Richtigstellung nach der Konfusion durch die tendenziöse und irrige Interpretation des atmosphärischen Gleichgewichts unter dem Einfluss der Schwerkraft
Der Treibhauseffekt gilt inzwischen als „wissenschaftliche Tatsache“, weil ihm Millionen von Menschen und insbesondere die selbsternannten Klimaspezialisten des IPCC, viele politisierte NGOs und besonders in Europa viele Umwelt- und Energieminister anhängen.
Die Hypothese der Klimaerwärmung stützt sich auf zwei Dogmen: den Treibhauseffekt und die Beteiligung des CO2 daran. Ich finde es überraschend und beunruhigend, dass diese „wissenschaftliche Tatsache“ sich mit keinem der allgemein anerkannten Grundprinzipien der Physik wie der Thermodynamik oder dem Gravitationsgleichgewicht der Atmosphäre erklären lässt. Ich möchte mich mit dem zuletzt genannten Prinzip beschäftigen, denn eine irrige Interpretation des Gravitationsgleichgewichts der Atmosphäre hat zur Formulierung der Theorie vom Treibhaus Atmosphäre und der schädlichen Rolle des CO2.
Ich möchte also nicht das thermische und radiative Gleichgewicht der von der Sonne beschienenen Erde behandeln, die durch die Gleichungen von Planck und Stefan-Boltzmann über schwarze Körper erklärt werden, sondern nur die Verwirrung, die durch eine tendenziöse Interpretation des atmosphärischen Gleichgewichts unter dem Einfluss des Gravitationsfeldes der Erde entstanden ist.
Nur wer den Einfluss der Schwerkraft leugnet und die Beobachtungen von Newton und Galilei zurückweist, kann die folgenden Fakten übersehen: Die Atmosphäre wiegt im Durchschnitt auf Meereshöhe etwa zehn Tonnen je Quadratmeter. Mit minimalen Abweichungen von diesem Mittelwert beschäftigen sich die Meteorologen, denn es handelt sich dabei um Hoch- und Tiefdruckgebiete und die mit Luftdruckunterschieden verbundenen Wetterphänomene. Es geht dabei um Schwankungen in der Größenordnung von höchstens 3 Prozent. Das mag vernachlässigbar erscheinen. Da aber riesige Luftmassen im Spiel sind, fällt das doch ins Gewicht. Die Dichte und die Temperatur der Luft nehmen bekanntlich nach oben hin ab. Jeder Bergwanderer spürt das am eigenen Leib. Die Kompression der Atmosphäre durch die Schwerkraft ist also verantwortlich für die Verteilung der Temperaturen in der ganzen Troposphäre, die am Äquator bis in 17 Kilometer Höhe reicht. Oberhalb von dieser Grenze sorgt die Ionisierung der immer spärlicher werdenden Gasmoleküle durch den Sonnenwind und die kosmische Strahlung dafür, dass die bekannten physikalischen Gesetze über das Verhalten idealer Gase nicht mehr gelten.
Die einfache Beziehung zwischen der Höhe, der Dichte und der Temperatur der Luft wird in der Physik durch den adiabatischen Gradienten ausgedrückt. Dieser drückt aus, dass die trockene Luft sich auf 1.000 Meter Höhe um 9,8 und die feuchte Luft aufgrund der großen thermischen Trägheit des Wasserdampfes lediglich um 6,5 Grad Celsius abkühlt.
Ich erinnere daran, dass die Erde sich thermodynamisch wie ein schwarzer Körper mit einer Temperatur von minus 18 Grad Celsius verhält. Diese Temperatur finden wir auf einer mittleren Höhe von 5.000 Metern. Wenn wir den adiabatischen Gradienten anwenden, finden wir auf Meereshöhe eine Durchschnittstemperatur von 14,5 Grad Celsius. Das wird durch Beobachtungen bestätigt. Wenn wir uns den Polen nähern, nimmt die Durchschnittstemperatur selbstverständlich wegen der geringeren mittleren Sonneneinstrahlung ab. Aber der adiabatische Gradient gilt auch dort. In den Wüsten liegt die Temperatur wegen der geringen Luftfeuchtigkeit am Tag über, bei Nacht aber unter dem Mittelwert.
Die Verfechter der Treibhaustheorie verweisen nun auf die Beobachtung unseres Nachbarplaneten Venus. Aus mehreren Gründen ist aber der Vergleich von Erde und Venus irreführend.
Die Umlaufbahn der Venus liegt näher zur Sonne. Venus erhält also mehr Strahlungsenergie als die Erde. Da sie aber gleichzeitig wegen ihrer dichten Wolkendecke eine größere Albedo hat, also mehr Sonnenstrahlen reflektiert als die Erde, spielt ihre größere Nähe zur Sonne keine so große Rolle. Was aber ins Gewicht fällt, ist die sehr viel größere Dichte ihrer Atmosphäre, die größtenteils aus dem schweren Gas CO2 besteht. Diese ist ungefähr 92mal so hoch wie die der Erde. Der atmosphärische Druck beträgt dort 920 Tonnen je Quadratmeter (wie auf der Erde in 1.000 Meter Meerestiefe). Aber der adiabatische Gradient gilt auch auf der Venus. Die Temperatur nimmt auch dort um etwa 9 Grad Celsius je 1.000 Höhenmeter ab.
Da die Dichte der Venus-Atmosphäre jedoch am Boden etwa 95 Kilo je Kubikmeter beträgt, ergibt sich bei der Anwendung des gleichen Gesetzes der adiabatischen Kompression eine Temperatur von 465 Grad. Temperaturen um Null Grad finden sich auf der Venus erst in 50 Kilometer Höhe. Schließlich darf man nicht vergessen, dass ein Tag auf der Venus so lange dauert wie 243 Tage auf der Erde. Starke Konvektionsströme und Stürme sorgen aber für einen guten Temperaturausgleich zwischen Tag- und Nachseite des Planeten. Deshalb ist es nicht gerechtfertigt, von einem Treibhauseffekt auf der Venus zu sprechen. Der Planet befindet sich vielmehr in einem Strahlungsgleichgewicht mit dem Weltraum. Nur sind dessen Parameter andere als die der Erde. Gäbe es auf der Venus einen durch CO2 verursachten Treibhauseffekt, hätte der Planet längst schmelzen und verdampfen müssen. Stattdessen gibt es darauf der Berge und Ebenen und sogar Vulkane wie auf der Erde – und vielleicht sogar Seen aus überkritischem CO2.
Von daher lässt sich begreifen, warum der vor allem vom NASA-Forscher James Hansen für die Erklärung des Treibhauseffektes bemühte Vergleich zwischen Erde und Venus hinkt. Die Atmosphäre der Venus besteht zu 95 Prozent aus CO2, der Rest aus Stickstoff und Spuren von Schwefeldioxid. Zu Unrecht haben James Hansen oder Al Gore Kritikern entgegnet: „Schauen Sie doch, was auf der Venus los ist!“ Denn nicht wegen des CO2 herrscht auf der Venusoberfläche eine Temperatur von 465 Grad. Diese ergibt sich allein aus der Anwendung fundamentaler Gesetze der Thermodynamik und der Physik idealer Gase. Die Treibhaustheorie widerspricht hingegen den fundamentalen Prinzipien der Physik.
Ich frage mich daher, warum es niemand wagt, den Vertretern der Treibhaustheorie die Stirn zu bieten. Stattdessen folgen die Regierungen blind den vom IPCC und von grünen NGOs vorgerechneten Extrapolationen. Sie schämen sich nicht, offen malthusianistisch zu argumentieren und drohen damit, etliche Länder in die ökonomische und soziale Katastrophe zu führen.
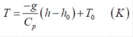
Für Neugierige bringe ich hier die Gleichung des adiabatischen Gleichgewichts. Der thermodynamische Zustand einer Luftsäule lässt sich vereinfacht folgendermaßen umschreiben:

Dabei ist U die Gesamtenergie, Cp die thermische Kapazität der Atmosphäre (1004 joules/kg/Grad K für trockene Luft, 1012 für feuchte Luft mit durchschnittlich 0,25 % Wasserdampf), T die Temperatur des Abschnitts der Luftsäule (in Grad Kelvin), g die Erdbeschleunigung und h die Höhe in km. Leitet man diese Gleichung ab, erhält man:

(ausgedrückt in K/km). Hier taucht der Term g/Cp, genannt « Adiabatischer Gradient », auf. Dieser beschreibt das Gleichgewicht zwischen dem Druck und der Temperatur der Atmosphäre. Wir können diese Differentialgleichung folgendermaßen umformen:
![]()
Da g und Cp positive physikalische Größen sind, sieht man sofort, dass die Verteilung der Temperaturen im Schwerefeld der Erde, wie auch im Schwerefeld beliebiger Planten mit einer Gashülle, mit der Höhe abnimmt.
Die letztgenannte Gleichung kann aufgelöst werden, indem man für h0 die Meereshöhe und für T0 die entsprechende Temperatur einsetzt:

Man findet dann leicht die Bodentemperatur (h0 = 0), indem man in die Gleichung die Höhe von 5 Kilometern für die Isotherme von -18 °C einsetzt, die dem Strahlungsgleichgewicht des Systems Erde-Atmosphäre (nach den Gesetzen von Stefan-Boltzmann) entspricht:
t = – 6,5 (h – 5) – 18 = 32,5 – 18 = 14,5 Grad Celsius. Der Faktor 6,5 entspricht der thermischen Kapazität der mit Wasserdampf beladenen Luft. Der mittlere Wasserdampfgehalt der Atmosphäre liegt ungefähr bei 0,25 Prozent.
Gäbe es in unserer Atmosphäre einen Treibhauseffekt, dann müsste an erster Stelle der Wasserdampf dafür verantwortlich sein. Es gibt in der Atmosphäre 600mal mehr Wasserdampf als Kohlenstoffdioxid. Diesen Faktor 600 muss man noch einmal mit 5 multiplizieren, denn die thermische Kapazität des Wassers liegt bei 4.180 joule/kg/°K gegenüber nur 840 joule/kg/°K für CO2. Wasserdampf besäße also ein 3.000mal so starkes „Treibhauspotenzial“ wie CO2. Wäre unsere Atmosphäre tatsächlich ein Treibhaus, wären die Ozeane längst verdampft. (Übersetzung: Edgar L. Gärtner)
*) Original erschienen im französischen Magazin Contrepoints am 5. November 2014
Über den Autor
Jacques Henry ist Biologe. Er arbeitete lange Jahre als Forscher beim CNRS (Centre National de Recherche ScientifiqueI, dem franz. Partner der Max-Planck-Gesellschaft, Henry hat danach als Berater für die Nuklearsparte von Electricité de France (EdF) gearbeitet und befindet sich jetzt im Ruhestand.















