wird die abgestrahlte Energie über die ganze Oberfläche gemittelt (also 1/4) mit 342 W/qm (mal 0,7 ?)
Nein: Die Tag-Halbkugel erhält eine Einstrahlung von 470 W/qm und keine Gegenstrahlung,
die Nacht-Halbkugel keine Einstrahlung (0 W/qm) und eine Gegenstrahlung von 310 W/qm (dank der nächtlichen Wolken).
Die Wärmeabstrahlung der Tag-Halbkugel beträgt
416,6 W/qm und der Nacht-Halbkugel 53,3 W/qm.
Arno Kuck 9. November 2025 19:19
Soon Schmarrn. Woher „wissen“ die Treibhausgasmoleküle oder Wolken das Tag ist und sie nicht strahlen dürfen? Woher kommt die Gegenstrahlung wenn keine Wolken sind?
Sie sollten sich mal mit den Messungen vertraut machen, z.B. https://wettermast.uni-hamburg.de/frame.php?doc=Zeitreihen8d.htm#STRAHLUNG
(die „langwellige Einstrahlung“ besteht hauptsächlich aus Gegenstrahlung, am Tage kommt etwas dazu aus der Wellenlängenverteilung der Solarstrahlung,)
Herr Ebel,
Sie haben recht. Da die Treibhausgase am Tag nicht wirken, wirken sie auch in der Nacht nicht. (Die vom Wettermast angegebene „Gegenstrahlung“ ist glücklicherweise nur eine normale langwellige Strahlung.)
Wenn die Treibhausgase wirken würden, wäre der Tag 303 K heiß und die Nacht 270 K kalt. Daraus schließe ich, dass die Treibhausgase nicht wirken. Haben Sie das verstanden?
Denn unbestreitbar beträgt die Sonneneinstrahlung auf der Tag-Halbkugel 470 W/qm (und nicht 235 W/qm) und auf der Nacht-Halbkugel 0 W/qm.
Arno Kuck 10. November 2025 11:01
Haben Sie immer noch eine falsche Vorstellung vom Begriff „Gegenstrahlung“? Das ist doch lediglich die nach unten gerichtete langwellige Einstrahlung aus der Atmosphäre, die am Erdboden ankommt. Und da sie die bei klarem Himmel sowohl am Tage als auch in der Nacht sehen und die spektral mit den Banden übereinstimmt, auf denen Wasser, CO2, CH4, … abstrahlen, dürfte auch die Quelle der Strahlung klar sein….
Und wenn Sie mit der Gegenstrahlung Probleme haben, schauen Sie sich doch einfach die Messungen der Satelliten bei klarem Himmel an. Würden Treibhausgase nicht wirken, müßten Satteliten bei klarem Himmel die Abstrahlung der Erdoberfläche messen. Tun sie aber nicht, die messen eine geringere Abstrahlung …
Herr Fischer,
die Temperatur der Tag-Halbkugel beträgt 293 K und nicht 303 K, falls die Treibhausgase wirken würden. Also wirken die Treibhausgase nicht.
Die nächtlichen Wolken sorgen auf der Nacht-Halbkugel für eine Gegenstrahlung von 310 W/qm und eine Nachttemperatur von 283 K.
Bei wolkenloser Nacht wird es sehr kalt. Im Januar 2025 war es im Erzgebirge -23 Grad C kalt. Also wirken die nächtlichen Wolken.
Frau Petra Vooth hat geschrieben (23.11.25): Die Hauptmenge der Energie wird von Teilchen zu Teilchen durch direkten Kontakt „bewegt“. Die Strahlungsenergie von Photonen ist geradezu erschreckend gering.
Sie beruft sich auf Albert Einstein.
Arno Kuck 10. November 2025 14:01
Ersteres behaupten Sie jetzt schon eine ganze Weile, ohne das je plausibel zu belegen. Das zweite basiert also auf einer evtl. falschen Grundlage.
Und Sie ignorieren weiterhin die Messungen. Warum kann man Ihrer Meinung nach an der Erdoberfläche bei klarem Himmel langwellige Infrarotstrahluing messen? Woher kommtm die Ihrer Meinung nach, wenn nicht von Treibhausgasen?

Und warum sehen Satelliten bei klarem Himmel nicht die Abstrahlung der Erdoberfläche (siehe https://ceres.larc.nasa.gov/resources/images/)?
Die Satelliten sehen eine maximale Abstrahlung von 300W/m², was einer Abstrahlung eines schwarzen Körpers mit einer Temperatur von -3°C entspricht. Am Äquator haben wir aber irgendwas um 25°C, was bei einer Emissivity von 0.9 immer noch etwa 400W/m² entsprechen würde …
Hier wurde schon alles mögliche mit Bezug auf Einstein behauptet …
Herr Fischer,
wo sieht man auf dem CERES-Bild die Nacht?
Das Bild sagt doch nichts aus ohne Nacht.
Arno Kuck 10. November 2025 19:11
Sie sehen aber schon, dass dort die gesamte Erdoberfläche über den Zeitraum Juli 2005 bis Juni 2015 dargestellt wird, oder? Denken Sie, das war ein einziger Tag, der gleichzeitig auf der gesamte Erde war und es in der Zeit keine Nacht gab?
Sie wissen aber schon, das es keine Messung ist, sondern ein Modell?
Wie sehen denn die einzelnen Messungen aus? Am Tag in der Nacht?
Werner Schulz 10. November 2025 21:36
Die Beschreibung der Daten lautet wie folgt: „These plots are climatological annual and seasonal means of data obtained from the NASA Clouds and the Earth’s Radiant Energy System (CERES) scanner instruments onboard the Terra and Aqua satellites during July 2005 through June 2015.“ Warum denken Sie, das sei ein Modell? Weil der Satellite immer nur Teile der Erdoberfläche sieht und man die Daten noch zu einem „Bild“ der gesamten Oberflläche zusammenfügen muss? Oder ist bei Ihnen bereits die Bildung eines Mittelwertes ein Modell?
Wie wäre es, wenn Sie selber nachsehen? Es gibt auch Ceres-Daten mit einer Auflösung von einer Stunde. Sie könnten also mal selber recherchieren und nach Antworten auf Ihre Fragen suchen …
Ist es nicht?
Aber Messwerte sind es auch nicht, selbst wenn stündlich. Ihre Annahme muss falsch sein!
Herr Fischer,
fällt Ihnen nicht auf, dass die langwellige Ausstrahlung auf 300 W/qm endet.
Bei Tag ist die Ausstrahlung deutlich höher.
Arno Kuck 11. November 2025 8:49
Doch, das fällt mir auf. Die haben die Skala so gewählt, dass alle Messwerte abgedeckt werden. Mehr als 300W/m² (Mittelwert bei klarem Himmel) werden nicht ins All abgestrahlt.
Das behaupten Sie nun bereits seit Monaten ohne jeglichen Beleg. Zeigt man Ihnen mit einer Messung, dass Sie falsch liegen, unterstellten Sie den „Messenden“, dass die einfach alles oberhalb von 300W/m² ignorieren würden. Kann man sicher machen, wirkt aber nicht sehr überzeugend.
Können Sie irgend eine Messung bringen, die Ihre These stützt?
Herr Fischer,
was ich und auch Sie nicht bemerkt haben, ist, dass der Mittelwert von von Juli 2005 bis Juni 2015 für Tag und Nacht gilt.
Der Mittelwert der Wärmeabstrahlung am Tag (416,6 W/qm) und in der Nacht (53,3 W/qm) bedeutet 235 W/qm.
Leider wurden die Daten von Tag und Nacht nicht getrennt gemessen.
Dann wüsste man mehr.
Arno Kuck 11. November 2025 15:30
Ich habe das gemerkt – sollte eigentlich in meinem Kommentar vom 10. November 2025 19:33 klar geworden sein.
Die Abstrahlung von 53,3 W/qm) in der Nacht wird bei Ihnen doch durch Wolken verursacht, oder?
In dem Diagramm werden aber nur die Werte bei klarem Himmel dargestellt, da können die Wolken also nicht für eine Verringerung auf 53,3W/m² sorgen. Da muss es eine andere Ursache geben, die für eine Verringerung von etwa (416 + 363)/2 = 389,5W/qm auf unter 300W/qm sorgen …
Herr Fischer,
wie kommen Sie darauf, dass im Diagramm nur Werte bei klarem Himmel dargestellt sind ?
Die Kontinente sind doch nur unterlegt, oder?
Arno Kuck 12. November 2025 8:24
Es steht im Diagramm: Clear-Sky Outgoing Longwave Radiation.
Ein Bild mit Wolken könnte so

Global Image of Outgoing Longwave Radiation at Top-of-Atmosphere from CERES Instrument on NASA Terra Satellite for March 2000 (Instrument: CERES/Terra; Release Date: 1/14/2014)
oder so
aus Oppressive Heat Wave Moves across United States.
aussehen. Sie sehen dort deutlich die geringere Abstrahlung der kühleren Wolken. Sie sehen aber auch, dass die deutlich höher ist, als die von Ihnen angenommen 53W/m².
Für die Bilder gilt: “Image credit: Image courtesy of the CERES Science Team at NASA Langley Research Center in Hampton, Virginia, USA”.
Herr Fischer,
Sie haben recht. Ich hatte Clear-Sky übersehen. Frage: Wozu taugen eigentlich diese Daten?
Die Daten mit Wolken sind wichtiger.
Allerdings sind die Daten von Tag und Nacht wieder gemittelt worden. Diese Mittelwerte passen dann gut zum Bereich 100 W/qm und 300 W/qm.
Merkwürdig, die wolkenlosen Phasen können separat gesammelt werden, aber Tagseite und Nachtseite nicht.
Oder wissen Sie mehr?
Arno Kuck 12. November 2025 22:16
Bezüglich der Diskussion hier die Daten zeigen deutlich, dass die Abstrahlung der Erdoberfläche bei klarem Himmel nicht ungehindert ins All geht, wie Sie es postulieren.
Sie hatten folgendes postuliert: „Die Wärmeabstrahlung der Tag-Halbkugel beträgt 416,6 W/qm und der Nacht-Halbkugel 53,3 W/qm.“ und 310W/m² von nächtlichen Wolken, also eine nächtliche Abstrahlung der Oberfläche von 363,3. Das ist ein Mittelwert von pi mal daumen 390W/m². Die Satelliten zeigen aber maximal 300W/m², die mittlere Abstrahlung dürfte kleiner sein.
Wie kommen Sie da auf „passt gut zum Bereich 100 W/qm und 300 W/qm“?
Ich habe nur flüchtig gekuckt, aber es gibt die Ceres-Daten in Stundenauflösung und es gibt Veröffentlichungen, die darauf basierend etwas über den diurnalen Zyklus schreiben. Da
Herr Fischer,
Sie hatten folgendes postuliert: „Die Wärmeabstrahlung der Tag-Halbkugel beträgt 416,6 W/qm und der Nacht-Halbkugel 53,3 W/qm“
und 310W/m² von nächtlichen Wolken gibt es nicht, also eine nächtliche Abstrahlung der Oberfläche von 235 W/qm.