Wir freuen uns über Ihren Kommentar, bitten aber folgende Regeln zu beachten:
- Bitte geben Sie Ihren Namen an (Benutzerprofil) - Kommentare "von anonym" werden gelöscht.
- Vermeiden Sie Allgemeinplätze, Beleidigungen oder Fäkal- Sprache, es sei denn, dass sie in einem notwendigen Zitat enthalten oder für die Anmerkung wichtig sind. Vermeiden Sie Schmähreden, andauernde Wiederholungen und jede Form von Mißachtung von Gegnern. Auch lange Präsentationen von Amateur-Theorien bitten wir zu vermeiden.
- Bleiben Sie beim Thema des zu kommentierenden Beitrags. Gehen Sie in Diskussionen mit Bloggern anderer Meinung auf deren Argumente ein und weichen Sie nicht durch Eröffnen laufend neuer Themen aus. Beschränken Sie sich auf eine zumutbare Anzahl von Kommentaren pro Zeit. Versuchte Majorisierung unseres Kommentarblogs, wie z.B. durch extrem häufiges Posten, permanente Wiederholungen etc. (Forentrolle) wird von uns mit Sperren beantwortet.
- Sie können anderer Meinung sein, aber vermeiden Sie persönliche Angriffe.
- Drohungen werden ernst genommen und ggf. an die Strafverfolgungsbehörden weitergegeben.
- Spam und Werbung sind im Kommentarbereich nicht erlaubt.
Diese Richtlinien sind sehr allgemein und können nicht jede mögliche Situation abdecken. Nehmen Sie deshalb bitte nicht an, dass das EIKE Management mit Ihnen übereinstimmt oder sonst Ihre Anmerkungen gutheißt. Wir behalten uns jederzeit das Recht vor, Anmerkungen zu filtern oder zu löschen oder zu bestreiten und dies ganz allein nach unserem Gutdünken. Wenn Sie finden, dass Ihre Anmerkung unpassend gefiltert wurde, schicken Sie uns bitte eine Mail über "Über Uns->Kontakt"Hallo Hr. Dr. Paul und Hr. Gojowy,
wie würde sich denn die Weinballons verhalten, wenn man im einen Weinballon die Gasmenge und damit den Druck verdoppelt?
Würde die doppelte Masse mehr Energie speichern können?
Wenn die Masse in der Atmosphäre Wärme speichert , gibt es dann nicht doch ein AGW, wenn der Mensch durch die Erhöhung von CO2 die Dichte erhöht?
Mit freundlichen Grüßen
#141, Kommentar Lüdecke
Lieber Herr Lüdecke,
ich habe die von Ihnen genannten Literaturstellen vorher schon gelesen, und ich habe sie auch verstanden, bleibe aber bei meinen Zweifeln. Ich kann die Abhandlungen als „best possible approach“ akzeptieren. Mir ist es schon immer weitgehend egal gewesen, was die Leute von mir denken, ich nehme eh nur wenige Leute oder Kollegen ernst. Letztlich laufen Sie aber auch einem Konsens hinterher. Der Konsens lautet: „Ja, es gibt einen natürlichen Treibhauseffekt, ja, es gibt einen gewissen anthropogenen Treibhauseffekt, aber er ist klein.“ Und damit sitzen Sie eben in der Falle. Solange es auch nur einen kleinen menschengemachten Treibhauseffekt gibt, kommt als nächste Frage: „Sind Sie sicher, dass dieser keinen Effekt auf den Meeresspiegelanstieg haben wird?“. Egal, was Sie antworten, Sie werden in die Ecke gedrängt und werden eben „als Leugner auf die Deiche geführt“. Oder die Taktik wird wie in Australien geändert, und die Leute werden mit der Versauerung der Ozeane unter Druck gesetzt. Immerhin, da kann man sogar noch etwas rechnen. Dann stelle ich mich lieber auf die Seite von Gerlich (RIP) und Tscheuschner, es ist ja hinreichend bekannt, was in dem Artikel steht, weniger leider, was in dem Reply steht. Gerlich sagte mir auch wörtlich: „Und wenn es ein wenig wärmer werden sollte, wo ist das Problem ?“. In diesem Punkt stand er Ihnen vielleicht näher als Sie wissen.
Ich habe in meinen Vorträgen und Vorlesungen experimentiert, wie ich den CO2-Treibhausschwindel am besten vermittele. Ich habe die Argumentation von G&T probiert, aber auch Ihre bzw. die einiger EIKE-Mitglieder mit dem sehr kleinen CO2-THE, der im Rauschen untergeht. Das Ergebnis ist dasselbe. Es steht immer einer empört auf und bezeichnet mich als Leugner des schmelzenden Grönlandeises usw.. Daher ist es völlig egal, wie man argumentiert. Ich probiere demnächst bei einer größeren Veranstaltung eine neue Strategie aus, indem ich Ihre Konsens-Haltung und die von G&T (inkl. des Wikipedia-Eintrags über Herrn Gerlich) vorstelle und meinen Zuhörern sage, dass sie selber entscheiden müssen. Ferner werde ich das Argument von Herrn Düpmann in den Vortrag einbauen, denn wenn wir wirklich kurz vor der Klimakatastrophe stehen, muss die Menschheit unverzüglich mit dem Bau von 10.000 Kernkraftwerken beginnen. Ich ergänze sein Argument lediglich dahingehend, dass in 30 Jahren der Übergang zur Generation 4 geschafft sein sollte, dann gibt es aus unserer Sicht Energie für die „Ewigkeit“.
Lassen Sie es bitte, Leuten, die Ihre Meinung nicht teilen, zu unterstellen, sie verstehen nichts von Physik. Dass ich mich in Physikalischer Chemie gut auskenne, sollten Sie wissen, und auch in der Physik bin ich eher nicht blöde. Sie wissen, wo Sie recherchieren müssen. Das macht Ihre Haltung leider auch nicht glaubwürdiger. Da die Deutschen ja an WIKIPEDIA glauben, wird sich der Durchschnittswähler bei dem Wikipedia-Eintrag über EIKE sowieso schnell von EIKE distanzieren. EIKE gilt in der öffentlichen Wahrnehmung als Leugner-Bande, NAEB als Atomkraftbefürworter-Bande. Vernunftkraft scheint bisher gut akzeptiert zu werden, die Leute gehen auch sehr clever vor, indem sie versuchen, nicht zu polarisieren. Wahrscheinlich werden die NIMBY´s am ehesten noch den Ausbau der Windkraft und den Niedergang Deutschlands verhindern, zumindest aber verzögern.
Die Indoktrination ist in diesem Sch….-Land schon so weit fortgeschritten, dass zumindest meine Scham, Bürger dieses Landes zu sein, ziemlich tief sitzt. Wäre ich 20 Jahre jünger, würde ich mich so schnell wie möglich aus dem Staube machen. Ob das in 20 Jahren ab heute noch sinnvoll ist, hängt von vielen Faktoren ab.
Ich bin gerade im Ausland in einem Land, in dem man von dem CO2-Schwindel wenig hält. Es ist so erfrischend, mal mit Leuten reden zu können, die über die Deutschen nur noch den Kopf schütteln können. Schade, dass ich in ein paar Tagen wieder zurück nach Deutschland muss, ich fliege nicht mal mehr Lufthansa, ich distanziere mich mehr und mehr von Deutschland.
Sie schreiben „Ich habe in meinen Vorträgen und Vorlesungen experimentiert, wie ich den CO2-Treibhausschwindel am besten vermittele. Ich habe die Argumentation von G&T probiert, aber auch Ihre bzw. die einiger EIKE-Mitglieder mit dem sehr kleinen CO2-THE, der im Rauschen untergeht. Das Ergebnis ist dasselbe. Es steht immer einer empört auf und bezeichnet mich als Leugner des schmelzenden Grönlandeises usw.. Daher ist es völlig egal, wie man argumentiert.“
Meiner Meinung ist das doch recht einfach: Einfach mal fragen, warum man sich auf CO2 monothematisiert stürzt, während die Auswirkungen der Massentierhaltung und den dort entstehenden Treibhausgasen in der öffentlichen Wahrnehmung und Berichterstattung quasi völlig aussen vorgelassen werden. https://www.google.com/search?client=firefox-b-d&q=massentierhaltung+klima
https://www.google.com/url?sa=t&rct=j&q=&esrc=s&source=web&cd=6&cad=rja&uact=8&ved=2ahUKEwik0uCm9sjhAhXiMewKHbf1ATYQFjAFegQIAhAB&url=https%3A%2F%2Fwww.simply-live-consciously.com%2Fdeutsch%2Fern%25C3%25A4hrung-umwelt%2F51-der-treibhausgase%2F&usg=AOvVaw0ZDKL0At-4kqX0c0br0YQ3
Bitte hier nur unter vollem Klarnamen posten, siehe Regeln.
zu #153 Pseudonym Dr. Paul, Admin
der geöschte Beitrag #141 vom Pseudonym G. Innerhofer ist doch nun der klassische Fall, wie „Gläubige“ der einzig wahren Lehre arbeiten, wenn es denen darum geht „Ketzer“ zu diffamieren. Ich halte solche Beispiele für durchaus erhaltenswert.
#155: Zitat (#142): „[…] Publizieren Sie doch ihre wertvollen Erkenntnisse in einem Fachjournal, dann reden wir gerne über Ihre tollen Erkenntnisse.“
Verehrter Herr Greg House. Nein, Sie sind nicht die einzige Person und vieles was da gesagt wurde ist unterirdisch. Wenn ein Hohepriester der einfältigen und einseitigen Kirche der Physik sich derart zu Wort meldet, dann wird es gefährlich. Abgesehen davon, ist das herausgefischte Zitat falsch. Interessant ist was der Autor weglässt, also nicht sagen will, verheimlicht. Auch er ist keine Autorität. Tut weh, ist aber so. So viel verschwendete Mühe und nix Wissenschaft, sondern Pseudo[..]
Fachjournal? :))))) Böser Witz? Wenn man nicht richtig denken kann oder will, einem die Argumente ausgehen, taucht am Ende der Sackgasse das (oft korrupte) Fachjournal auf. Der arme Herr Schlohr. Kopf hoch, Sie sind in Wahrheit geadelt worden. 🙂
Mit ernsten und humorvollen Grüssen (auch an den irrenden Admin)
@ #152 M. Landvoigt
„Ein wissenschaftlicher Beirat könnte dann auch keine graße Transformation fordern“
Um die von Ihnen genannte Forderung platt zu machen, benötigt unsereiner nun nicht die Wissenschaftstheorie. Was meinen Sie denn, womit unsereins derlei unsinnige Forderungen platt machen würde, wenn unsereins es denn sollte und wollte? Irgendeine Idee, Herr Landvoigt?
„aber auch weit Teile der theoretischen Physik, String-Theorien und Evolutionstheorien würden sie als nicht überprüfbar als unwissenschaftlich verwerfen.“
Wie kommen Sie denn darauf? Empirie ist nach der Wissenschaftstheorie nicht erforderlich, um einen Beweis zu erbringen.
„In den Sozailwissenschaften wurde dies auch weitgehend abgelehnt.“ Das altbekannte Problem des Konsens, der wissenschaftlich keinen Beweiswert hat.
„Denn weite Teile des allgemeinen Verständnisses passen nicht dazu.“
Siehe Religion, da paßt vieles oder genau gesagt nichts zueinander. Aber fragen Sie mal einen Millionär nach der Bedeutung des Geldes und einen Priester nach der Bedeutung seiner Religion. Das führt dann zu den Methoden der empirischen Sozialforschung und deren Beweiswert. Läßt sich aber wissenschaftstheoretisch einwandfrei lösen.
#144: „Sie schreiben schön im Konjznkteiv ‚Wenn … man zuschreibt‘ – Aber warum sollte man? Die Daten geben diesen Schluss nicht her. Dann gibt es auch keinen Grund, eiem AGW-Alarmismus zu glauben.“
Sehr geehrter Herr Landvoigt, lassen wir einfach mal den ganzen AGW-Alarmismus weg, er war nicht Inhalt meines Beitrages. Die Ansichten und Erklärungen zu der Strahlungsbilanz der Erdatmosphäre (sorry, dass ich in #128 die Mehrzahl verwendet habe, das war natürlich unsinnig, es gibt nur eine Bilanz) von Prof.Lüdecke dürfte Ihnen bekannt sein. Genauso, dass er die Steigung des CO2 in der Atmosphäre für real und anthropogen verursacht hält. Somit beantwortet sich Ihre Frage „Aber warum sollte man?“. Und ihren Beiträgen entnehme ich mal, dass Sie da nicht viel anders denken.
Der Schluss ergibt sich daraus, dass ein Vorgang zu beobachten ist (Steigung von CO2 in der Atmosphäre) und dessen Hauptursache bekannt ist (anthropogen) und es einen Effekt in der Strahlungsbilanz der Atmosphäre bei mehr CO2 gibt, der sich u.a. durch eine höhere Globaltemperatur (Gebietsmittelwert) auswirkt. Daraus ergibt sich zwangsläufig einen anthropogenen Einfluss des Menschen auf Klimavorgänge. Die Messbarkeit, dass weiß man u.a. aus der Signalverarbeitung, ergibt sich meistens aus der Länge des Beobachtungszeitraumes. Mittlerweile ist ein Zuwachs von 280 auf 400 ppm in der Atmosphäre erfolgt. Selbst bei „konservativen“ Schätzungen der Klimasensitivität ist ein entsprechender Effekt bei großen Zeiträumen messbar, dass gibt das Signal-Rausch-Verhältnis schon her.
„Das Problem ist zwar richtig, dass ein Laie viele Fragen nicht sachkundifg entscheiden kann. Kann es aber ein Fachmann?“
Selbst die können es nicht immer.
„Die Tatsache. dass es auch unter Fachleuten divergente Meinungen gibt, zeigt lediglich, das es auch viele Fragen gibt, die sich mit den Mitteln der Wissenschaft heute nicht so leicht lösen lassen.“
Da stimme ich Ihnen absolut zu.
Zu Ihrer wesentlichen Frage „Was aber folgt daraus?“. Ja, das ist eben die Kunst im Leben und eine überaus spannende Frage. Ich sehe das genauso wie Sie, es gibt da keinen Königsweg. Vor allem, es gibt keine einfache Antwort, aber genau die erwartet eine Gruppe von Menschen. Sobald Ihnen die Wissenschaft andeutet, ‚Leute, so einfach ist das nicht‘ deuten viele das als Wischi-Waschi oder misstrauen der Wissenschaft allgemein. Es wäre ja schon viel erreicht, wenn jeder für sich mal die Punkte 1. bis 6. durchgeht und sich selber fragt, wie man darauf antworten würde.
„Was erwarten sie denn? Dieser Effekt ist auch bei den AGW-Hysterikern in größerem Umfang zu beobachten. Wenn sie sich vor Wirrkopfen schützen wollen, müssen Sie sich völlig isolieren und ein rigides Regime führen. Da ist mir der Plauralismus, einschließlich seiner Schattenseiten, lieber.“
Was ich erwarte? Zum einen eine ernsthafte Auseinandersetzung mit dem Thema und eine klare Positionierung der Leute, die es eigentlich besser wissen müssten. Von Wirrköpfen im eigenen Lager kann man sich distanzieren. Selbst ein Hans-Olaf Henkel in der AfD macht das vor. Und es sollte klar sein, wissenschaftliche Aussagen sind nicht wie politische Meinungen verhandelbar. Man kann da nicht sagen, wenn Du für mehr Kernkraft bist, dann akzeptiere ich es auch, dass Du die atmosphärische Gegenstrahlung für Quatsch erklärst.
Pluralismus in der Wissenschaft wird schnell als, jeder darf zu Sachfragen seine eigene Meinung haben und sie sind alle gleichrangig, missverstanden. Vereinfacht ausgedrückt, 2+2=4 und 2+2=5 ist auch eine Form von Pluralismus, die aber der Wissenschaft nicht dienlich ist.
#155: Greg House sagt:
“ #142 Kommentar: „Lieber Herr Schlohr,
im vielen Punkten stimme ich Ihnen zu, in einigen nicht: zum TE per se gibt es zu viele Messungen, …
… sich über einen Effekt zu streiten der nicht messbar ist, halte ich für nutzlos“
=========================================
Bin ich der einzige hier, der diesen Widerspruch gemerkt hat? “
Lieber Greg House,
genau das ist es, was die Treibhausgläubigen so unglaubwürdig macht:
Erst Behauptungen aufstellen und drei Sätze später das Gegenteil behaupten.
Und dann beschwert man sich hier, daß die „Skeptiker“ unbelehrbar sind.
Zum totlachen, wenn’s nicht so traurig wäre
MfG
#147: Michael Krüger sagt:
„Schon seit über 100 Jahren ist bekannt, dass in der unteren Atmosphäre das LTE gilt (dh. Stoßdeaktivierung=Stoßaktivierung und Absorption=Emission) und die Strahlungstransfergleichung.“
Hallo Herr Krüger,
vielen Dank, daß Sie sich die Mühe machen zu antworten.
Es gibt physikalische Effekte, die eine Rolle spielen:
-die Thermalisierung. Sie findet statt, wenn die Zeit zur Reemission länger ist als die Zeit zwischen zwei Stößen und
– das Diagramm nach Jablonski. Dort können Sie ablesen welche Freiheitgrade des CO2-Molekuls existieren und unter welchen Bedingungen mit welchen Häufigkeiten eine bestimmte Form der „Entspannung“ des Moleküls eintritt.
Irgendwo weiter vorne in diesem Thread ist der Link zu einem Manuskript eines Professors von der Uni Freiberg, in dem die Vorgänge schön beschrieben sind.
#150:Aber, aber Herr Werner Kohl, versuchen Sie hier Taschenspieletricks???
Wenn schon falsch, müssen Sie entweder BEIDE Mondseiten berechnen,
oder BEIDE gemessenen Temperaturen des Mondes verwenden.
Merke:
die „berechnete“ ist immer falsch berechnet, wenn die Messung eine deutlich andere Temperatur zeigt.
Würde also bei Ihrer Messmethode eine Seite „alles“ bekommen, müsste die andere „nichts“ bekommen, also 0 K kalt sein.
Beide Seiten sind also von Ihnen (vorsätzlich) falsch zu niedrig berechnet,
sicher nur um das lächerliche Erdmodell von -18°C der Treibhausvertreter irgendwie zu retten.
Denken Sie schlicht an die Geschwindigkeit dieser Sonnenstrahlen.
Die Erde (Wüsten) wird am Tag nur deshalb nicht so heiß wie der Mond, weil die Oberfläche massiv Wärme an die vorhandene Atmosphäre darüber abgeben kann.
Diese bekommt sie in der Nacht größtenteils zurück.
Treibhausgase sind dafür nicht erforderlich,
sie könnten ja wahrhaftig nicht ausgerechnet nur am Tag kühlen.
mfG
#154:
Noch eine Ergänzung:
Die Berechnung für die Erde erfolgte nicht ohne Atmosphäre, sondern ohne Treibhausgase, aber mit der aktuellen Albedo. (Wieweit man dann noch von der Existenz von Wolken, polaren Eiskappen und Gletschern ausgehen kann, lassen wir mal beiseite.)
Durch die Atmosphäre und die relativ schnelle Rotation resultiert eine relativ geringe Differenz zwischen Tag- und Nachttemperatur, so dass man auch die Abstrahlung auf der Nachtseite berücksichtigen muss.
Beim Mond kann man die Nachtabstrahlung für die Bilanzrechnung in guter Näherung vernachlässigen.
Grund: Minimaler horizontaler Massenaustausch, schneller Temperaturverlust nach Sonnenuntergang und lange Dauer von Tag und Nacht sowie die T^4-Abhängigkeit der Strahlungsleistung.
#155: Greg House völlig richtig!
Wirklich ein sehr ärgerlicher Widerspruch,
1) die Nichtmessbarkeit eines Effektes zuzugeben
und
2) trotzdem seine Existenz zu behaupten.
Ergänzung zu Dietze,
das ideale Gasgesetz und seine Konsequenzen durch den Schwerkrafteinfluss (adiabatischen Druck- und Temperaturgradient) hat nichts mit einem Jaques Henry zu tun wie Dietze wiederholt fabuliert.
Die physikalische Geschichte beginnt vielmehr
1661 mit dem experimentellen Befund,
dass das Volumen einer bestimmten Gasprobe dem Druck umgekehrt proportional ist.
Anders formuliert:
p*V = konst.