Arno Kuck 13. November 2025 9:59
Die 310W/m² der nächtlichen Wolken haben Sie gefühlte 1000 mal gebracht und nun gbt es die plötzlich nicht mehr? Sie schrieben oben noch:
Haben Sie jetzt Ihre eigene Argumentation vergessen? War Ihre Bilanz für den Tag nicht 470W/m² + 0W/m² – 416,6 W/m² = 53,3W/m² und für die Nacht 0W/m² + 310W/m² – 363,3W/m² = -53,3W/m²? Würden Ihre Annahmen stimmen, müßten die Satelliten bei klarem Himmel am Tage die 416,6 W/m² und in der Nacht die 363,3W/m² sehen. Tun sie offenbar nicht, da der Mittelwert deutlich drunter liegt.
Herr Fischer,
die Oberflächenabstrahlung der Nacht-Halbkugel beträgt 363,3 W/qm.
Die Gegenstrahlung der nächtlichen Wolken beträgt 310 W/qm.
Die Wärmeabstrahlung (auf der Nacht-Halbkugel) in den Weltraum beträgt daher 53,3 W/qm (nicht 363,3 W/qm).
Die Wärmeabstrahlung (auf der Tag-Halbkugel) in den Weltraum beträgt 416,6 W/qm (das es auf der Tag-Halbkugel keine Gegenstrahlung gibt) .
Der Outgoing Longwave Flux beträgt bei CERES daher 235 W/qm.
Arno Kuck 13. November 2025 23:10
Haben Sie jetzt wieder vergessen, dass die CERES-Grafik die Abstrahlung bei klarem Himmel, also ohne Wolken zeigt? Da gibt es also keine Verringerung von 363,3 W/qm auf 53,3 W/qm aufgrund der Wolken. Wenn Ihre Annahme stimmen würde, müßte dort in mittlerer Wert zwischen 363,3 W/qm und 416,6 W/qm zu erkennen sein. Man sieht aber nur ein Maximum vom 300W/m² bzw. 320W/m² beim Bild von der Hitzewelle 2006 …
Dann haben sie anscheinend vergessen, das ein ständig wolkenfreier Himmel nicht existiert, und Ceres keine Realität abbildet, sondern nur ein Model.
Herr Fischer,
Sie haben mir doch am 12.11. 10:37 ein zweites CERES-Bild (mit Wolken)gezeigt:
Global Image of Outgoing Longwave Radiation at Top-of-Atmosphere from CERES Instrument on NASA Terra Satellite for March 2000 (Instrument: CERES/Terra; Release Date: 1/14/2014)
Und daher bleibt es dabei
die Oberflächenabstrahlung der Nacht-Halbkugel beträgt 363,3 W/qm.
Die Gegenstrahlung der nächtlichen Wolken beträgt 310 W/qm.
Die Wärmeabstrahlung (auf der Nacht-Halbkugel) in den Weltraum beträgt daher 53,3 W/qm (nicht 363,3 W/qm).
Die Oberflächenabstrahlung der Tag-Halbkugel beträgt 416,6 W/qm (keine Gegenstrahlung) und daher beträgt auch die Wärmeabstrahlung der Tag-Halbkugel 416,6 W/qm .
Außerdem stimmt der Hinweis von Herr Schulz, dass es immer Wolken gibt, wenn auch teilweise tröpfchenweise.
Eine Bitte habe ich noch:
Versuchen Sie bitte getrennte CERES-Bilder von der Tag-Halbkugel und der Nacht-Halbkugel herauszufinden.
Arno Kuck 14. November 2025 14:45
Sie verschliessen also die Augen vor Daten, die Ihnen etwas über die Abstrahlung ohne Wolken sagen, um an Ihrer Sicht festzuhalten. Analaog zu den Messungen der Strahlung aus der Atmosphäre …
Wenn es immer Wolken gibt, warum ist dann die Abstrahlung tagsüber 416,6 W/qm? Sie wechseln da in Ihrer Argumentation irgendwie beliebig hin und her.
Wäre es nicht statt dessen besser, wenn Sie sich mal ansehen, wie die clear sky Daten entstehen?
Herr Fischer,
wie kommen Sie darauf, dass das zweite Bild clear sky Daten zeigt. Die Kontinente der Erde sind doch unterlegt.
Die Wolken wirken in vielfacher Form:
Die Wolken am Tag bestimmen die Albedo der Erde. Bei wolkenlosen Tag ist die Albedo deutlich geringer.
Wie Sie selber sagen, spielen also die Wolken einen großen Einfluss auf die Temperatur der Erde.
Die Differenz der mittleren Tagestemperatur und der Nachttemperatur liegt unter 10 K.
Bei wolkenlosem Himmel ist die Differenz etwa 20 K. Wo wirken dann die Treibhausgase?
Würden nur die Treibhausgase wirken, wirken sie am Tag und in der Nacht.
Anmerkung:
Bei gesundem Menschenverstand muss man doch erkennen, dass dann die Tag-Halbkugel wärmer und die Nacht-Halbkugel kälter werden muss.
Die Differenz der mittleren Tagestemperatur und der Nachttemperatur würde sich dann auf etwa 30 K erhöhen.
Das wäre eine Katastrophe für die Erde.
Bei gesundem Menschenverstand ist es doch unsinnig anzunehmen, dass die Sonne ständig die gesamte Erdoberfläche bestrahlt. Diese unwirkliche Rechenprobe hat doch nur ergeben, dass ohne eine zusätzliche Wärmequelle (z.B. Gegenstrahlung) die Erde zu kalt ist. Dummerweise hat man die Wolken als Kandidat vergessen.
Aber mindestens seit über 50 Jahren wird berichtet, dass die nächtlichen Wolken in der Nacht die Erde „warm“ halten. Und das lässt sich berechnen.
Die Wärmeabstrahlung ins Weltall beträgt nur 53,3 W/qm. Das entspricht einer Gegenstrahlung von 310 W/qm für die Nacht-Halbkugel.
Aktuelle Daten:
Bei wolkenlosem Himmel lag die Nachttemperatur im Erzgebirge im Januar 2025 auf -23 Grad C.
Bei wolkenlosem Himmel lag die Nachttemperatur im Erzgebirge im August 2025 auf 0 Grad C und die Tagtemperatur auf 25 Grad C.
Sogar Herr Ebel gibt zu, dass die Wolken einen großen Einfluss haben.
Wie hoch der Einfluss der Treibhausgase ist, hat Herr Ebel nicht genannt. Offensichtlich haben aber bei wolkenlosen Himmel die Treibhausgase versagt.
Ich würde mich freuen, wenn Sie mir mögliche Fehleinschätzungen nennen angeben können.
Wenn es immer Wolken gibt, warum ist dann die Abstrahlung tagsüber 416,6 W/qm? Die Bemerkung Sie wechseln da in Ihrer Argumentation irgendwie beliebig hin und her ist aber dünn.
Die Abstrahlung am Tag (ohne Gegenstrahlung) ergibt sich aus der Differenz
470 W/qm (Einstrahlung) – 53,3 W/qm (Wärmeabstrahlung Nacht)
= 416,6 W/qm (Oberflächenabstrahlung(Tag))
Im eingeschwungenem Sonne-Erde-System bleibt dann die Erdtemperatur nahezu konstant.
Arno Kuck 14. November 2025 20:57
Wo habe ich das behauptet? Können Sie bitte zitieren, worauf Sie sich beziehen?
Das ist allgemeiner Konsens,
Wir diskutieren hier aber über Ihre konkrete Sicht, dass die Wolken nachts 310W/m² in Richtung Erdoberfläche und nur 53W/m² in Richtung All abstrahlen sollen. Dazu bräuchte man nachts eine geschlossene Wolkendecke, die an der Unterseite etwa 0°C und an der Oberseite -95°C hätte. Wie dick soll die Wolkendecke da sein, um das zu ermöglichen? Und wie löst die sich dann bei Sonnenaufgang spontan auf?
Und Sie haben auf dem Bild der Hitzewelle ja auch eine Aufnahme von einem Tag mit einer Kombination von Abstrahlung der Erdoberfläche (die deutlich niedriger ist, als von Ihnen postuliert) und der Wolken (die deutlich höher ist, als von Ihnen postuliert) …
Habe ich doch gemacht. Die Messungen der langwelligen Strahlung an der Oberfläche und von Satelliten zeigen Ihnen, dass Sie da falsch liegen.
Wenn Sie Wert auf eine „Aussage“ von Herrn Schulz dazu legen: „Existiert das atmosphärische Fenster bei klarem Himmel nicht?“ Es ist keine Aussage, aber hinter der Frage steckt die Existenz des atmosphärischen Fensters. Nur in dem Wellenbereich geht die Strahlung der Oberfläche bei klarem Himmel direkt ins all, in den anderen Wellenbereichen kommt sie von Treibhausgasen aus der Atmosphäre. Ich bin mir sicher, Herr Schulz wird Ihnen das gerne genauer erklären …
Herr Fischer,
Wir diskutieren hier aber über Ihre konkrete Sicht, dass die Wolken nachts 310W/m² in Richtung Erdoberfläche und nur 53W/m² in Richtung All abstrahlen sollen.
Da die Wolkendecke nachts nicht vollständig geschlossen ist, strahlt einen Teil der Oberflächenabstrahlung (53,3 W/qm) in den Weltraum ab.
Es handelt sich wieder um eine Mittelung von Tag und Nacht.
Aufgabe der CERES-Bilder war wohl (?), das KT-Modell zu eichen.
Übrigens: (416,6 + 53,3)/2 W/qm = 235 W/qm.
Daher sind Werte von 320 W/qm Hitzewerte.
Arno Kuck 17. November 2025 18:19
Soll ich das so verstehen, dass eine Mittelung über die Teile mit klarem Himmel auf der Nachtseite 53W/m² ergibt? Die Wolken also gar nichts ins All abstrahlen? Das wäre eine Verschlimmbesserung Ihrer These …
Diesen Nachsatz verstehe ich nicht.
Herr Fischer,
die nächtliche Wolkendecke wirkt wie ein Strahlungsschutzschirm für die Erde. Bei vollständiger Wolkendecke in der Nacht erfolgt praktisch keine Wärmeabstrahlung in den Weltraum.
Die Oberflächenstrahlung der Nacht-Halbkugel beträgt 363,3 W/qm. Damit die Erde im Mittel 288 K warm ist, muss der Erde neben der Sonneneinstrahlung von 470 W/qm auf der Tag-Halbkugel eine Gegenstrahlung von 310 W/qm (bezogen auf die Nacht-Halbkugel) geleistet werden. Das machen die nächtlichen Wolken. Die Wärmeabstrahlung der Nacht-Halbkugel beträgt also
363,3 W/qm – 310 W/qm = 53,3 W/qm.
Praktisch strahlen Oberfläche der Erde und Wolken in den Himmel.
Wieso soll
Das eine Verschlimmbesserung Ihrer These sein …
sein.
Die Abstrahlungswerte der heißen Erde entstehen aus einem Mittelwert von Tag und Nacht. Das macht CERES immer so.
Die mittlere Standardausstrahlung ist
235 W/qm = (416,6 + 53,3 W/qm)/2.
Frage: Von welcher „These“ sprechen Sie?
Arno Kuck 17. November 2025 20:02
„praktisch keine Wärmeabstrahlung in den Weltraum“ bedeutet, dass die Oberseite der Wolken „praktisch“ eine Temperatur von 0K hat. Wollen Sie das wirklich behaupten? Oder ist Ihnen nicht klar, dass das die Konsequenz wäre?