Bei Gas ist also das Produkt aus Druck und Volumen immer konstant, allerdings bei gleicher Temperatur und gleicher Teilchenzahl der Gasmoleküle:
vermindert sich das Volumen, geht der Druck hoch
und umgekehrt
genannt das Boylesche Gesetz
http://tinyurl.com/mhrfoa7
Der lineare Zusammenhang zwischen Temperatur und Druck wurde ebenfalls sehr früh 1701 von Guillaume Amontons untersucht und nur durch die damit ermöglichte Extrapolierung auf den Gasdruck 0
wurde die ABSOLUTE TEMPERATUR 0 K =-273 °C gefunden und auch BIS HEUTE definiert.
Wer also wie Dietze und andere versucht, den Zusammenhang von Gasdruck und Temperatur zu leugnen,
befindet sich AUßERHALB der Physik, die man schon im Gymnasium lernen kann.
Deshalb hier noch ein Link für Herrn Dietze zum „idealen Gasgesetz“
http://tinyurl.com/lymjsxv
Sicher wird das nun auch wieder die Herren Innerhofer und Co ernsthaft erboßen.
Ich hoffe trotzdem auf Freischaltung.
mfG
#127: Herr P. Dietze hatte noch eine Frage gestellt, die gerne beantworte.
—–
p * V = n * R * T (ist nicht von Jaques Henry) daraus folgt T = (p*v)/(n*R)
„??Herr Dr. Paul, ich darf doch wohl davon ausgehen daß dieses Gesetz nach Ihrer Meinung ebenso für eine N2/O2-Atmosphäre gilt, deren Druck am Boden z.B. eine Temperatur von +15 Grad erzeugt. Der Boden würde dann im Mittel nur 240 W/m² von der Sonne und keine Gegenstrahlung erhalten, aber 390 W/m² gemäß Stefan-Boltzmann in den Weltraum strahlen. Wir hätten also ein energieerzeugendes Perpetuum Mobile.“
—–
Lieber Herr Dietze, selbstverständlich dürfen Sie davon ausgehen,
1) dass der Druck LINEAR von der Temperatur abhängt, das zeigt am besten die kinetische Gastheorie:
http://tinyurl.com/kgfccd2
auch für eine N2/O2-Atmosphäre.
Sie dürfen jedoch NICHT davon ausgehen,
2) dass deshalb ein Gasgesetz alleine eine Temperatur „erzeugt“ wie Sie leichtsinnig sagen.
Wie kommen Sie jetzt auf
„nur 240 W/m² von der Sonne“ ???
3) Mal davon abgesehen, dass Treibhausvertreter PERMANENT den Fehler mit der „Mitteltemperatur“ begehen, OWOHL sie doch unbedingt mit S&B rechnen wollen, bei dem die Temperatur in der 4.Potenz steht, rechnen Sie hier
4) mit einer Albedo von 30%, obwohl H2O und CO2 fehlt. Ein Blick auf ein Satellitenfoto
http://tinyurl.com/kqaog2o
zeigt doch, dass die Wolken (H2O), den größten Teil an dieser Albedo haben.
Lässt man diesen dominierenden Teil weg, kommt also schon mal MEHR SONNENWÄRME am Erdboden an
und die Atmosphäre darüber muss WÄRMER sein als mit diesen „Treibhausgasen“. Eigentlich verständlich, weil Wasser kühlt.
5) nun stört Sie noch die „zu hohe“ Abstrahltemperatur der Erdoberfläche?
Nochmal abgesehen von der falschen „Durchschnittstemperatur bei Berechnung einer Strahlungsleistung (Höldersche Ungleichung),
hilft hier ein Blick auf den Mond,
denn Überraschung!
auch er ist auf der Tagseite viel zu heiß!
bis über 130°C.
Gerechnet, wie von Ihnen vorgeschlagen mit S&B
wären das glatte 1500 W/m2!!!
Das geht doch gar nicht!
Von der Sonne kommen ja THEORETISCH MAXIMAL nur 1370 W/m2 rein, in Wirklichkeit noch weniger, denn auch der Mond hat eine nicht ganz unerhebliche Albedo, die kann man nacht bei Vollmond von der Erde mit bloßem Auge sehen!
Man rechnet so mit 10-15%, nehmen wir 12%,
dann sind es absorbierte 1205,6 W/m2,
aber nach S&B gerechnet strahlt der Mond NUR THERMISCH 1500 W/m2 ab?
Das wäre ja sogar eine Differenz von 294,4 W/m2???
also wo liegt der Fehler, Herr Fachmann Dietze?
Nun, der ist in beiden Fällen der gleiche,
weder die Erdoberfläche, noch die Mondoberfläche ist ein schwarzer Strahler.
Selbstverständlich strahlt der Mond einschließlich Reflexion (=Albedo) MAXIMAL so viel zurück, wie von der Sonne reinkommt
und weder die Erde noch die Mondoberfläche ist ein „schwarzer Strahler“.
Sie sehen daran, lieber Herr Dietze, dass Ihre „Berechnung“ eines CO2-Treibhauseffektes so viele katastrophale Fehler enthält, dass sich diese Theorie nicht mehr innerhalb der Physik befindet,
es ist Kindergartenniveau,
eine belanglose Spielerei mit Formeln ohne jeden Bezug zur Realität.
mfG
#154:
Sehr geehrter Herr Wehlan,
ist Ihnen das nicht klar?
Die abgestrahlte Energie geht mit der 4. Potenz der Temperatur. Auf der dunklen Seite „passiert“ – verglichen mit der Tagesseite – nichts.
#142 Kommentar: „Lieber Herr Schlohr,
im vielen Punkten stimme ich Ihnen zu, in einigen nicht: zum TE per se gibt es zu viele Messungen, …
… sich über einen Effekt zu streiten der nicht messbar ist, halte ich für nutzlos“
=========================================
Bin ich der einzige hier, der diesen Widerspruch gemerkt hat?
#151: Werner Kohl
Ist ja schön und grün, dass man – um ein gewünschtes Ergebnis zu erreichen nur über die halbe Fläche abstrahlen lässt. Warum soll man denn eine Erde ohne Atmosphäre anders behandeln als den Mond ? Auch die sonnenabgewandte Seite des Mondes strahlt Wärme ab. Sie kühlt sich ja nicht auf 3K ab.
Sehr geehrter Herr Limburg,
Eine höfliche Frage an sie.
Ist das das wahre EIKE-NIVEAU, das Ihre Billigung hat, weil es (ganz ohne sachliche Stellungnahme) GEGEN Treibhauskritiker gerichtet ist???
#141
mfG
#152: T.Heinzow sagt:
am Dienstag, 18.11.2014, 14:08
zu #145 m. Landvoigt
„Das einfache Prinzip der Wissenschaft, dass man eine Hypothese aufstellt und diese empirisch überprüft, ist in einigen Wissenschaften problematisch.“
==> Dann ist es keine Wissenschaft.
———————
Sehr geehrter Herr Heizow,
Mit diesem wissenschafttgheoretischen Ansatz könnten sie in der Tat Vieles aus der Klimadiskussion eliminieren: Ein wissenschaftlicher Beirat könnte dann auch keine graße Transformation fordern, aber auch weit Teile der theoretischen Physik, String-Theorien und Evolutionstheorien würden sie als nicht überprüfbar als unwissenschaftlich verwerfen. Man nennt diese Ansicht positivistisch. In den Sozailwissenschaften wurde dies auch weitgehend abgelehnt.
Auch wenn man damit sympathisieren kann, so ist man damit ziemlich einsam. Denn weite Teile des allgemeinen Verständnisses passen nicht dazu.
zu #145 m. Landvoigt
„Des einfach Prinzip der Wissenschaft, dass man eine Hypothese aufstellt und diese empierisch überprüft, ist in einigen Wissenschaften problematisch.“
==> Dann ist es keine Wissenschaft.
#91: Sehr geehrter Herr Wehlan,
Sie schreiben:
„Berechnet man die Durchschnitsstemp. des Mondes so wie man bei der Erde auf -18°C kommt,m dann müsste der Mond aufgrund der geringeren Albedo eine Temperatur von -3°C haben – hat er aber nicht. Sie liegt bei etwa -55°C. Da naturwissenschaftliche Gesetze überall gleich sein müssen, folgt daraus, dass auch die -18°C auf der Erde ohne Atmosphäre Unfug sind.“
Mir ist nicht ganz klar, welche Werte Sie für die Albedo und die Emissivität nehmen. Möglicherweise vernachlässigen Sie die Emissivität (setzen diese also auf 1) und setzen für die Albedo einen Wert um 0,12 an. Damit kommt man bei dem üblichen Ansatz nach Stefan-Boltzmann auf Ihre -3°C:
(1-0,12) * 1367 W/m² = 4 * 5,67 * 10^-8 * T^4
==> T = 270 K = -3°C
Wie kommt nun Wikipedia auf die -55°C?
In Ihrem Ansatz gehen Sie davon aus, dass über den Querschnitt des Mondes (r²Pi) Strahlung aufgenommen wird und über die Oberfläche (4r²Pi) abgestrahlt wird. Für den Mond stimmt das aber nicht. Es gibt so gut wie keinen horizontalen Wärmeaustausch, auf der Schattenseite wird die Wärme innerhalb kürzester Zeit abgestrahlt. Und nicht zu vergessen: Der Mondtag dauert über 29 Erdtage.
Der korrektere Ansatz (mit den obigen Annahmen für Albedo und Emissivität; auch nur eine grobe Näherung) geht davon aus, dass die Wärme auf der sonnenbeschienenen Seite abgestrahlt wird, also über die HALBE Oberfläche:
(1-0,12) * 1367 W/m² = 2 * 5,67 * 10^-8 * T^4
==> T = 321 K = +48°C
Dies ist – grob angenähert – die mittlere Temperatur auf der sonnenbeschienenen Seite.
Vermutlich kommen die -55°C aus der arithmetischen Mittelung 0.5*(-160°C + 48°C) = -56°C
Also ist Ihr Argument KEIN Widerspruch zu der mittleren Erdtemperatur ohne Treibhauseffekt von -18°C.
#141: Gunnar Innerhofer sagt:
„Quatsch, aber egal:
Dr. Paul, Dr. Stehlik, Dr. oder auch nicht…bla bla bla Keks, Heinzow…danke, danke für eure Weisheiten, welche den Fortschritt, die Technologie, ja das gesamte Wissen der Physik endlich revolutionieren werden, nach diesen Jahrzehnten der „Verbrennung“ wissenschaftlicher Literatur.
So arm kann man sich fühlen, wenn man ihre Beiträge liest, voller Ernst, begnadete Scheiße, sorry, aber besser kann man es nicht treffen.
Gute Nacht und gute Besserung, bis 2015“
Danke lieber Gunni,
auch Dir schöne Weihnachten.
Kleiner Tipp:
Laß doch mal die Sauerstoffversorgung im Gunnimobil überprüfen, da stimmt was nicht…
Gute Besserung
@ #141 Pseudonym G. Innerhofer
Pipi machen kann es ja schon ganz gut, das Pseudonym, nur das mit der Farbe kriegt es nicht hin.
In der heutigen FAZ ist ein wunderschöner Artikel über Luther drin. Die Inhalte lassen sich auch G. Innerhofer (und weitere Pseudonyme) übertragen und anwenden. Die sehen überall Teufel (Skeptiker im Neudeutsch), wo nachweislich keine sind, die den wahren und einzigen Glauben gefährden.
Unter der Annahme, daß die hinter dem Pseudonym G. Innerhofer stehende Person tatsächlich Meteorologie studiert hat, sind deren Äußerungen hier symptomatisch und beweisen streng nach den Regeln der Wissenschaftstheorie, daß diese Naturwissenschaftler samt und sonders in diesem Fachgebiet, welches für seriöses wissenschaftliches Arbeiten eigentlich Voraussetzung ist, nie ausgebildet wurden. Ist ja auch nicht Inhalt der Prüfungsordnungen. Deshalb kommen natürlich solche Sätze, wie der eingangs zitierte zustande oder der hier: „danke, danke für eure Weisheiten, welche den Fortschritt, die Technologie, ja das gesamte Wissen der Physik endlich revolutionieren werden, nach diesen Jahrzehnten der „Verbrennung“ wissenschaftlicher Literatur.“
Interessant wird es dann, wenn man feststellt, daß diese Meteorologen auch Temperaturmeßdaten erfinden, wo keine gemessen wurden. Beispiel die Station 135952 (New Hampton in IOWA) im Mai 1945, wo in den digitalisierten TOBS-Daten (TMAX-Thermometer wird zur Observationszeit auf die Termintemperatur gesetzt (Reading of MAX. Thermometer immidiatly after setting) Temperaturdaten existieren, die im Original nicht zu finden sind. Wenn man dann noch weiter genau hinschaut, stimmen die Angaben bzgl. der Ablesezeiten ebenfalls nicht, so daß es regelmäßig zu falschen Zuordnungen der TMAX-Temperatur kommt, was natürlich ein gefundenes Fressen für die ist, die die Daten homogenisieren wollen, aber selbst simpelste Fehler nicht in den Datensätzen angeben und korrigieren (können) wollen.
Würde man sich der Pöbelei des Pseudonyms G. Innerhofer anschließen, müßte man „Meteorologen, Klimatologen …“ als Bande von Fälschern bezeichnen, was im Gegensatz zum Pseudonym in ganz begrenztem Rahmen auf beweisbaren Tatsachen beruhen würde … .
Der Treibhauseffekt, den es mangels Glasdach in der Atmosphäre nicht geben kann, ebensowenig wie es „erneuerbare“ Energie gibt, ist ein Effekt, den der angebliche G. Innerhofer weder sauber definieren kann und deshalb auch nicht gemäß der Wissenschaftstheorie beweisen kann. Luther konnte die Existenz Satans auch nicht beweisen. Und hier schließt sich der Kreis, G. Innerhofer unterscheidet sich von Luther prinziell nur dadurch, daß er mehr naturwissenschaftliches Wissen hat, es aber nicht wissenschaftlich anwenden kann. Im Glauben ist er ebenso stark wie Luther … . nd Scheiterhaufen für die Ketzer würde er auch liebendgern errichten, trotz der unsinnigen Freisetzung des hochschädlichen CO2 und anderer giftiger Gase und Stoffe.
@besso keks #122
Hallo Joe
„Lieber Herr Krüger,
den AGW-Vertretern wurde bereit dutzende Mal nahe gelegt, sich über die Konsequenzen der Thermalisierung“
Na dann schauen Sie mal hier
http://tinyurl.com/nlcfccr
Schon seit über 100 Jahren ist bekannt, dass in der unteren Atmosphäre das LTE gilt (dh. Stoßdeaktivierung=Stoßaktivierung und Absorption=Emission) und die Strahlungstransfergleichung.
Frage, woher haben Sie den Quatsch mit der Thermalisierung? In welchen Lehrbuch steht das? Bitte, bitte nennen Sie mir eine Fachquelle.
Nochmals: Die Strahlungstransfergleichung mit der man den THE und die Verschiebung des Temperaturgradienten infolge des THE berechnet geht auf Arthur Schuster 1905 und Karl Schwarzschild 1906 zurück. Und als Lehrbuch dazu empfehle ich „Radiative Transfer“ von Chandrasekhar von 1950.
Auf der Strahlungstransfergleichung beruhen auch Modtran und Hitran, womit man den THE direkt berechnen kann.
Die Strahlungstransfergleichung verwenden auch Astrophysiker zur Untersuchung der Atmosphäre von Sternen und Planeten.
Die Strahlungstransfergleichung wird auch eingesetzt zur Berechnung der Temperatur der Atmosphäre vom Satelliten aus.
Die Strahlungstransfergleichung wird auch eingesetzt zur Berechnung des CO2-Gehalts der Atmosphäre vom Satelliten aus. Oder des Ozongehaltes der Stratosphäre vom Satelliten aus. Oder des Gehalts anderer infrarot aktiver Gase in der Atmosphäre vom Satelliten aus.
So und nun erklären Sie mir mal, warum das alles falsch sein soll? Und wer hinter diesem groß angelegten Betrug stecken soll?
Und erklären Sie mir auch warum das alles trotz „Thermalisierung“ trotzdem funktioniert. Dürfte ja gar nicht funktionieren?
Wenn ein solcher natürlicher „Treibhauseffekt“ eines Spurengases von 33°C existieren würde, dann müßte es in jedem Laborexperiment mit CO2 sich als „Superdämmung zeigen und damit das normale Wärmeleitungsgesetz verletzen. Tut es aber nicht.
MfG
#141, Herr Innerhofer
Ein guter Wein zur rechten Zeit
bringt Ruhe und Gelassenheit.
Geniesst man in zu hohen Dosen,
geht das meistens in die Hosen
#128: S.Hader sagt:
Herr Prof.Lüdecke schreibt: „1. Bis heute gibt es keine begutachtete Fachveröffentlichung, die einen messbaren(!) anthropogenen Einfluss des Menschen auf Klimavorgänge belegen kann. Dies bestätigte erst jüngst die wohl bekannteste Klimaforscherin der USA, Judith Curry, es bestätigte der wiss. Beirat der Bundesregierung für globale Umweltveränderungen (WBGU) im Jahre 1997 und eben (indirekt) die gesamte Klima-Fachliteratur. Hier kenne ich mich ein wenig aus, denn ich veröffentliche dort gelegentlich.“
Nun, wenn man den atmosphärischen Treibhauseffekt als logische und messbare Konsequenz der Strahlungsbilanzen auf unserer Erde ansieht und die Steigung des Gases CO2 in der Atmosphäre anthropogen Ursachen zuschreibt, beantwortet sich der Punkt 1) von selbst.
—————-
Sehr geehrter Herr Hader
Sie schreiben schön im Konjznkteiv ‚Wenn … man zuschreibt‘ – Aber warum sollte man? Die Daten geben diesen Schluss nicht her. Dann gibt es auch keinen Grund, eiem AGW-Alarmismus zu glauben.
—————- S.Hader sagt:
Weiter schreiben Sie, Prof.Lüdecke: „Die ersten beiden Punkte sind maßgebend und sogar Laien verständlich. Sie reichen völlig aus, um dem Klimawahn den sachlichen Boden zu entziehen.“
Angenommen sie sind für den Laien verständlich, kann er sie auch bewerten? Für einen Laien ist es auch verständlich, dass ein Hund immer wieder Hunde wirft und es nicht passieren kann, dass da mal eine Katze herauskommt. Trotzdem gibt es die Theorie von der Entstehung der Arten, die nicht von der Konstanz der Tiere ausgeht und unmittelbar aus einem Hund über Millionen Generationen auch etwas anderes werden kann. Der Laie kann genauso wenig über die Richtigkeit der Evolutionsbiologie entscheiden wie über die aktuellen Ergebnisse der Klimaforschung. Wer den Laien etwas anderes erzählt, gaukelt ihm da etwas vor.
—————-
Das Problem ist zwar richtig, dass ein Laie viele Fragen nicht sachkundifg entscheiden kann. Kann es aber ein Fachmann? Die Tatsache. dass es auch unter Fachleuten divergente Meinungen gibt, zeigt lediglich, das es auch viele Fragen gibt, die sich mit den Mitteln der Wissenschaft heute nicht so leicht lösen lassen. Die Fragen, die Sie an die Evolutionsbiologie stellen, sind ebenso berechtigt.
Des einfach Prinzip der Wissenschaft, dass man eine Hypothese aufstellt und diese empierisch überprüft, ist in einigen Wissenschaften problematisch. Denn klare und eindeutige Beobachtungen und Experimente gibt es oftmals nicht. Was aber folgt daraus?
1. Vertraue den Experten? Aber welchen Experten soll man vertrauen?
2. Mach dich selbst sachkundig und urteile dann? Aber auch das hat Grenzen.
3. Ignoriere strittige Aussagen? Aber das wäre nach Ansicht einiger fatal.
4. Vertrete deine eigenen Interessen? Aber was sind die eigenen Interessen?
5. Vertraue Mehrheiten? Seit Galileo und Hitler hat das einen schalen Beigeschmack.
6. Vertraue auf dein Bauchgefühl? Und wenn dieses Produkt der Manipulation und Propaganda ist?
Einen Konigsweg gibt es offenbar nicht. Ich neige eher zu 2. und 3. Das erfordert aber sowohl etwas Mühe als auch die Bereitschaft, eigene Irrtümer zu erkennen und Selbstkritikfähig zu bleiben.
—————- S.Hader sagt:
Sie schreiben noch, dass es zwar schade ist, dass so viele den Treibhauseffekt abstreiten, aber sie damit leben können, weil sinngemäß sie ja für dieselben politischen Ziele einstehen. Was mich mal persönlich interessieren würde, was sagen eigentlich Ihre ehemaligen Kollegen dazu, wenn sie hören, Pressesprecher eines Vereins zu sein und wenn sie dann die Artikel lesen? Kommen da keine verwunderten Rückfragen, selbst wenn sie politisch auf ihrer Seite stehen? Ist es für einen Wissenschaftler nicht furchtbar, bei seinen eigenen Mitglieder keinen Lerneffekt zu beobachten?