Eine Temperatur von -95°C an der Oberseite der Wolken ist schon schwer vorstelltbar. Eine Temperatur von 0K ist überhaupt nicht vorstellbat …
Ich habe das, was Sie hier die ganze Zeit vorstellen, als These bezeichnet …
Table 9. CERES Aqua Edition4A mean instantaneous all-sky TOA flux and CERES Aqua Edition4A minus Edition3 mean instantaneous all-sky TOA flux difference for April and October 2004
Im Bild angehängt
Herr Heß,
die Tabelle gilt für starke Bewölkung. Dann ist die Temperatur von Tag und Nacht nahezu gleich und natürlich dadurch auch die Abstrahlung.
Ich habe auch Berechnungen für eine starke Bewölkung durchgeführt.
Ich habe die Befürchtung, dass die Werte bei CERES bezogen sind auf die gesamte Erdoberfläche.
Meine Werte sind bezogen auf jede Halbkugel und daher größer.
Das prüfe ich.
Die Zeitwahl ist gut gewählt, da Tagesdauer und Nachtdauer annähernd gleich sind.
Die Größe SW gibt es eigentlich nur bei Daytime und müsste doppelt so groß sein wie das jeweilige LW.
Aber CERES mittelt Tag und Nacht.
CERES misst einzelne Messpunkte entlang der Umlaufbahn; für jeden Punkt ist bekannt, ob dort lokal Tag oder Nacht ist, sodass sich die Emissionen für Tag- und Nachtbedingungen nachträglich getrennt aus den Messungen bestimmen lassen.
Nachts ist es einfacher, weil man nur den Kanal/Sensor nehmen muss der das gesamte Spektrum abdeckt (total channel). Tagsüber wird dann davon der SW-Kanal abgezogen, um die LW – Emission zu bestimmen.
Herr Heß,
erst einmal danke für Ihre Information.
Es ist tatsächlich so, dass ich die Strahlungswerte pro Halbkugel angebe und nicht wie CERES pro Erdoberfläche.
Nun zum;
Table 9. CERES Aqua Edition4A mean instantaneous all-sky TOA flux and CERES Aqua Edition4A minus Edition3 mean instantaneous all-sky TOA flux difference for April and October 2004.
Das Datum ist gut gewählt (Tag-Nacht-Gleiche).
Allerdings verstehe ich die Werte nicht.
Müsste nicht die Gleichung
SW = Daytime LW + Nighttime LW
gelten?
SW, Daytime LW und Nighttime LW sind drei getrennte Mittelwerte: SW ist der kurzwellige Fluss bei den Tagesüberflügen, Daytime LW der langwellige Fluss bei Tag, Nighttime LW der langwellige Fluss bei Nacht.
Deshalb kann SW nicht einfach gleich Daytime LW + Nighttime LW sein. Die beiden LW-Werte sind keine additiven Komponenten, sondern zwei Stichproben derselben Größe (LW) zu unterschiedlichen Tageszeiten.
Für die Energiebilanz braucht man das 24-Stunden-Mittel der LW-Abstrahlung, also näherungsweise (Daytime LW + Nighttime LW)/2, und genau dieses 24-h-LW-Mittel liegt bei den CERES-Zahlen sehr nah am SW-Wert.
Das zeigt, dass die globale Energiebilanz in der richtigen Größenordnung ist. CERES erreicht die notwendige zeitliche Abdeckung durch polare Umlaufbahnen (Terra/Aqua) plus die Einbindung geostationärer Satelliten und misst mit getrennten SW- und „Total“-Detektoren, aus deren Differenz der LW-Fluss bestimmt wird.
Herr Heß,
Deshalb kann SW nicht einfach gleich Daytime LW + Nighttime LW sein.
Es gibt aber doch immer gleichzeitig ein Daytime LW und ein Nighttime LW, wenn auch nicht gleichzeitig. gemessen.
Daytime LW und Nighttime LW sind eigentlich nur dann nahezu gleich,
wenn die Erde völlig bewölkt ist.
So wird es unterschieden, aber die Mittelung ist ja jeweils über einen Monat denke ich
Warum ist das notwendig? Will man das Registrieren der Reflektionen vermeiden? Weil es wird ja in Richtung Planet gemessen, oder?
Ich glaube die Satelliten der CERES-Mission haben drei Kanäle, 0.3 – 5 Mikrometer, 0.3 – 100 Mikrometer sowie 8 – 12 Mikrometer. Das ist vermutlich ein effizientes Setup.
Herr Heß,
starke Bewölkung ist ein eigenes Kapitel. Ich habe selber diesen Fall berechnet. Der Unterschied zwischen Tagestemperatur und Nachttemperatur ist bei starker Bewölkung sehr klein.
Ich habe den Verdacht, dass die Daten der CERES-Tabelle auf die gesamte Erdoberfläche bezogen sind.
Meine Daten sind auf eine Halbkugel bezogen.
Ich prüfe das.
Und was bedeutet das?
Herr Heß,
je nach Ort in der Atmosphäre wirken die Wolken unterschiedlich. Bei einer erdnahen Lage, wirken sie kühlend, bei einer himmelnahen Lage wirken sie wärmend.
Aus Klimatabellen vieler Städte (z.B. Melbourne) kann man ablesen, dass die mittlere Tagestemperatur 293 K und die mittlere Nachttemperatur 283 K beträgt. Auf der Nacht-Halbkugel strahlt die Erde ständig um 53,3 W/qm ab. Auf der Tag-Halbkugel erwärmt die Sonne ständig die Erde um 53,3 W/qm. Dadurch bleibt die mittlere Temperatur der Erde konstant.
Sowohl Tag-Halbkugel als auch Nacht-Halbkugel rotieren einmal am Tag um die eigene Achse und einmal im Jahr um die Sonne. Und das schon tausende von Jahren. Das Sonne-Erde-System ist eingeschwungen.
Die Oberflächenstrahlungswerte der Tag-Halbkugel und der Nach-Halbkugel betragen 416,6 W/qm und 363,3 W/qm. Die Differenz beider Oberflächenstrahlungswerte beträgt 53,3 W/qm.
Die nächtliche Gegenstrahlung ergibt sich aus:
363,3 W/qm – 53,3 W/qm = 310 W/qm.
Anmerkung: Alle Strahlungswerte sind bezogen auf eine Halbkugel.
Da sagen alle CERES – Messungen etwas anderes, oder nicht?
Dazu braucht man eigentlich keine Tabellen, es reicht barfuß am Strand zu laufen. Da wo ich aufgewachsen bin musste man im Sommer mittags rennen, um sich nicht die Füße im Sand zu verbrennen. Unterschied Tag/Nacht enorm. Die Wassertemperatur dagegen konstant, Wolken hin oder her. Und 70% der Oberfläche ist Wasser, da haben Wolken kein Einfluss auf die Oberflächetemperarur….
Ohne Zweifel kühlt das Land nachts weniger ab bei Wolken. Allerdings heizt sich das Land auch weniger auf bei Wolkenbedeckung, das rechnet niemand gegen….
Da wird der Einfluss in beiden Richtungen in der Summe nicht so groß sein. Und der Einfluss von 0,04% der Luft ist definitiv vernachlässigbar.
Herr Georgiev,
danke für Ihren Hinweis. Ich werde darüber nachdenken.
Das kann niemals gemessen werden, weil es immer Wolken gibt! Der Fehler ist also wo zu suchen?
Gute Frage Herr Kuck!
Noah,
Die Grafik ist richtig, wenn man breitbandig nur die Leistungen der senkrecht nach oben gehenden Anteile der Erdabstrahlung mißt.
Der von Ihnen geschätzte W. Happer zeigt aber auch in seinem Vergleich zwischen gemessenen und gerechneten Spektren, daß man nur über das Spektrum bzw. über die Lage des Maximums im Spektrum die zugrundeliegende Abstrahltemperatur ermitteln kann.
Jeder Punkt der Oberfläche strahlt halbkugelförmig ab. Die Gesamtabstrahlung kann man per senkrechter breitbandiger Leistungsmessung 90° nach oben aber nicht bestimmen.
300 W/m² entsprechen idealisiert einer Abstrahltemperatur von ca. -3°C. Der Vergleich dieses Wertes mit der Wirklichkeit zeigt, daß hier einiges nicht stimmen kann bzw. fehlinterpretiert wird.
Sie sind übrigens nicht der Einzige, der ca. -3°C Abstrahltemperatur am Äquator behauptet, Ihr Kollege Dietze gehört auch dazu.
Und da ist doch lediglich gleichzeitig eine nach oben gerichtete Strahlung aus selbiger Atmosphaere.
Der Begriff „Gegenstrahlung“ ist demnach falsch, weil sie in alle Richtungen geht und nicht nur in Richtung Erdboden.
Werner Schulz 10. November 2025 14:28
Ich habe den Satz mal ergänzt, den Sie unvollständig zitiert haben.
Ja, die Atmosphäre strahlt gleichzeitig auch nach oben. Da diese Abstrahlung offensichtliche nicht auf der Erdoberfläche ankommt, ist diese Anmerkung irgendwie seltsam.
Und wenn die Gegenstrahlung „die nach unten gerichtete langwellige Einstrahlung aus der Atmosphäre, die am Erdboden ankommt“ ist, kann sie nicht gleichzeitig in alle Richtungen gehen. Es ist offensichtlich eine Teilmenge der atmosphärischen Abstrahlung gemeint. Warum Sie damit Wortspiele machen wollen, erschliesst sich mir irgendwie nicht …
Nur Merkwuerdig fuer sie! Wenn Ihnen vorne und Hinten jemand das Geld aus der Tasche zieht wuerden sie verstehen, warum es wichtig ist.
Und weil sie von Wortspielen reden, genau das faellt mir fuer „Gegenstrahlung“ auch ein.
Haben sie was gegen atmosphaerische Strahlung? Oder nur was dagegen, das diese in alle Richtungen gehen muss?
Werner Schulz 10. November 2025 16:52
Warum sollte ich? Ich schrieb doch extra: „Ja, die Atmosphäre strahlt gleichzeitig auch nach oben.“ Ich kann auch gerne nochmal bestätigen. dass die Abstrahlung in alle Richtungen geht. Aber einTeil der Abstrahlung kommt nunmal auf der Erdoberfläche an und dieser Teil wird gewöhnlich als Gegenstrahlung bezeichnet.
Was hat das damit zu tun, dass dem Geld, das mir hinten aus der Tasche gezogen wird, eine spezielle Bezeichnung gegeben wird?
Ach, ist das dann die Hinternzahlung?
Also sie meinen man braucht ein Extrawort für das Geld das ihnen hinten raus gezogen wird, und deshalb macht „Gegenstrahlung“ macht Sinn?
Und wie ist das wenn hinten 100 DM abgezogen werden und vorne auch, sind das dann 200 DM?
Also strahlen 333 W/m2 nach oben, während auch 333 W/m2 nach unten Strahlen? Und 333 W/m2 kommen nicht auf der Oberfläche an?
Werner Schulz 10. November 2025 21:42
Es ist Ihre Analogie. Wenn Sie jetzt plötzlich merken, dass sie keinen Sinn ergibt, ist das Ihr Problem. Was den Begriff angeht, Sie können es gerne analog zum englischen „downwelling longwave radiation“ „von hinten aus der Tasche gezogenes Geld“ nennen.
Brauchen Sie Nachhilfe auf dem Niveau der 4. Klasse?
Das ist die Folge von Abstrahlung in alle Richtungen.
Wenn Sie nach oben gehen, kommen Sie offensichtlich nicht auf der Erdoberfläche an.
Entgeht mir hier irgendwas? Sie stellen Fragen, deren Antworten so offensichtlich sind, dass Sie sie eigentlich sofort selbst beantworten können müßten.
Ja, Herr Schulz zeigt öfter infantile Aussetzer des Verstandes.
Und sie distanzieren sich von Anstand und Höflichkeit.
Und wenn sie Kinder hätten, würden sie den Infantilen Verstand zu würdigen wissen.
Meine Enkel haben nehr Verstand als Sie hier präsentieren.
Aber mehr wäre besser, oder?
Wo kommen denn die 666 W/m2 her?
Werner Schulz 12. November 2025 6:31
Die 333W/m², die in alle Richtungen gehen, stammen aus der inneren Energie des abstrahlenden Gases, das entsprechend seiner Temperatur und den Abstrahlungsbanden der beteiligten Gase Wärmestrahlung emittiert.
Vielleicht zur Veranschaulichung aus dem Vortrag von Happer: https://youtu.be/uS6X5Slnd_s?t=1299
Na ja, Herr Fischer. Bevor Sie sich reinlegen lassen, sollten Sie Schulz darauf hinweisen, dass die 333 W/m2 nicht in beide Richtungen gehen, weil die Atmosphäre Richtung Weltall nicht symmetrisch zum Boden ist und daher die Strahlungsmenge auch nicht. Stichwort:Strahlungstransportgl.
Aber das hat er schon bestätigt, oder nicht?
Thomas Heinemann 12. November 2025 16:42
Ich habe beim Schreiben an ein einfaches Schichtenmodell gedacht, in dem die Abstrahlung der Schichten nach oben und unten gleich ist, aber die Abstrahlung der Schichten mit der Höhe abnimmt, wie das öfter bereits diskutiert wurde. (z.B. anhand Goody/Walker, S, 60ff)
In der Realität wird die nach oben gehende Strahlung einer Schicht aufgrund der nach oben abnehmenden Temperatur geringer sein, als die nach unten gehende Strahlung. Ich habe aber abseits vom Formelapparat noch nichts gesehen, was dieses Verhalten anschaulich macht – also anschaulich darastellt, dass die Abstrahlung einerseits lokal betrachtet in alle Richtungen gleich geht, aber trotzdem insgesamt mehr nach unten als nach oben …
Ja, ich kann Ihre Gedanken nachvollziehen, Schulz dreht da ab.
Und sie haben keine Antworten?
Kein Wunder.
Die isolierte Betrachtung der Gegenstrahlung führt physikalische Anschauung in die Irre und liefert kein anschauliches Bild; maßgeblich ist der Netto-Langwellenfluss – an TOA, an der Oberfläche und zwischen den „modellierten Schichten“ im einfachen Mehrschichtmodell. Temperatur- und Extinktionskoeffizienten-Gradienten machen Auf- und Abwärtsflüsse ungleich; die Heiz-/Kühlrate einer Schicht ist die (minus) Divergenz des Nettoflusses und im stationären Zustand (zusammen mit konvektiven, sensiblen und latenten Wärmeströmen) null. Anschaulich denkt man eben am Besten in einem durchgehenden Energiefluss von der Oberfläche ins Weltall, die „Gegenstrahlung“ ist lediglich eine Teilzerlegung und taugt höchstens als Krücke im Ein-Schicht-Bild.
Günter Heß 12. November 2025 20:45
Genau so etwas wird doch in Goody/Walker beschrieben. Haben Sie da irgendwas missverstanden? Oder entgeht mir an Ihrer Anmerkung etwas?
Ich habe nur ergänzt. Denn als Ergänzung zu Ihrem Satz braucht es denke ich noch den Hinweis, dass für das resultierende Bild der vertikale Nettofluss an den Schichtgrenzen, also die Differenz zwischen auf- und abwärts gerichtetem Strahlungsfluss, betrachtet werden muss.
Günter Heß 13. November 2025 9:11
Ihre Einleitung mit einem (gerade noch einmal wiederholten) unvollständigen Zittat meiner Aussage gefolgt von „Kein Wunder. Die isolierte Betrachtung der Gegenstrahlung führt physikalische Anschauung in die Irre und liefert kein anschauliches Bild;“ kommt aber ganz anders an. Vielleicht können Sie das ja das nächste mal weglassen und statt dessen klarmachen, womit Sie übereinstimmen und was man Ihrer Meinung nach noch ergänzen sollte …
Kurzer Gruss an Marvin, endlich am Punkt angekommen? Was hat so lange gedauert?
Werner Schulz 12. November 2025 23:58
Was hat die Frage einer anschaulichen Darstellung der Vorgänge mit den Vorgängen an sich zu tun?
Das wäre philosophisch, hier gehts aber um Physik.
Und da ist es so:
Werner Schulz 13. November 2025 12:59
Warum bringen Sie diesen Punkt dann, statt bei der Physik zu bleiben?
Wo sehen Sie da einen Widerspruch zu dem von mir geschriebenen?
Wir hatten diskutiert, wie der „auf- und abwärts gerichtete Strahlungsfluss“ entsteht. Diese Strahlungsflüsse müssen Sie ja erst mal haben, bevor Sie daraus einen Nettowert bestimmen können. Der von Ihnen zitierte Text war eine ergänzende Anmerkung von Herrn Heß, kein Widerspruch…
Ahem, den philosophischen Punkt haben sie gebracht.
Die physikalische Realität, was die „Gegenstrahlung“ angeht, dürfen sie bei Herrn Heß nachlesen.
Mir glauben sie es eh nicht.
Das ist doch recht deutlich, oder?
Übrigens wenn die Atmosphärenphysik so gut verstanden ist, und wir Temperaturerhöhungen durch den Anstieg von CO2 annehmen müssen,
warum ist es so schwer festzustellen, welche Oberflächentemperatur bei einer Atmosphäre von 100% CO2 bei 0.05 kPa herrschen würde?
Werner Schulz 13. November 2025 22:03
Den Punkt haben Sie eingebracht – sogar wörtlich: „.… endlich am Punkt angekommen? Was hat so lange gedauert?“ Als ich dann wissen wollte, was IHR Punkt mit der Diskussion zu tun hat, haben Sie es als philosophisch abgebügelt.
Sie ignorieren jetzt einiges:
Wo ist nun also Ihrer Meinungn nach der Widerspruch zwischen dem von mir gesagten und der Aussage von Herr Heß? Wie sieht denn eine solche Nettoflussbetrachtung Ihrer Meinung nach aus? Darf ich das noch erfahren oder wollen Sie die Diskussion mit dem Verweis auf den scheinbaren Widerspruch von Herrn Heß beenden? Wäre mir auch recht …
Ihr Punkt war:
Nun klingt nicht philosophisch, aber wenn sie meinen.
Und jetzt stellen sie fest:
Ich kann sie scheinbar nicht auf eine Antwort drängen, weil, siehe ihre erste Aussage.
Sie müssen sich nicht entschuldigen, das sie es nicht wissen.
Auch dazu hat ihnen Herr Heß schon eine Antwort gegeben.
Den Widerspruch darf ich aber noch mal wiederholen.
In der einseitigen Betrachtung der nach unten gerichteten Strahlung wird ein Wert von 333 W/m2 genannt.
Da die Atmosphäre in allen Richtungen strahlt, gehen auch 333 W/m2 nach oben.
So jetzt erklären sie was sie mit der Gegenstrahlkrücke beweisen wollen.
Werner Schulz 14. November 2025 13:05
Die Antwort steht doch oben da, was ist an der denn unklar?
Sehen Sie da irgendwas anders? Sie wiederholen das ja teilweise sogar noch …
Ich wollte damit nichts beweisen, ich habe lediglich am Anfang Herr Kuck darauf hingewiesen, was man im allgemeinen unter Gegenstrahluing versteht („Das ist doch lediglich die nach unten gerichtete langwellige Einstrahlung aus der Atmosphäre, die am Erdboden ankommt.“)
Herr Fischer,
die sogenannten „Vorgänge“ gibt es für eine Sonneneinstrahlung von 470 W/qm gar nicht. Daher gibt es auch keine anschaulichen Darstellungen.
Das funktioniert nur in der KT-Version, in der die Erde auf zwei Tag-Halbkugeln besteht.
Aber sagten sie nicht 333W/m2 gehen auch nach oben?
Wieviel kommen denn an der Oberfläche wirklich an?
Das ist höflich umschrieben, denn jeder hier kennt Herrn Schulz als derjenige, der mit seinen billigen Verfälschungen täuschen möchte.
Werner Schulz 10. November 2025 14:28
Nein, die Vorsilbe „Gegen“ bezieht sich auf die Richtungen zwischen Temperaturgefälle und Strahlrichtung. Unten ist die Temperatur höher als am Strahlungsort, die Temperatur oben ist niedriger. Die Strahlung nach unten ist also entgegen dem Temperaturgefälle, nach oben gleich.
Bin dagegen!
Und im atmosphaerischen Fenster wird das gemessen!
Arno Kuck 10. November 2025 11:01
Da irren Sie sich – Sie vergessen, daß die Oberfläche die absorbierte Strahlung nicht nur über Strahlung abgibt, sondern auch über Verdunstung usw.
Na und – es geht um die Leistung von ca. 300 W/m². Selbst wenn Ihre 470 W/m² genommen werden ist die absorbierte Leistung 770 W/m² – und das ist ein großer Unterschied zu 480 W/m² allein.
Wenn ich das sagen wuerde!
Vielleicht muss man sagen die „absorbierte Waerme“, weil Strahlung gibt ja die Oberflaeche ab, es sei denn, wir fangen noch mal ganz von vorne an….
Herr Ebel,
Selbst wenn Ihre 470 W/m² genommen werden ist die absorbierte Leistung 770 W/m² – und das ist ein großer Unterschied zu 480 W/m² allein.
Sie sind lustig: Dann würde der mittlere Wert der Temperatur der Tag-Halbkugel 341 K betragen.
Wann ist es auf der Tag-Halbkugel so warm gewesen?
Sieht man also gleich das der Treibhauseffekt durch Strahlung nicht funktioniert!
Aber Herr Ebel sagt etwas:
Verdunstung und Konvektiver Wärmeeintrag in die Atmosphäre am Tag. Und weil die meisten Gase nicht strahlen, aber Wärme aufnehmen, kommt es zum atmosphärischen Effekt.
Kann es zum Beispiel sein, das die eingetragene Wärme in Volumenarbeit umgewandelt wird? Was passiert dann, und wieviel ist notwendig?
Ich betrachte nur die Strahlungsbilanz. Der Wärmeaustausch zwischen Atmosphäre und Erde durch Verdunstung, Wolkenbildung und Konvektion ist eine Nullnummer.
KT hat die Gegenstrahlung von 155 W/qm aufgemotzt auf 333 W/qm ( langwellige Einstrahlung, Konvektion und Verdunstung) ohne dass diese Bestandteile irgendetwas Neues bewirken.
Zitat: Denn unbestreitbar beträgt die Sonneneinstrahlung auf der Tag-Halbkugel 470 W/qm (und nicht 235 W/qm) und auf der Nacht-Halbkugel 0 W/qm.
Nein, auf der Tag-Halbkugel (solarbestrahlte hemisphärische Erdoberfläche) erhält man eine mittlere Energiestromdichte von: j(avg) = S·(1 – A) = 1367·(1 – 0,3) = 956 W/m².