—————
Was erwarten sie denn? Dieser Effekt ist auch bei den AGW-Hysterikern in größerem Umfang zu beobachten. Wenn sie sich vor Wirrkopfen schützen wollen, müssen Sie sich völlig isolieren und ein rigides Regime führen. Da ist mir der Plauralismus, einschließlich seiner Schattenseiten, lieber.
@Michael Krüger #120
Nochmal. Es gibt keinen Treibhauseffekt (THE), sondern es gibt nur einen Effekt in der Atmosphäre (Atmosphäreneffekt), der von der Sonnenstrahlung angeregt wird.
Und diesr Atmosphären Effekt hat einen unmittelbaren Zusammenhang mit der Dichte und den Druck unseres Erdensystem (Atmosphäre (Gas/Wolken), Ozean, Landmasse). Die Sonnenstrahlung trifft so zu sagen bei unseren Erdsystem das erste mal auf Masse nach ihrer Reise von der Sonne durch das luftleere Allvakuum. Und damit beginnt die Wandlung von Sonnenstrahlung/Energie in Wärme. Um so Dichter die Masse um so mehr Widerstand stellt dies für die Strahlung dar. Die Strahlung reibt sich so zu sagen an der Masse warm.
Dies muss auch im Zusammenhang von Raum und Zeit betrachtet werden. Die Zeit ist hier die Lichtgeschwindigkeit, in der dies passiert und der Raum ist die Erdrotation und der Abstand zur Sonne.
Per Mal schrieb ich dem Kommentator zu #141
Sehr geehrter Herr Magister!
Wenn Sie an unserer Expertise
„Why CO2 cools the Surface of the Earth“
(http://gerhard.stehlik-online.de/)
etwas fachlich zu kritisieren haben, sollten Sie das uns Autoren
(Eichten, Hopp, Stehlik, Wagner und unseren fachlich ausgebildeten weltweiten Übersetzern)
gegenüber mit offenem Visier tun und nicht anonym.
#7, Kommentar Lüdecke und weitere Kommentare
Lieber Herr Lüdecke,
ich glaube, es war nicht schlecht, diesen Artikel zu bringen, in dem sicher einiges nicht richtig ist. Erheitert hat mich aber der Kommentar mit der Luftpumpe, bei der die Wärme auch bald verschwindet. Das wissenschaftliche Niveau ist so gering geworden, dass sogar die thermodynamischen Ansätze nicht mehr gelten, auch die Gasgesetze gelten wohl nicht mehr. Und wer braucht schon diese dumme innere Energie, ist ja nur Unfug. Ja, ja, Deutschland wird eben grün und saublöde. Grün und Saublöde scheinen in Deutschland wohl Synonyme zu sein. Da lobe ich mir doch die chinesischen Freunde, die erkannt haben, dass die USA und ihre Handlanger in Deutschland eigentlich nur die Entwicklung der anderen Länder verhindern wollen. Solange dieser CO2-Schwachsinn nicht enttarnt wird, wird die irrsinnige Energiewende in Deutschland weitergeführt werden. Sie wissen, dass ich die Ausführungen von Gerhard Gerlich (R.I.P.), den ich sehr geschätzt habe und dem ich für die Gespräche mit ihm nicht genug danken kann, noch für die sinnvollsten halte: Man kann nichts sinnvoll berechnen, der Blödsinn fängt schon mit den -18 °C an. Dieser CO2-Schwachsinn ist der größte Betrug aller Zeiten, und man könnte eine Verschwörungstheorie entwickeln, warum das IPCC gegründet wurde, als der Niedergang der DDR nicht mehr zu verhindern war. Die Bundeskanzlerin als ehemalige DDR-Funktionärin zusammen mit den Roten und Grünen aller Parteien (AfD eingeschlossen) tut ihr Bestes, unser Land in eine Diktatur umzuwandeln – und die Deutschen schlafen tief und fest. Da sich auch EIKE nicht von dem Treibhausschwindel verabschiedet sondern einige Mitglieder sogar mit dem Schwarzen Strahler eine Erwärmung von bis zu 1.1 K bei Verdopplung der CO2-Konzentration berechnen, braucht sich niemand wundern, dass der Irrsinn weitergeht. Die Argumentation ist doch subtil: Wenn CO2 auch nur einen geringen Temperaturanstieg bewirkt, dann sind wir am Absaufen der Inseln und Küstenstädte schuld. Ich habe wie auch Gerhard Gerlich und Ralf Tscheuschner erhebliche Bedenken, dass CO2 überhaupt irgendeinen Effekt hat. Wenn die CO2-Konzentration der Temperatur hinterher hinkt, was Ole Humlum ja wohl bestätigt hat, kann der Klimaeinfluss von CO2 in der Konsequenz nur 0 Grad sein.
Mich braucht auch keiner mehr auf die „Widerlegungen“ von Halpern oder Ebel aufmerksam zu machen. Ich habe die Abhandlungen und etliche andere gelesen, nichts davon hat mich natürlichen Treibhauseffekt überzeugt, vom „menschengemachten“ schon 2x nicht. Gehen wir aber davon aus, der Erde drohe nun in 15 Jahren die Klimakatastrophe (Latif und Konsorten), müsste die Menschheit sofort beginnen, 10.000 Kernkraftwerke zu bauen, ca. 50 – 80 (je nach Leistung) alleine in Deutschland. In spätestens 30 Jahren muss der Umstieg auf Generation 4 erfolgen. Wer mit der Klimakatastrophe argumentiert aber Kernenergie ablehnt, ist in meinen Augen ein Narr oder Fanatiker.
Tja, Deutschland wird eben grün – und saublöde -, die (in der Breite) dummen Deutschen wollen es so. Es ist mir so langsam auch egal.
#132: Herr Klaus Berserk, bei der paleoklimatischen Betrachtung ist die Zeitauflösung so gering dass die beschriebene Oszillation beider Werte nicht erkennbar ist.
Aber erkennbar bleibt eine fehlende Korrelation.
Beides widerlegt eine CO2-Treibhauseffekt.
Sowohl die fehlende Korrelation in sehr langfristiger Betrachtung,
als auch das eher kurzfristige Nachfolgen des CO2 einer Temperaturänderung (Henry-Gesetz).
mfG
#120: Michael Krüger sagt:
„Hier also von einem wissenschaftlichen Betrug zu sprechen ist eine Verschwörungstheorie. Und Verschwörungstheoretiker kann man leider nicht ernst nehmen. Sie diskreditieren sich also selbst.“
Lieber Herr Krüger,
das heißt es kann keine Verschwörungen geben, den der Personenkreis, der diese entdeckt ist den Verschwörungstheoretikern zuzurechnen.
Und Verschwörungstheoretiker labern blödes Zeug.
Lieber Herr Krüger,
wollen Sie nicht doch mal auch was Intelligentes hier veröffentlichen???
Wäre doch schön, meinen Sie nicht auch?
#127: Lieber P. Dietze, wenn Sie sagen:
—
Tatsache ist daß es KEINE schwerkraftbedingte Temperaturschichtung gibt. Auch die Vorstellung, alle Gasmoleküle die nach oben fliegen, werden durch die Gravitation gebremst und diejenigen, die nach unten fliegen, werden schneller und erhöhen somit ihre Temperatur, ist falsch.
—
… hätten wir keine gasförmige Atmosphäre mehr!
Weil irgendwann bei den vielen Kollisionen gerade auch mit der Erdobefläche selbst, fliegen alle Moleküle mal nach oben,
und da Sie darauf bestehen, dass sie nicht zurückkommen,
wären sie schnell alle verschwunden „nach oben“, in den Weltraum.
Würde ich mir einfach noch mal überlegen,
bedenken Sie doch die Luftnot beim Atmen,
das wäre ja schrecklich.
mfG
#128: S.Hader sagt:
„Die größte Selbstüberschätzung eines Klimaskeptikers besteht vermutlich darin, dass er glaubt wenige Fachkenntnisse zu benötigen, um Aussagen in der Klimawissenschaft den Kategorien „falsch“ oder „richtig“ zuzuordnen.“
OOOOch, Hader,
die Einordnung erfolgt nach wahr und gelogen!
„Nun, wenn man den atmosphärischen Treibhauseffekt als logische und messbare Konsequenz der Strahlungsbilanzen auf unserer Erde ansieht und die Steigung des Gases CO2 in der Atmosphäre anthropogen Ursachen zuschreibt, beantwortet sich der Punkt 1) von selbst. “
Wow, Hader kennt in der Atmosphäre Strahlungsbilanzen. Na Herr Hader:
Wie viele denn und welche und wo????
Aber natürlich, wer an Strahlungsbilanzen (Plural!!!) „GLAUBT“ und darüber hinaus meint, den CO2-Anstieg in der Atmosphäre alleine der Menschheit zuschreiben zu müssen, der kann natürlich alle Fragen beantworten. Alle!
Natürlich!!
Er ist ja auch von der AGW-Ökofaschistenkirche gesegnet und von Lüghuber gebenedeit.
#127: P. Dietze sagt:
„Tatsache ist daß es KEINE schwerkraftbedingte Temperaturschichtung gibt“
Ach Herr Dietze,
wie wäre es, Sie würden sich mal bemühen den Energierhaltungssatz zu verstehen.
Hoffe, Sie brechen sich nichts dabei.
#127: P. Dietze sagt:
Ach Herr Dietze,
wie wäre es, Sie würden sich mal bemühen den Energierhaltungssatz zu verstehen.
Hoffe Sie brechen sich nichts dabei
#126: Dr.Paul
Lieber Herr Dr. Paul,
ich komme zwar gerade aus der Kneipe, aber das ist in der Tat ein Grund, noch ein weiteres Bier zu trinken. Auch deshalb, weil die Geduld von Herrn Landvoigt jetzt zu Ende ist (#123). Damit ist die Arbeit zwar noch nicht zu Ende, aber die Offensive der TE-Kirche ist erst einmal abgewehrt. Ich werde mich mal näher mit den Modtran-Auswertungen beschäftigen, denn das scheint ja ein Meilenstein des TE zu sein. Ich bin mir aber sicher, dass ich auch dort den Unsinn erkenne. Vielleicht können Sie mir dabei helfen.
Sehr geehrte Leser,
macht es nicht richtig Spaß, Quark breit zu treten?