Herr Holtz,
Sie haben vergessen, 1367 durch zwei zu teilen.
Nein, warum sollte man das durch 2 teilen?
Herr Holtz,
die Solarkonstante ist bezogen auf Pi mal R^2. Die Halbkugel hat die Fläche 2 mal Pi mal R^2.
Zitat: die Solarkonstante ist bezogen auf Pi mal R^2.
Nein, ist sie nicht. Wo haben Sie diesen Unsinn her?
Der Wert der sogenannten Solarkonstante für die Erde (normierte Total Solar Irradiance/TSI mit der Distanz 1 AE) beschreibt die Strahlungsemission der Sonne mit der Distanz (1 Astronomische Einheit) vom Sonnenzentrum (einem Punkt) zur Erdumlaufbahn für die Einheitsfläche (siehe: Abstandsquadratgesetz).
Herr Holtz,
gucken Sie mal in ein Physikbuch, z.B. Bergmann-Schäfer
Dann steht in den sogenannten „Physikbuch“ physikalischer Unsinn.
Herr Kuck,
immer noch nicht verstanden.
Richtig. Normal ist auch, dass diese die beobachtbare Temperaturen bewirkt und somit am normalen Treibhauseffekt beteiligt ist.
Das ist offensichtlich ein logischer Widerspruch zu dem, was Sie im Anschluß bestätigten. Korrigieren Sie sich.
Ich habe Sie nicht gefragt.
Das ändert nichts daran, dass Sie falsch liegen
In der Umkehrung vom SBGesetz sicherlich! Stimmt das?
Als Physiker kennt man nur das SB-Gesetz, mehr nicht.
Ein bisschen wenig aber könnte das Niveau eines Fysikers beschreiben.
Für sie als Physiker, sie sollten das Gesetz auch richtig anwenden können…
Darin besteht kein Zweifel.
Als Physiker kennt man nur das SB-Gesetz, mehr nicht.
Naja, ich habe untertrieben. Es könnte Sie interessieren, dass man als Physiker auch lernt, das SB-Gesetz aus der Quantentheorie herzuleiten.
Unwichtig, wenn sie behaupten das sich die sogenannten Gegenstrahlung
Waehrend SB sagt die Temperatur bestimmt die Abstrahlung.
Werner Schulz 14. November 2025 22:07
Schulz will wieder provozieren. Wenn die Abstrahlung bestimmt ist, stellt sich die Temperatur so ein, das so viel abgestrahlt wird, wie notwendig ist. Z.B. muß die absorbierte Solarleistung abgestrahlt werden.
Eben. Herr Ebel.
Herr Schulz, haben Sie das SB also jetzt kapiert?
Das stimnt ja auch, die Gegenstrahlung bewirkt als Teil der Energiebilanz die beobachtbaren Temperaturen, so wie die Sonne als Teil der Energiebilanz die beobachtbaren Temperaturen bewirkt. Das wissen Sie aber schon.
Was hat das mit SB zu tun?
Na was denn nun? Was genau bestimmt die Temperatur?
Gegenstrahlung als Teil bestimmt die Temperatur der Oberfläche?
Und was bestimmt wie hoch die Gegenstrahlung ist?
Sagen sie jetzt nicht die Temperatur. Weil wie bestimmt sich die Temperatur der Atmosphäre?
Am Boden eventuell ähnlich wie die Temperatur vom Boden?
Wenn das kein Zirkelschluss ist, was dann?
Na, das wissen Sie doch längst, weil es Ihnen dutzende Male erklärt wurde: Die Stationarität der Energiebilanz = alle Energieflüsse sind konstant. Davon leitet sich ab, dass zum All Strahlungsgleichgewicht herrscht.
Sie nennen nun die synchrone Erfüllung der Konstanz aller Energieflüsse „Zirkelschluss“. Soll diese Bezeichung etwa ein Verständnisproblem bei Ihnen anzeigen? Worin bestünde das?
Es gibt physikalisch kein Problem in Form eines Kausalkonflikts (Zirkelschluss) dadurch, dass ein System von Gleichungen synchron erfüllt wird, wie es bei der Erfüllung der Energiebilanz vorliegt.
Und wie berechnen sie den Wert der Gegenstrahlung, wenn sie die Bodenabstrahlung gar nicht kennen, sondern suchen?
Na, das Verfahren geht selbstkonsistent. Den Begriff hatte ich schon in der Vergangenheit benutzt.
Da Sie ihn nie nachfragten, wissen Sie, was er heißt.
Sicherlich kann das keiner verstehen wie sie das Beide hier versuchen zu erklären, siehe Frage an Herrn Ebel.
Herr Ebel,
ich glaube sie verstehen nicht mal im Entferntesten was Herr Heinemann gesagt hat.
Aber sie können es vielleicht erklären:
Was hat die absorbierte Solarleistung mit der Gegenstrahlung zu tun?
Übrigens heißt das Herr Schulz, wenn dann.
Warum sind die hiesigen Fysiker unhöflich bis arrogant?
Kaschieren sie damit argumentative Defizite?
Werner Schulz 16. November 2025 9:51
Laufend provozieren ist mehr als unhöflich.
Wenn sie sich von Fragen provoziert fühlen, dann erkennen sie eines der wichtigsten Werkzeuge der Wissenschaft scheinbar nicht an.
Falls sie das jetzt provoziert, es ist keine Frage!
Dann ist die Venus wohl hochgekippt oder?
Diejenigen, die die Kippunkte bestreiten, wissen oft nicht, was ein Kippunkt bedeutet.
Z.B. beim CO2: Die Erwärmung setzt zusätzliche CO2-Qellen frei. Diejenigen, die die Kippunkte bestreiten, sind oft diejenigen, die behaupten, das der Anstieg der CO2-Konzentration durch Ausgasen aus dem Ozean wegen der Erwärmung erfolgt.
Aber es ist umgekehrt: Trotz der Erwärmung nimmt der Ozean weiter CO2 auf – allerdings nicht so viel, wie zusätzliches CO2 in die Atmosphäre kommt. Die CO2-Quellen sind Verbrennung fossiler Rohstoffe und (das und ist wichtig) die zusätzlichen Quellen von CO2 infolge der Erwärmung. Z.B. wird CO2 frei bei Erwärmung von Mooren.
Soweit ich das übersehe, macht sich das zusätzliche CO2 schon jetzt bemerkbar, indem die atmosphärische CO2-Konzentration schneller ansteigt als durch die Verbrennung fossiler Rohstoffe erklärt werden kann. Ein Kippunkt entsteht dann, wenn die zusätzlichen CO2-Quellen so viel CO2 abgeben, das das zusätzliche CO2 für die weitere Erwärmung reicht.
Insofern, ist ein Kippunkt nicht so einfach zu beobachten, da das ein schleichender Vorgang ist – nicht wie ein Lichtschalter, wo beim Schalten das Licht aufleuchtet. Ein Kippunkt ist mehr eine mathematische Analyse der weiteren Entwicklung.
Sie wollen nicht wissen, egal ob sie können oder nicht. Mangelndes Wissen ist nicht ihr Problem und bringt Klimaskeptiker nicht zur objektiven Erkenntnissen und rationalen Einschätzungen.
Klimaskeptiker sind Irre, die ein Problem mit sich in ihrem gesellschaftlichen Umfeld haben. Die brauchen Psychiater, keine Physiker.
Zum Glück bin ich Klimarealist. Also in meinem Umfeld habe ich etliche Klimaschützer, fast alle davon in psychologischer Behandlung. Sogar einige Psychologen dabei. Die glauben am Atomtot, Waldsterben, Ozonloch, etc.. Und Kipppunkten. Deshalb sind sie auch in Behandlung.
Herr Krüger,
Klimarealist ist schmeichelnd aber nicht realistisch
Ich weiss jetzt was ein Kipppunk ist:
Und sie Antworten Herrn Ebel, ohne das zu bemaengeln? Ich glaube sie haben den mentalen Kipppunkt erreicht, und sind genau so abgestuerzt wie Herr Ebel.
Und zwar schnell und heftig, das braucht man nicht mehr analysieren!
Fehlt da nicht noch was?
Übereinstimmungen mit realexistierenden Systemen aus der Geschichte sind rein zufällig. Insofern hat Herr Krüger unrecht. Die Erde hat schon Kippunkte gesehen.
Herr Heß, Sie haben die Schulze Denke erkannt: stets ausweichend reagieren.
Alles was sie jetzt rausgearbeitet haben, ist, das ein Kipppunkt ein Zusammenbruch ist.
Hat Herr Ebel aber nicht gesagt, und stimmt das überhaupt?
Und welche davon haben mit Treibhausgasen zu tun?
Ein Kipppunkt ist eine Anomalie der zweiten Art, oder?
Wahrscheinlich das Integral…
Herrn Schulz und Lange,
Sie zeigen schön, wie xxxxxxxxxxxx
Höflich bleiben!
Ein Psychiater besucht eine psychiatrische Klinik. Er unterhält sich mit einem Patienten, der sich für Albert Einstein hält. Nach einer Weile kommt ein Pfleger vorbei, tippt dem Psychiater auf die Schulter und sagt: „Herr Doktor, Sie sind jetzt seit zwei Stunden hier – wollen Sie nicht langsam wieder zurück auf Ihre Station?“
Der Psychiater schaut verwirrt und sagt: „Aber ich bin doch der Psychiater!“ Darauf der Pfleger: „Ja, ja – das sagt Einstein auch jeden Tag“, oder?
Also ich wüsste nicht, dass die Erde je einen Kipppunkt gesehen hat. Anders beim Mars.
Welcher Kipppunkt war beim Mars?
Als er das Magnetfeld, die Atmosphäre und Wasser verloren hat. Kommt auch nicht wieder. Selbiges hat die Erde nie erlebt.
Was sie so alles wissen.
Aber Umpolungen des Magnetfeldes, oder?
Ich glaube die Marsianer haben vor 4 Mrd. Jahren ihr planetares Magnetfeld abgeschaltet aus Angst vor den Nebenwirkungen vermutlich.
Das hat so einiges gekippt.
Die hatten damals schon „German Angst“. deshalb wurden sie vorrauschend früher in den Comics in einer bestimmten Farbe gemalt. Das war wohl ungefähr so „dumm“ wie Kühltürme sprengen und Kernkraftwerke abschalten. Aber ich glaube der Mars hat das nicht absichtlich gemacht.
Er hat auch glaube ich jährliche „Zusammenbrüche“ weil seine Atmosphäre zumindestens teilweise ausfriert.
Witzig ist ja das sie sagen:
Aber selber sagen sie ja auch:
Wie denn?
Und wenn ein :
dann Entwarnung oder Kipppunkt nicht verstanden!
Wie er gerade passt, oder?
Können Sie das an dieser Entwicklung kurz beschreiben, wie man da mit einer mathematischen Analyse der weiteren Entwicklung einen Kipppunkt erkennt?
Gute Trage, aber sehen sie nicht die schleichende Wandlung?
Es sieht ja eher aus wie ein Sprung.
Nur einer? Und was ist gekippt?
Ich denke nicht, dass man aus dieser Zeitreihe auf Kipppunkte schließen kann.
Es ist aber sicher leichter Kipppunkte in schleichenden Entwicklungen zu vermuten als Evidenz dafür zu finden bzw. sie auch zu detektieren. Wenn man will kann man natürlich in dieser Zeitreihe Anzeichen dafür vermuten.
Ich sehe einen Hin-und-Her-Kipppunkt. Das ist nicht mal ne Vermutung!
Günter Heß 7. November 2025 19:05
Das habe ich doch schon kurz beschrieben. Normalerweise erwartet man, daß beim Wegfall der Ursache eine Rückkehr zum gleichen Zustand wie vor der Ursache eintritt, z.B. einen Topf Wasser vom Feuer nehmen und das Kochen hört auf, ein Lautstärkeregler in einer Beschallungsanlage hat einen Kippunkt: Wenn unterhalb des Kippunktes nicht ins Mikrofon gesprochen wird, ist der Lautsprecher stumm, aber oberhalb des Kippunktes braucht keiner zu sprechen – die Anlage pfeift (akustische Rückkopplung). Wenn man die Physik versteht und genügend Informationen hat, kann man den Kippunkt in der Beschallungsanlage vermeiden. Das bedeutet, das man die Atmosphäre genügend gut kennen muß, um sicher zu sein, das bei Wegfall der Ursache der Zustand vor der Ursache erreicht wird und sich der Zustand nicht weiter verschärft. Bei den langen Zeiten der Wirkungskette in der Atmosphäre ist schwer zu beobachten, ob man sich unterhalb oder oberhalb des Kippunktes befindet.
Sie sagen, das wir den Kipppunkt nicht beobachten können, aber es gibt ihn?
Sie können also nie beweisen, das es einen Kipppunkt gibt, und wir müssen ihnen glauben?
Das ist recht durchsichtig, weil es sehr undurchsichtig ist, oder?
Was für schwachsinnige Analogie-Versuche!
Es gibt Faktoren, die einen Prozess verstärken, manchmal auch intensiv, wie bei Rückkopplung von vom Mikro aufgenommen Signal aus dem Lautsprecher. Im Übrigen ist nicht so sehr vom Regler abhängig, sondern von der Position, ob man beim beim Sprechen vor oder hinter den Lautsprecher steht. Und im höheren Maße, ob man ein billiges oder ei teures Mikro in der Hand hat. Und Rückkopplungen kündigen sich an, man braucht sich nur ein wenig wegdrehen, und das beginnende Pfeifen hört auf.Kipppunkte sind Hirngespinst von Glaubenspropheten, und einem Wissenschaftler unwürdig.
Peter Georgiev 9. November 2025 11:16
Stimmt, man braucht nur ein wenig vom Kippunkt wegzudrehen – und darum dreht sich die Debatte beim Klima.
Nur der Mensch definiert, was er unter einem Kipppunkt gerne versteht, es war unerwartet, also muss es doch kippen. Weil wir dachten das wäre die Ursache der gesehenen Folge, plötzlich bleibt die Folge aber unverändert, obwohl wir die angenommene Ursache wieder wegnahmen, also musste es kippen. In der Natur kippt nichts, da hat es Übergänge. Wir suchen immer Geschichten um uns etwas zu erklären, wir suchen immer wenn-dann, oft fehlerhaft.
Manchmal ist es sehr weise nur zu beschreiben was wir sehen, ohne Gründe dazwischen zu schieben, oft gesehen: gleiche Beobachtung – wechselnde Begründungen. So gab der japanische Schwertschmiedemeister sein Wissen an seine Schüler weiter, das war gut so.
Vor dem Streit über den Kipppunkt X1 benötigt es einer gemeinsamen Definition, was unter Kipppunkt verstanden werden soll, oder?
Ich denke es das ist eine sehr gute Beobachtung darüber, wie wir Menschen vorgehen.
Deshalb gibt es viel mehr Vermutungen welche Ökossysteme einen Kippunkt zeigen könnten als tatsächliche Beobachtungen von Kippunkten.
Deshalb gibt es viel mehr Prognosen und nur eine Auswahl davon wird möglicherweise bestätigt.
Das ist zum Beispiel ein Rezept für guten Journalismus.
Aber es ist auch in der Naturwissenschaft gut erstmal nur zu beschreiben, was man beobachtet, anstatt sofort Gründe zu vermuten, wenn man keine Evidenz für die Ursache hat.
Herr Ebel,
die „Kipp-Punkte“ sind doch Erfindungen des PIK. Niemand in der übrigen Welt glaubt an Kipp-Punkte.
Ich kenne den Begriff. Aber ich weiß nicht, an welchen Stellen der Erde etwas „kippen“ soll.
Soweit Herr Ebel das übersieht, macht sich das zusätzliche CO2 schon jetzt bemerkbar
Ich sehe überhaupt keinen gefährlichen Einfluss des CO2 auf die Erde.
Die einzigen Einflüsse auf die Erdtemperatur haben die Luftströmungen und die Wolken der Erde.
Das tägliche Leben auf der Erde hängt vom Tag und von der Nacht ab.
Optimal(?) wäre es, wenn der Unterschied zwischen der Tagestemperatur und Nachttemperatur möglichst gering ist. Bei starker Bewölkung ist der Unterschied gering. Bei wolkenlosem Himmel ist der Unterschied groß.
Beide Extreme sind sicher nicht optimal, aber ertragbar.
Die Sonneneinstrahlung reicht nicht aus, um die Erde auf eine Temperatur von 288 K zu halten. Dazu wird eine zusätzliche Wärmequelle in der Nacht benötigt und die ist die nächtliche Bewölkung, die wie ein Strahlungsschutzschirm für die Erde wirkt und daher eine Gegenstrahlung von 310 W/qm leistet.
Ergebnis (Jahresmittel): Tagestemperatur 293 K, Nachttemperatur 283 K
Was würde passieren, wenn statt der Arbeit der Wolken die Treibhausgase die Temperaturwerte der Erde beeinflussen würden?
Die notwendige Wärmequelle (Treibhausgase) würde am Tag mit plus 191 W/qm und in der Nacht mit (310-191=119) W/qm wirken.
Ergebnis (Jahresmittel): Tagestemperatur 303 K, Nachttemperatur 270 K
Das ist logisch, denn die Erde wird am Tag erwärmt und in der Nacht stark abgekühlt.
Herr Ebel, wann haben es die Treibhausgase geschafft, diese Hölle zu erzeugen?
Steht diese Hölle auf Ihrer Kipp-Punkt-Liste?
Och nö. Strahlung von Wolken und von der Atmosphäre ist keine Wärmequelle.
Die Sonne muss die Temperatur nicht halten, das macht der atmosphärische Effekt.
Mit Strahlung hat es nichts zu tun!
Es stimmt, der Begriff „Gegenstrahlung“ ist für die Wolken falsch. Dennoch wirken die Wolken als Strahlungsschutzschirm, denn in der Nacht wird nur beträgt die Wärmeabstrahlung in den Weltraum nur 53 W/qm.
Arno Kuck 8. November 2025 7:17
… richtig, denn die Wolkentemperatur ist meistens niedriger als die Oberflächentemperatur.
Herr Schulz,
ich habe noch einmal Ihre Antwort gelesen:
Die Sonne muss die Temperatur nicht halten, das macht der atmosphärische Effekt.
Das stimmt so nicht.
Die Sonne hält die Temperatur der Erde nicht, sondern es benötigt eine zusätzliche Wärmestrahlung von 155 W/qm. Die nächtlichen Wolken sorgen für eine Wärmezufuhr von 310 W/qm. Und am Tag macht der atmosphärische Effekt glücklicherweise nichts. Sonst würde es am Tag sehr heiß werden.
Na er macht ja dann was! Warum wird es denn nicht heiss? Der Treibhauseffekt funktioniert am Tage nicht, der atmosphärische Effekt wohl schon!
Ich habe gesucht und nicht gefunden:
Was ist der ominöse atmosphärische Effekt?
Natürlich tauschen Atmosphäre und Erde Wärme aus. Aber es ist nur ein Nullsummenspiel.
Das gilt auch für die Lufttemperatur (nahe des Erdbodens) und der Bodentemperatur. Mal ist die Lufttemperatur wärmer als der Boden und mal kälter..
Kann ich verstehe, das sie es nicht finden.
Alle Links zu der Arbeit von Detlef Hebert sind mittlerweile unbrauchbar und dem Digitalen Krieg zum Opfer gefallen.
Die Arbeit heisst:
Der Atmosphären-Effekt D. Hebert,
Am ehesten vielleicht noch hier nachzuvollziehen:
https://web.archive.org/web/20240611024845/https://docplayer.org/27469048-Der-atmosphaeren-effekt.html
Herzlichen Dank für den Hinweis. Ich habe die Arbeit von Herrn Hebert gefunden.
Kein Problem. Sehr gerne geschehen!
Arno Kuck 7. November 2025 19:52
Auch die Änderungen dieser Größen (Luftströmungen, Wolken) sind Folgen der Änderung der CO2-Konzentration – ist schon zu lesen bei Fortak 1971 https://erlebte-geschichte.fu-berlin.de/personen/dr-heinz-fortak
Die CO2 Konzentration kann so viel, aber keiner kann sagen welchen Einfluss eine Atmosphäre von 100% CO2 bei 0.05kPa hat….
Herr Ebel,
das CO2 scheint ein Tausendsassa zu sein.
Herr nEbel macht zumindest Fortschritte, hat er doch endlich wenigstens einen Link zur Vita von Fortak gefunden. 😀
Auf den Link zu der immer wieder von ihm zitierten Fortak-Veröffentlichung warte ich schon ein paar Monate. :-O
Am Wochenende konnte ich bei einem Freund einen Blick in das Buch von Fortak: Metereologie werfen. Er hat das in seiner umfangreichen Bibliothek stehen. Ich habe die S. 78 fotografiert mit dem Handy.
Herr Heß,
Zur Info, ich habe das Buch auch. Wenn Sie noch andere Textstellen brauchen, kann ich auch ein Foto davon hier hineinstellen
Ja können Sie gerne machen. Wenn sie noch andere Stellen zu dem Thema haben.
Auf dieser Seite 78 von Fortan steht ja dass durch CO2 und die ausgelöste Erwärmung eher mehr Wolken entstehen und das das die Temperaturerhöhung kompensiert.
Günter Heß 10. November 2025 14:52
Fortak hat von vielen Zusammenhängen gesprochen und für einen Zusammenhang eine Vermutung geäußert (1971). 50 Jahre später wissen wir mehr – z.B. das durch weitere Prozesse mehr Sonne kommt. Z.B. ändert sich die Strömung, das könnte z.B. bei der Verdunstung die Temperaturerhöhung kompensieren.
Moritz Steinmetz 10. November 2025 0:28
Auf das Buch hatte ich (und Prof. Kramm) schon wiederholt hingewiesen – auch googln hilft:
https://www.amazon.de/Wissen-Gegenwart-Wernher-Hrsg-Fortak/dp/B001GFBQ6K
Die Vita habe ich gebracht, da ich oft analoge Aussagen wie Fortak mache – und es schwer fallen dürfte, einem bekannten Fachmann Unwissenheit zu unterstellen – wie Laien hier oft bei fachlich fundierten Aussagen unterstellen wollen, keine Ahnung zu haben.
Herr Steinmetz,
Glauben Sie ernsthaft, dass Ihnen Herr Ebel Unsinn unterschieben will und seine Fortak-Zitate keine solide wissenschaftliche Grundlage haben?
Fände ich schon heftig und würfe ein schlechtes Bild auf Sie.
Vieleicht koennen sie das ja mal uebersetzen?
Unklar ist:
Was genau wissen wir mehr? Kann etwa Wasserverdunstung die Globale Erwaermung aufhalten?