Warum wird es wohl im Glashaus des Gärtners wärmer als in der Umgebung? Geschieht das etwa nur deshalb, weil Glas die Umwelt abtrennt und so den Wärmefluss der Sonne langsamer aus seinem Inhalt entweichen lässt? Das ist doch die Ursache des Treibhauseffektes, nicht wahr?
Sind es nicht Partikel aus Wasser und Eis, die als Wolken über der Erdkruste mindestens 60 bis 70% ihrer Oberfläche vom Weltall trennen? Irren Stefan und Boltzmann wenn aus den Partikeln über dem Äquator bei 20 Grad C ?420 W/m^2 und aus der Tropopause bei -50 Grad C immer noch ?140 W/m^2 nach oben und unten fließen? Muss dann nicht auch der Wärmefluss der Sonne langsamer aus dem „Zwischenlager Erdkruste“ abfließen? Das ist doch die Ursache für den atmosphärischen Treibhauseffekt, nicht wahr?
Wo aber bleibt die Wirkung der geliebten Treibhausgase, die doch so fleißig das Spektrum verzerren?
Mit freundlichem Gruß,
Ulrich Wolff
Hallo Dr.Paul, ich lese sehr gerne ihre Beitrage. Bei einem Artikel habe ich Verständnisschwierigkeiten.
gäbe es daher einen Temperatureffekt durch CO2,
müsste es auch eine positive Rückkopplung geben,
wie Wehlan richtig sagt,
in der Gegenwart und in der Vergangenheit.
http://tinyurl.com/nqvuwdh
gibt es aber nicht!
Woran erkennen sie an den beiden Kurven, dass es keine positive Rückkopplung gibt? Anhand der Kurve kann ich nicht mal sagen, ob CO2 der Temperatur folgt. Andere interne Parameter, die nicht dargestellt sind, können die Effekte überlagern.
Hallo Herr Dr. Paul,
ich halte zu Ihnen, lassen Sie sich nicht unterkriegen.
Es ist sicher nicht so einfach, mit diesem Schwachsinn fertig zu werden, mit dem Sie hier ständig beworfen werden.
#41: Johannes Herbst
„Diese Funktion gilt nur für langwellige Wärmestrahlung (wie sie von der Erdoberfläche ausgesandt wird. Nicht aber für kurzwellige Strahlung wie das Sonnenlicht, das die Atmosphäre relativ ungehindert passieren kann.
Das ist simple, beobachtbare und nachvollziehbare Physik.“
———————-
Sind Sie sich sicher, daß die Sonne nur kurzwellige Strahlung sendet?
Wärmen Sie sich an Sonnenstrahlen oder eher an Erdstrahlen?
Ich kann mich des Eindrucks nicht erwehren, dass die meisten der Blogger den Adiabatischen Gradienten nicht anerkennen wollen, egal ob THE-Jünger oder -Gegner. Das halte ich dann schon für bedenklich, wenn selbst die allgemeine Gasgleichung für falsch erklärt wird.
Da lobe ich mir doch den gesunden Menschenverstand eines Biologen.
Sehr geehrter Prof.Lüdecke und Dr.Kuhnle,
Sie bringen in #56 vermutlich mehr Aufklärung in die Sache, als Sie selbst ahnen. Zunächst möchte ich Herrn Kuhnle ausdrücklich zustimmen, man kommt oft in die Verlegenheit fachfremden Menschen etwas über das eigene Fachgebiet zu berichten. Man könnte rein theoretisch die Unwissenheit dieser Menschen ausnutzen und irgendwelchen Unsinn erzählen, aber damit begibt man sich in das Risiko aufzufliegen. Allein schon deshalb, weil ein Experte zuhören könnte. Trotzdem sind die fachfremden Menschen auf etwas angewiesen, was vermutlich Naturwissenschaftler nicht so sehr auf dem Schirm haben, VERTRAUEN! Weil Vertrauen ist für Naturwissenschaftler eine nicht fassbare Größe. Aber genau das braucht man, weil man als Nicht-Experte die Aussagen nicht wirklich bewerten kann. Die größte Selbstüberschätzung eines Klimaskeptikers besteht vermutlich darin, dass er glaubt wenige Fachkenntnisse zu benötigen, um Aussagen in der Klimawissenschaft den Kategorien „falsch“ oder „richtig“ zuzuordnen. Und genau auf diesen Glauben stößt man permanent hier in den Leserkommentaren. In der Tat, viele Leser hegen großes Misstrauen in den Aussagen der Klimawissenschaft. Das ist wie bei den Ärzten, wer da kein Vertrauen hat, der mag sich auch nicht gerne von ihnen behandeln lassen.
Herr Prof.Lüdecke schreibt: „1. Bis heute gibt es keine begutachtete Fachveröffentlichung, die einen messbaren(!) anthropogenen Einfluss des Menschen auf Klimavorgänge belegen kann. Dies bestätigte erst jüngst die wohl bekannteste Klimaforscherin der USA, Judith Curry, es bestätigte der wiss. Beirat der Bundesregierung für globale Umweltveränderungen (WBGU) im Jahre 1997 und eben (indirekt) die gesamte Klima-Fachliteratur. Hier kenne ich mich ein wenig aus, denn ich veröffentliche dort gelegentlich.“
Nun, wenn man den atmosphärischen Treibhauseffekt als logische und messbare Konsequenz der Strahlungsbilanzen auf unserer Erde ansieht und die Steigung des Gases CO2 in der Atmosphäre anthropogen Ursachen zuschreibt, beantwortet sich der Punkt 1) von selbst.
Weiter schreiben Sie, Prof.Lüdecke: „Die ersten beiden Punkte sind maßgebend und sogar Laien verständlich. Sie reichen völlig aus, um dem Klimawahn den sachlichen Boden zu entziehen.“
Angenommen sie sind für den Laien verständlich, kann er sie auch bewerten? Für einen Laien ist es auch verständlich, dass ein Hund immer wieder Hunde wirft und es nicht passieren kann, dass da mal eine Katze herauskommt. Trotzdem gibt es die Theorie von der Entstehung der Arten, die nicht von der Konstanz der Tiere ausgeht und unmittelbar aus einem Hund über Millionen Generationen auch etwas anderes werden kann. Der Laie kann genauso wenig über die Richtigkeit der Evolutionsbiologie entscheiden wie über die aktuellen Ergebnisse der Klimaforschung. Wer den Laien etwas anderes erzählt, gaukelt ihm da etwas vor.
Sie schreiben noch, dass es zwar schade ist, dass so viele den Treibhauseffekt abstreiten, aber sie damit leben können, weil sinngemäß sie ja für dieselben politischen Ziele einstehen. Was mich mal persönlich interessieren würde, was sagen eigentlich Ihre ehemaligen Kollegen dazu, wenn sie hören, Pressesprecher eines Vereins zu sein und wenn sie dann die Artikel lesen? Kommen da keine verwunderten Rückfragen, selbst wenn sie politisch auf ihrer Seite stehen? Ist es für einen Wissenschaftler nicht furchtbar, bei seinen eigenen Mitglieder keinen Lerneffekt zu beobachten?
MfG
S.Hader
@#108 Dr. Paul
„Herr P. Dietze, jeder blamiert sich so gut er kann:… Wem möchten Sie diesen ausgemachten Blödsinn bitte unterstellen? Wer verlangt denn einen Kompressor? Reichen 10 Tonnen/m2 nicht (= Gewicht der Luftsäule in Meereshöhe)? In welcher Fantasiewelt leben sie? … Sie wollen hier andere belehren und kennen die Gasgesetze nicht?
p * V = n * R * T (ist nicht von Jaques Henry) daraus folgt T = (p*v)/(n*R)“
Herr Dr. Paul, ich darf doch wohl davon ausgehen daß dieses Gesetz nach Ihrer Meinung ebenso für eine N2/O2-Atmosphäre gilt, deren Druck am Boden z.B. eine Temperatur von +15 Grad erzeugt. Der Boden würde dann im Mittel nur 240 W/m² von der Sonne und keine Gegenstrahlung erhalten, aber 390 W/m² gemäß Stefan-Boltzmann in den Weltraum strahlen. Wir hätten also ein energieerzeugendes Perpetuum Mobile.
Sie können offenbar nicht zwischen statischer und dynamischer Kompression unterscheiden bzw. wissen nicht daß in einer nicht-adiabatischen Atmosphäre T = (p*v)/(n*R) allenfalls für eine kurze Zeit nach schnellen Änderungen gilt (siehe Luftpumpe).
Also sind Sie und Jaques Henry mit dem Ziel, den Treibhauseffekt durch Schwerkraft-Kompression obsolet zu machen, kläglich gescheitert.
Tatsache ist daß es KEINE schwerkraftbedingte Temperaturschichtung gibt. Auch die Vorstellung, alle Gasmoleküle die nach oben fliegen, werden durch die Gravitation gebremst und diejenigen, die nach unten fliegen, werden schneller und erhöhen somit ihre Temperatur, ist falsch. Und die Konvektion wirkt ebenfalls kontraproduktiv: warme Luft will nach oben, und kalte nach unten.
#116: Hallo, sehr geehrter Herr Wehlan,
da ist ja tatsächlich das Wunder geschehen, dass sich Herr Landvoigt und wir bei einmal einig sind,
dass das offiziell stärkste bekannte Treibhausgas SF6 –
Treibhauspotenzial ist 22.800-mal so hoch wie das von Kohlenstoffdioxid (CO2) nach IPCC –
KÜHLT!
Darauf sollte man eigentlich anstoßen.
mfG
#114: Dr.Paul sagt:
„Prof. Murry Salby hat in Hamburg am 18 April 2013
diese Vortrag gehalten:
http://tinyurl.com/l5uzrah
leider in Englisch,
aber wer Interesse hat, was Sie ja vorgeben ….
Er hat sogar den Korrelationskoeffizient ausgerechnet?
„.. in significant part, CO2 is controlled by Global Temperature,
– as it is in the Proxy Record“
Also in Gegenwart UND Vergangenheit (Henry-Gesetz)
Korrelationskoeffizient
net global emission / observed CO2
c=0,93
und er ist nicht der Einzige dem das aufgefallen ist,
da gibt es noch Ole Humlum
http://tinyurl.com/d665jcu
und weitere …
gäbe es daher einen Temperatureffekt durch CO2,
müsste es auch eine positive Rückkopplung geben,
wie Wehlan richtig sagt,
in der Gegenwart und in der Vergangenheit.
http://tinyurl.com/nqvuwdh
gibt es aber nicht!“
Werter Herr Dr. Paul,
weil man es nicht oft genug sagen kann hab ich das Ganze nochmal kopiert.