Werner Schulz 10. November 2025 16:42
Als Provokateur geben Sie also vor noch nicht mal einfache Texte zu verstehen.
Um Ihre Provokation glaubhafter zu machen, haben Sie vorsichtshalber die Worte „weitere Prozesse“ weggelassen, damit soll sicher der Eindruck falscher Zusammenhänge entstehen.
Wenn sie anfangen einfache Texte zu schreiben, dann fange ich an, sie zu verstehen!
Durch welche weiteren Prozesse kommt mehr Sonne, wohin kommt sie, was passiert dann? Nichts, weil die Wasserverdunstung die Temperatur reguliert?
Mehr Sonne, heißt das, eine höhere Solarkonstante? Weniger Albedo?
Welche Strömung meinen sie?
Denken sie wirklich das ihre Textzusammenstellung einfach zu verstehen ist?
Bitte beleidigen sie nicht ihre eigene Intelligenz!
Werner Schulz 10. November 2025 21:59
Entschuldigen Sie, wenn ich die Intelligenz vieler Leser hier überschätze.
Herr Ebel,
Ja, wir werfen Perlen vor die Säue.
Sie lesen?
Herr Schulz, es geht der Person nicht um Fakten in der Natur, sondern nur um die eigene Wichtigkeit und Unfehlbarkeit zu unterstreichen. Sie und ich wissen, „dass wir nichts wissen“, Ebel glaubt alles zu wissen. Und unterstreicht damit, dass es mit seiner Intelligenz nicht weit her ist. Man nennt es überhebliche Arroganz oder arrogante Überheblichkeit.
Peter Georgiev 11. November 2025 11:54
Wenn ich Unsinn von Ihnen widerlege ist das in Ihren Augen „arrogante Überheblichkeit.“ Geht’s noch?
Sie sollten sich so viel Wissen aneignen, das Sie qualifiziert schreiben können – sonst ist es mit Ihrer Intelligenz nicht weit her. Vielleicht können Sie dann unterscheiden zwischen Phantasie und Realität.
Herr Ebel,
Gehen Sie auf diesen Quatsch doch gar nicht ein. Der Herr hat kein Interesse an Bildung.
Nun, die Frage ist für die letzten und kommenden Jahrzehnte wissenschaftlich bereits beantwortet. Und an auch Sie die Klimaberechnungen für diese Zeiträume kennen, ist Ihre Frage damit bereits beantwortet.
Wie ist die Antwort?
Auf den Punkt gebracht führt mehr Wasserdampf in der Atmosphäre bekanntlich zu einer höheren globalen Gleichgewichtstemperatur des Bodens.
Weil die Wasserverdunstung die Temperatur reguliert?
Oder wie Herr Ebel sagt:
Thomas Heinemann 12. November 2025 10:20
Da muß ich widersprechen. Der Wasserdampf ist für den feucht-adiabatischen Temperaturgradienten verantwortlich. Wenn die Oberflächentemperatur steigt, sorgt mehr Wasserdampf für die Einhaltung des feucht-adiabatischen Gradienten.
Temperatur und Höhe der Tropopause werden von der Oberflächentemperatur nur wenig beeinflußt. Das hat zur Folge, daß die Oberflächentemperatur bei konstanten Werten von Temperatur und Höhe der Tropopause nur durch den Temperaturgradienten beeinflußt wird. Ohne Wasserdampf ist der Temperaturgradient höher und damit die Oberflächentemperatur.
Das Wasserdampf ein sehr starkes Treibhausgas ist, hat damit wenig zu tun, der Wasserdampfgehalt beeinflußt nur das Verhältnis zwischen strahlenden und konvektiven Wärmetransport.
Ob das Herr Heinemann verstehen will?
Wir haben also zwei „Wenn Dann“ – Modelle bzw. Interpretationen. Ich fasse die Beiden mal mit meinen Worten zusammen.
1. Wenn Tropopausenhöhe und -temperatur im Wesentlichen konstant bleiben und mehr Wasserdampf den feucht-adiabatischen Gradienten abflacht, dann kann die Oberflächentemperatur niedriger ausfallen.
2. Wenn zusätzlicher Wasserdampf die IR-optische Tiefe erhöht und dadurch die effektive Emissionshöhe anhebt, dann kann die Oberfläche zur TOA-Energiebilanz wärmer werden, trotz flacherem Gradienten.
Herr Heinemann schrieb aber:
Was heißt „bekanntlich“? Ist das nur ein Narrativ?
Oder, Was sagt denn nun die Klimawissenschaft?
Welche Messdaten unterstützen 1) oder 2)?
Herr Ebel,
Bezogen auf einen „trockenen“ Treibhauseffekt mögen Sie recht haben. Ich bezog meinen Vergleich jedoch auf den Fall, dass kein Treibhauseffekt herrscht. Und bezogen darauf ist die Gleichgewichttemperatur der Erdoberfläche mit Wasserdampf höher. Das sehen ja auch Sie so.
Ach so? Deshalb sagten sie:
Also in der Atmosphäre gibt es keinen Treibhauseffekt? Oder sie brechen gerade unter ihrem eigenem Denkdruck zusammen.
Herr Schulz,
XXXXX XXXX!
sagt Fortak
Arno Kuck 12. November 2025 12:36
54 Jahre später (2025 – 1971) kennen wir die Regelprozesse besser, z.B. das die Wolkenbildung abnimmt, wenn die Temperatur steigt.
Herr Ebel,
z.B. das die Wolkenbildung abnimmt, wenn die Temperatur steigt.
Muss es nicht heißen,
Wenn die Wolkenbildung abnimmt, steigt die Temperatur
Arno Kuck 12. November 2025 18:36
Aus den vielen Regelprozessen irgendeinen Prozeß herausnehmen ist jeder Zusammenhang möglich – das ist analog wie die Frage: kommt das EI vom Huhn oder das Huhn aus dem Ei.
Die Temperaturen an der Erdoberfläche steigen unterschiedlich, dabei ändern sich die Zirkulationsmuster. Deswegen sind beide Aussagen richtig – aber bei meinem Text hätte ich es besser ausführlicher geschrieben.
Wir wissen mehr, zweifellos
Verlassen sie sich auf Andere?
Sofern diese sich als objektiv vertrauenswürdig erweisen.
weil mehr Wasser kondensiert?
Ohne Mittelwertbildung von intensiven Größen kriegen Sie wohl gar nichts mehr hin, immer das Motto: So jetzt vergessen wir mal die Physik, die dahinter stecken könnte, oder?
Nun ja, ist eben eine einfache Größe, Änderungen des energetischen Gleichgewichts zu bemessen.
Was ich glaube oder nicht spielt ja keine Rolle dabei. Nur was Herr Ebel immer wieder als Bezugspunkt präsentiert macht für sinnvolle Diskussionen keinen Sinn wenn man nicht zumindest seine teilweisen Auszüge aus einem Büchlein im Zusammenhang selbst erlesen kann. Einen „Gedankenblitz/selektiven Auszug“ zu präsentieren, ergibt noch lange keine sinnvolle Aussagen über Vor- und Nachwirkung selbigen und fordert einzig den/seinen(Ebels) Schlussfolgerungen folge zu leisten.
Herr Steinmetz,
Mag sein. Aber Herr Ebel zeigt damit ja nur, dass er durch in dem Fall Fortak Überstützung hat und damit das Zweifeln an seiner Aussage dem Zweifeln an der Wissenschaft gleichkommt.
Oh die Personifizierung der Wissenschaft. Genau der Fehler den man in der Wissenschaft nicht machen sollte. Zweifel sind die Kontrolelemente der Wissenschaft und sollten immer erlaubt sein.
Selbst die KI sagt:
Herr Heß hat recht mit dem was er ueber sie sagt! Ich denke sie vertreten nicht die Wissenschaft, sondern sie stilisieren sich zu einer Autorität hoch, die sie nicht sind. Buersten sie bitte ihr Ego woanders, am Besten auf einer globalen Klimakonferenz, da sind ja lauter Autoritäten…
Werner Schulz 17. November 2025 14:24
Eine Antwort zu zitieren (vielleicht sogar nur einen Teil der Antwort) ohne die Frage mitzuteilen ist zumindest unhöflich – aber für Sie typisch eine Provokation.
Dazu braucht es aber eigentlich keine Künstliche Intelligenz.
Das ist der klassische Fehlschluss des „argumentum ad verecundiam“. Finden sie auch ohne KI.
Stimmt!
Die Frage war, was soll man von einem Menschen halten der sagt:
Was hatten sie gedacht?
Welche, bzw. wieviel er durch den „Fall Fortak“ tatsächlich an Unterstützung hat lässt sich an selektiven Zitaten nun wirklich nicht ermessen. Und Fortak ist nur einer von Vielen die Aussagen zu dem Thema publiziert haben, woraus sich demnach nur in einer Gesamtschau seiner Einlassungen ein sinnvolles Urteil ableiten lässt. Und da findet sich außer bei Ebel nahezu nichts in weiteren Recherchen selbst unter Bezugnahme auf den Author. Das lässt demnach nur einen Schluss zu, Herr Ebel hat nur dieses eine Buch zum Thema gelesen und ist nun der Meinung das alles richtig ist was da verfasst wurde. 😀
Moritz Steinmetz 18. November 2025 9:39
Also ein Professor für Meteorologie hat keine Ahnung von Meteorologie? Geht’s noch? Außerdem stimmen Fortaks Aussagen mit dem Stand der Wissenschaft überein. Deswegen zitiere ich Fortak.
Herr Steinmetz,
Um zumindest eine Grundlage zur Ermessung zu haben, müssen werden Sie wohl das Buch lesen!
Nö, ich lese lieber die Bücher welche aktuelleren Datums sind zum Thema und eine objektive Sicht auf die Problematik zeitigen.
Ich empfehle Lehrbücher, z.B. Oort Peixoto, Physics of Climate oder das eher populärwissenschaftliche Buch von Lawrence Krauss, The Physics of Climate Change
Moritz Steinmetz 19. November 2025 0:56
Was verstehen Sie unter „objektiver Sicht“? Die Bestätigung Ihrer Vorurteile? Wenn Sie nur nach Literatur suchen, die Ihre Vorurteile bestätigt, bleiben Sie in einer Phantasiewelt und nicht in der Realität.
Sie sollten nicht immer von sich ausgehen bei der Beurteilung anderer. Wenn einer Vorurteile hat, publiziert hat, dann doch wohl Sie und diese pflegen Sie hier in ziemlich monotoner Weise.
Die Wissenschaft irrt nicht!
Wenn die Wissenschaftler Kippunkte festgestellt haben, so gibt es diese auch. Da die Belehrten diese Beobachtung, dass das Klima kippt, nicht teilen, wird es wohl die Wissenschaft sein, die umkippt.
Wie Kater Hiddigeigei sinnierte:
Doch was nützts ich kann den Haufen
Nicht an meine Seite ziehn
Und so lass ich sie denn laufen
S´ ist wahrlich nicht schad um ihn.
Ich hatte mich vor Jahren, als diese Kippelhysterie schon einmal überschwang etwas näher mit der unterstellten Prozesslogik befasst. Hier mein damaliger Versuch einer sinnvollen Erklärung dieser politisierten Verklärung.
Tipping Points – ein Mythos.
Warum „Irreversibilität“ als Kennzeichen von Kipppunkten die Diskussion in die Irre führt
Der Begriff des „Kipppunktes“ dominiert seit Jahren die öffentliche Klimadebatte. Er suggeriert, dass das Klima auf klar definierte Schwellen reagiert, die beim Überschreiten abrupt und irreversibel in neue Zustände führen. Diese Vorstellung ist eingängig, politisch wirksam – aber wissenschaftlich in Bezug auf Klimafragen unangemessen. Sie basiert auf der Übertragung vereinfachter Modellvorstellungen auf ein hochkomplexes, multiskaliges System, das Erdsystem.
Tatsächlich zeigt sich bei genauerer Betrachtung, dass der Primat der Irreversibilität im realen Klima nicht haltbar ist. Das Klima ist kein Schalter, der von einem Zustand in den anderen kippt, sondern ein System der Systeme, dessen Subkomponenten auf verschiedenen Zeitskalen immerwährend in unterschiedliche Gleichgewichtsbereiche einschwingen. Über Monate, Jahre, Jahrzehnte oder manchmal auch Jahrhunderte betrachtet kehrt das Gesamtsystem immer wieder in Attraktorkorridore zurück, die man als „Ursprungsstabilität“ bezeichnen kann – ohne dass diese Stabilität als statisch oder absolut verstanden angesehen werden sollte.
Ein Beispiel für einen häufig als Kipppunkt dargestellten Prozess ist die „Great Salinity Anomaly“ der 1960er und 1970er Jahre. Veränderungen der arktischen Windsysteme führten zum Kippen des Beaufort-Wirbels, zur Einlagerung großer Mengen Süßwassers und schließlich zu einem abrupten Ausfluss dieser Anomalie, der die AMOC beeinflusste und deutliche regionale Abkühlungen hervorrief. Nach ein bis zwei Jahrzehnten jedoch hatte sich das System vollständig erholt und in seinem ursprünglichen, wärmeren Zustand erneut eingeschwungen. Ein austariertes Regelverhalten – nicht ein irreversibler Kipppunkt.
Eine präzisere Begriffswelt ist zwingend
Um das Klima angemessener zu beschreiben, ist es sinnvoll, die populistische Tipping-Point-Rhetorik zu ersetzen durch Begriffe, die der Systemnatur gerechter werden.
Der Phasenraum bezeichnet die Gesamtheit aller möglichen Systemzustände; eine Trajektorie beschreibt die zeitliche Bewegung des Systems durch diesen Raum. Ein Attraktor ist ein Bereich, zu dem das System langfristig tendiert. Wichtiger, im Klima existieren zahlreiche Subattraktoren – stabile Konfigurationen einzelner Komponenten wie Ozeanzirkulation, Eisverteilung oder atmosphärische Muster.
Störungen führen in komplexen Systemen nicht zum abrupten und irreversiblen Übergang, sondern zu transienten Zuständen, in denen sich das System neu ordnet, bevor es wieder in einen stabileren Bereich zurückkehrt. Diese Relaxationsbewegung entspricht dem, was als „Momentum“ interpretiert werden kann. Rückkopplungen, sowohl positive als auch negative, prägen die Geschwindigkeit und Richtung dieser Einschwingprozesse.
Schwellen im Klimasystem lassen sich präziser einteilen, dynamische Schwellen beschreiben Bereiche, in denen Prozesse verstärkt oder beschleunigt ablaufen, ohne dass die langfristige Stabilität betroffen wäre; modale Schwellen führen temporär in andere Regime, von denen das System aber später zurückkehren kann; nur echte Bistabilität – ein theoretischer Spezialfall – würde einen echten Kipppunkt erzeugen. Die sogenannten Klimakipppunkte fallen in die ersten beiden Kategorien, nicht in die dritte.
(M)Eine vereinfachte mathematische Struktur
Das Klima lässt sich mathematisch als nichtlineares dynamisches System beschreiben:
dT/dt = f(T, λ)
wobei T den Systemzustand beschreibt und λ externe Forcings wie CO₂-Konzentration oder Sonneneinstrahlung darstellen. Attraktoren sind in diesem Rahmen Gleichgewichtsbäume des Systems, zu denen Trajektorien konvergieren.
Ein „Kippen“ im streng mathematischen Sinn erfordert eine Bifurkation – eine strukturelle Veränderung der Gleichgewichtslandschaft. Während vereinfachte Modelle solche Bifurkationen zeigen, sind sie in hochdimensionalen realen Klimamodellen nicht identifizierbar. Der Grund ist, reale Klimadynamik ist durch Multiskalenprozesse geprägt – Atmosphäre, Ozean, Eis und Biosphäre reagieren auf sehr unterschiedlichen Zeit- und Raumskalen. Diese Überlagerung verhindert saubere, irreversibel erscheinende Sprünge und erzeugt stattdessen komplexe Hysterese- und Trägheitsphänomene.
Als Beispiel für ein einfaches Mehr-Attraktor-Modell
Ein exemplarisch vereinfachtes Modell zur Illustration mehrerer Attraktoren kann man beschreiben als:
dT/dt = F – T – γ tanh(kT)
Hier ist F ein externes Forcing, T die normierte Temperaturabweichung, der lineare Term -T wirkt dämpfend, während -γ tanh(kT) die nichtlineare Rückkopplung repräsentiert. Die Gleichgewichtslösungen ergeben sich aus:
0 = F – T – γ tanh(kT)
Je nach Parameterwahl existieren eine, zwei oder drei Lösungen – also unterschiedliche Attraktoren. Bei langsam veränderten Forcing-Werten kann das System zwischen diesen Lösungen springen. Das sieht wie ein Kipppunkt aus, ist aber nichts anderes als der Übergang zwischen zwei stabilen Regimen. Wird das Forcing zurückgeführt, wird das System über Hysterese wieder in den ursprünglichen Zustand wechseln – allerdings auf anderem Weg und anderer Schwelle.
Das Modell soll illustrieren, sogenannte Kipppunkte sind nichts weiter, als Erscheinungen eines multistabilen Systems, nicht irreversible Einbahnübergänge.
Schlussfolgerung daraus
Die Vorstellung irreversibler Kipppunkte ist in der öffentlichen Klimadebatte ein politisches, rein rhetorisches Instrument, kein adäquates Abbild der realen Systemdynamik des Klimas. Das Klima ist ein Ensemble verschachtelter Subsysteme, die sich ständig neu einschwingen, transient reagieren und langfristig immer in Attraktorkorridoren verbleiben. Die Kombination aus Rückkopplungen, Trägheit und Multiskalen-Dynamik verklärt scheinbare Kipppunkte als politisch-normale Ausdrucksform eines hochkomplexen Systems. Eine beobachtete dramatische Veränderung mag ein modaler oder dynamischer Schwellenprozess sein – aber ein echter Kipppunkt im streng mathematischen Sinn ist es nicht.
Ein systemtheoretisch fundierter Blick zeigt, wir haben es nicht mit einem fragilen, an schmalen Rändern balancierenden Klima zu tun, sondern mit einem äußerst robusten, aber temporär empfindlichen Netzwerk, das uns durch seine Komplexität verpflichtet, präziser zu denken als in der politisierten Sprache einfacher Kipppunkte- Akrobaten.
Dass das Klima sehr robust ist, liegt am Wort Klima selbst. Ist es doch nur ein theoretischer Wert, ein rechnerischer Durchschnitt der Mess- und Falschwerte eines Zeitraumes von 30 Jahren.
Für meinen Spott ist das Thema immer gut. 😊
Es geht dabei ja auch hauptsächlich um die Kippelproblematik, was anderes habe ich damit weder hervorheben noch bezweifeln wollen.
Es gibt keine Kippunkte, die existieren nur in Modellen.
Was anderes habe ich ja auch nicht behauptet, zudem nur in vereinfachten Modellen.
In Erwartung der Tatsache das uns diese Frage demnächst verstärkt ankippeln wird, habe ich meine Obsidian-Daten dazu um die relevanten Referenzen erweitert.
Diese Woche findet ja ein Treffen aller AR7-Autoren in Paris statt um die heiße Phase der nächsten Hiobsbotschaften einzuläuten. Und da sich ja schon rumgesprochen hat das einige wesentliche Posten der Autorenschaft mit über 20 Vertretern der Kippel-Gilde besetzt sind werden wir wohl damit rechnen dürfen, das die Tipping-Points den apokalyptischen Reiter, frei nach John Gottman Modell der vier destruktiven Kommunikationsmuster in Diskussionen mit Kritikern: polemische Antikritik, Verachtung, dogmatische Rechtfertigung und faktisches Mauern, der Sachstandsberichte repräsentieren werden.
Also gilt es sich ausreichend zu rüsten, denn dabei geht es weniger darum die Kipppunkt-Narrative polemisch zu attakieren, sondern diese mit dem Skalpell der begrifflich präzisen, systemtheoretisch klar und literaturfundierten Argumentation sauber zu zerlegen um den Totenschein auszustellen.
Falls Interesse besteht, kann ich diese Referenzliste mit kurzen Zusammenfassungen hier gerne noch posten.
Moritz Steinmetz 1. Dezember 2025 13:39
„kann ich diese Referenzliste mit kurzen Zusammenfassungen“
Die Referenzliste wird wahrscheinlich die Aussagen von Phantasten wie Ihnen wiedergeben – mit ordentlicher Physik dürfte das kaum etwas zu tun haben.
Fragen sie doch nach der Referenz und pruefen sie es!
Guterres ist ein Sozialist. Die wollen mit Hilfe dieser Klimareligion den weltumfassenden Sozialismus einführen. Eigentums- und Freiheitsrechte gehören abgeschafft, die totale Überwachung und Kontrolle eingeführt. Finanziert über diese CO2 Hypothese und der CO2 Besteuerung. Ganz einfach nicht mitmachen und jeden, der mit diesem Märchen kommt, auslachen.
Hawaii hat laut Google KI nur eine Erwärmung von 0,5 °C von 1914-1916. Weil die Ozeane soviel Wärme aufnehmen und der Ozean noch mehr CO2 schlucken als abgeben.
Interessant.
Korrekt. Und, der Globus erwärmt sich unterschiedlich. Im Süden gar nicht, im Norden etwas mehr.
Das finde ich gut.
Oder wenn der Ozean waermer wird, weniger CO2 schluckt oder „extra“ CO2 abgibt!
Zur Abwendung der Kippunkte sollen die reichen Staaten 1,3 Billionen Dollar an arme Zahlen, meint Guterres. Dann ist seine Welt wieder in Ordnung, wie es scheint.
https://tkp.at/2025/11/06/uno-chef-guterres-fordert-13-billionen-subvention-fuer-die-klima-industrie/
Man sollte dem Guterres sagen, daß die Erde rund ist, die kann nicht kippen, bestenfalls wegrollen …
Ich frage mich immer, der Alt-Kommunist muss doch permanente Schlafprobleme haben. Entweder weil er vor Lachen nicht in den Schlaf kommt angesichts der Tatsache das es Medien gibt die seinen Unsinn für bare Münze nehmen. Oder eben tatsächlich wegen Angstzuständen das da was kippelt und ihn erschlagen könnte. So genau weiß man das ja nicht, aber daran wird sich wohl bis zu seinem Abgang nichts wesentliches mehr ändern, was hat er denn sonst im Ergebnis seiner Amtszeit vorzuweisen, die Zunahme von kriegerischen Handlungen scheint ihn ja nicht wirklich zu beeindrucken? 🙁