Es gibt hier bei EIKE, wohl wegen des G20-Gipfels ein Kesseltreiben gegen alles und jeden, der noch Verstand zwischen den Ohren hat.
Dazu passen auch das Vorgehen gegen Prof. Kramm und die diversen Kommentare einer gewissen Admin.
Ich jedenfalls werde gegen diese Treibhausidiotie ankämpfen bis man meint mich sperren zu müssen.
MfG
#113: Martin Landvoigt ich sehe, der 2.HS hat Sie als Agrarwissenschaftler etwas irritiert.
Übersetzt in die Umgangssprache heist das nichts anderes, als dass Wärme immer von warm nach kalt fließt, banal aber offensichtlich ein knallhartes Naturgesetz, NIE umgekehrt, wie Treibhausvertreter nicht selten vortragen, die tatsächlich wie auch Sie früher glauben, Wärme könnte auch von kalt nach warm fließen.
Auf diese 2.HS muss also gerade der Treibhausvertreter immer höllisch aufpassen, damit er sich nicht blamiert.
Und selbstverständlich heißt das auch, dass bei gleichen Temperaturen auch keine Wärme fließen kann.
Aber gerade in der Sahara, werden Sie das bei genauer Bodenmessung praktisch nie finden.
Und mehr als diese Richtungsangabe können Sie aus den selbst gewählten Temperaturdifferenzen nicht schließen.
Vor allem nicht ob oder gar wieviel die Atmosphäre „strahlt“.
Können Sie nicht!
Ihre ursprüngliche erweiterte „quantitative“ Frage,
wieviel, lässt sich also leider NICHT aus einer Temperaturdifferenz beantworten, denn Temperaturen sind INTENSIVE Größen, während Wärme eine EXTENSIVE Größe ist.
Oder wie dachten Sie sich das denn mit „der Quantifizierung der Wärmeflüsse“, das würde den Leser nun schon interessieren.
Für die quantitative Frage eines Wärmeflusses benötigen Sie also zusätzlich nicht nur die Wärmeleitfähigkeit aller beteiligten Stoffe (Zeitfaktor), sondern auch die (extensive) Wärmekapazität von Wärmequelle und Wärmesenke.
Wie groß ist die Wärmekapazität der Atmosphäre?
Aber wie Sie ja selbst sagen, ist das zu schwierig für Sie. Sie verstehen ja noch nicht einmal, warum sich der Mond ohne wärmere Atmosphäre darüber stärker abkühlt („Kann ich nicht nachvollziehen.“).
Offensichtlich, das kann wohl in der heutigen Denke vorkommen,
ist Ihr Denken so sehr auf „Strahlungsmodelle“ fokussiert, dass sie immer wenn es um „banale Wärme“ geht, nicht mehr mithalten können.
Das haben Sie auch bei dem Beispiel mit der heißen Herdplatte und dem Kochtopf darüber für Jedermann zu erkennen gegeben.
Sie konnten einfach nicht erkennen, dass der QUANTITATIVE Wärmetransport ganz deutlich ZUNIMMT wenn man den Wassertopf auf die heiße Platte stellt.
Dann kühlt die Platte ab WEGEN dem erhöhten Wärmetransport.
Auch Herr Titze versteht ja nicht, dass aus diesem Grund der fehlenden Möglichkeit der materiellen Wärmeübertragung das Vakuum ein idealer Wärmeisolator ist. (Isolierfenster etc.)
mfG
#116: Wehlan sagt:
Es war natürlich zu erwarten, dass Sie nicht auf meine Argumente eingehen, sondern alles zerreden wollen.
——————-
Sie disqualifizieren sich als ernsthafter Gesprächspartner. Ich habe enorme Geduld aufgebracht, um auf Ihre Beiträge einzugehen. Aber irgendwann ist auch bei mir die Geduld zu Ende.
#102: Michael Krüger sagt:
„Also, alles altbekannt, aber viele Kommentatoren hier nehmen das nicht zur Kenntnis und beharren auf absurden Theorien, die in keinem Lehrbuch zu finden sind. Es hilft auch nichts das diesen Leuten zu sagen, die sind da fakten-resistent und reagieren dann nur noch agressiver.“
Lieber Herr Krüger,
den AGW-Vertretern wurde bereit dutzende Mal nahe gelegt, sich über die Konsequenzen der Thermalisierung und den unterschiedlichen Entspannungsmöglichkeiten eines CO2-Moleküls
nach dem Jablonski-Diagramm zu informieren bzw. dieKonsequenzen daraus zu bedenken.
Wie viele der AGW-Gläubigen haben dies getan?
Na?
Richtig: keiner!!!
Gehen Sie mit gutem Beispiel voran, dann reden wir weiter…
#112: Dr.Paul sagt:
Der adiabatische Gradient
http://tinyurl.com/l2pg899
ist ein GLEICHGEWICHTSZUSTAND im Schwerefeld der Erde OHNE Berücksichtigung von Wärmetransport!
————-
Das ist doch Quatsch! Wir wissen dass sich die Verhältnisse der Atmospghäre in städigem Flauss befinden. Staändig variieren auch die Temperaturen und Wärmeflüsse im Tags, Jahres und weiteren Zyklen. Es macht unter diesen Umständen gar nicht Sinn, irgend einen statischen Zustand beschreiben wollen, sondern lediglich ein Flusgleichgewicht.
Der Gradient heißt adiabatisch, weil er der adiabatischen Temperaturänderung der Gase unter der Druckänderung entspricht. Er wird darum gezeigt, weil er damit den reale Temperaturgradienten im Wesentlichen erklären kann. Allerdings unterscheidet sich der mitter Temperaturgradient deutlich von dem adiabatischen gradienten.
————— Dr.Paul sagt:
Ein Gradient ist zudem ein Zustand und kein Vorgang,
wenn Sie das bitte unterscheiden!
http://tinyurl.com/7h6qsvh
—————
Ich weiß nun nicht, was sie da unterscheiden wollen, dass sie einen kontinuierlich ablaufenden Vorgang nicht als Zustand beschreiben wollen.
Meinetwegen können sie sich auch den Vorgang in zwei Phasen vorstellen:
1. Die Änderungsphase: In einer temperaturverteilten Atmosphäre, die nicht dem adiabatischen Gradienten entspricht, aber sich oben abkühlt und unten erwärmt, sonst keine wesentlichen Wärmetranportmechanismen kennen würde und auch eine sehr niedrige Viskosität hat, würde gemäß konvektiver Bewegungen zu dem adiabatischen Gradienten geformt werden.
2. die stationäre Phase: Da ein Wärmetranport ständig geschieht, muss durch konvektive Bewegingen die Luft zum Zweck des Wärmetransports zirkulieren Sie folgt damit der adiabatischen Zustandsänderung und erhält somit den Gradienten.
————— Dr.Paul sagt:
Wenn Sie also mit mir reden wollen müssen Sie schon Begriffe so verwenden wie sie DEFINIERT sind.
Sie können also Wärmetransport, welcher Art auch immer NICHT adiabatisch nennen!!!
—————-
Es wäre schon viel geholfen, wenn Sie sich an Ihre eigenen Vorgaben halten würden. Denn die Adiabatische Zustandsänderung bildet die Grundlage für den Gradienten. Und diese bezieht sich auf die Konvektion. Natürlich ist diese Wärmetransport!
————— Dr.Paul sagt:
Es ist schon ziemlich unhöflich, das immer wieder zu versuchen.
—————
Das macht auch den Respekt vor Ihnen recht schwieig.
————— Dr.Paul sagt:
Sobald Sie von Wärmetransport sprechen, ist das NICHT adiabatisch. Das wurde nun oft genug korrigiert und klargestellt.
—————
Es ist mir völlig unverständlich dass Sie derartig inkonsistente Postings abliefern. Wodurch sollte denn nach ihrer Meinung der der adiabatische Gradient seinen Namen her bekommen haben, wenn nicht aus der adiabatischen Zustandsänsderung? Und die geschieht durch die Konvektion.
Genauer: Die erwärmte Luft steigt konvektiv auf und transportiert Wärme nach oben. Bei dem Aufstiegsprozess erfährt sie eine Druckreduktion und kühlt sich in einer adiabatischen Zustandsänderung ab.
Ist das so schwer zu verstehen?
@Pau, Wehlan, besso keks, Hofmann,M, etc.
Wie ich schon sagte. Der Temperaturgradient von 6,5°C/ 1000 m ändert sich unter der Wirkung der Treibhausgase (THG) nicht. Er verschiebt sich nur nach rechts, zu höheren Temperaturen, bei einer Erhöhung der THG-Konzentration, oder nach links, zu niedrigeren Temperaturen, bei einer Erniedrigung der THG-Konzentration. Das haben schon Manabe & Wetherald 1967 festgestellt. Also weit bevor die Treibhausalarmisten die Bühne betreten haben.
Die Strahlungstransfergleichung mit der man den THE und die Verschiebung des Temperaturgradienten berechnet geht auf Arthur Schuster 1905 und Karl Schwarzschild 1906 zurück. Und als Lehrbuch dazu empfehle ich „Radiative Transfer“ von Chandrasekhar von 1950.
Auf der Strahlungstransfergleichung beruhen auch Modtran und Hitran, womit man den THE direkt berechnen kann.
Die Strahlungstransfergleichung verwenden auch Astrophysiker zur Untersuchung der Atmosphäre von Sternen und Planeten.
Die Strahlungstransfergleichung wird auch eingesetzt zur Berechnung der Temperatur der Atmosphäre vom Satelliten aus.
Die Strahlungstransfergleichung wird auch eingesetzt zur Berechnung des CO2-Gehalts der Atmosphäre vom Satelliten aus. Oder des Ozongehaltes der Stratosphäre vom Satelliten aus. Oder des Gehalts anderer infrarot aktiver Gase in der Atmosphäre vom Satelliten aus.
Usw., usw.
Wer jetzt also behauptet, es gibt keinen Strahlungstransfer durch THG in der Atmosphäre und keinen THE, der steht nicht nur mit der Physik der letzten 100 Jahre auf Kriegsfuß, sondern auch mit der modernen Fernerkundung mit Satelliten und der Astrophysik.
Hier also von einem wissenschaftlichen Betrug zu sprechen ist eine Verschwörungstheorie. Und Verschwörungstheoretiker kann man leider nicht ernst nehmen. Sie diskreditieren sich also selbst.