Anmerklung von A. Watts: …Dies ist eine umstrittene Ausgabe, und während es eine wunderbare Sache wäre, falls es stimmte, sehe ich persönlich nicht, wie es auf irgendeine Weise den Energieerhaltungssatz (<a href= "http://en.wikipedia.org/wiki/Conservation_of_energy"target="_blank">hier</a>) überwinden könnte. Diese Ansicht wird auch von Anderen geteilt, wie aus der Einführung des Artikels unten hervorgeht. … Anthony WattsGrößenordnung des natürlichen ‚Treibhauseffektes’
- Einführung
Unsere jüngste Studie zur allgemeinen Klimatheorie löste intensive Diskussionen bei WUWT und Tallbloke’s Talkshop aus. Die Blogger, aber auch zwei Online-Artikel von Dr. Ira Glickstein und Dr. Roy Spencer stellten viele wichtige Fragen. Nachdem wir uns durch die meisten Antworten hindurchgearbeitet hatten, wurde uns klar, dass weiterführende Ausführungen erforderlich sind. Wir präsentieren unsere Antwort in zwei separaten Artikeln, die die Schwerpunkte der Blogger ebenso ansprechen wie Schlüsselaspekte unseres neuen Paradigmas.
Beachten Sie bitte, dass Sie zum Verständnis dieser neuen Theorie Ihre Sichtweise ändern müssen! Wie Albert Einstein einmal sagte, ein neues Paradigma kann nicht innerhalb eines existierenden Gedankenexperiments verstanden werden; also werden wir durch das System [episteme], in dem wir leben, eingeschränkt. In dieser Hinsicht erfordert unser Konzept neue Definitionen, die exakte Ebenbilder in der aktuellen Treibhaustheorie haben können oder nicht. Zum Beispiel ist es für uns entscheidend, den Term Atmospheric Thermal Effect (ATE) einzuführen und zu verwenden, weil: a) der Term Greenhouse effect GE unvermeidlich irreführend ist aufgrund der Tatsache, dass die freie Atmosphäre nicht wirklich wie ein geschlossenes Treibhaus funktioniert, wenn man der konvektiven Abkühlung keine Grenzen auferlegt, b) ATE genau den physikalischen Sinn des Phänomens beschreibt, nämlich des Temperaturtreibers [temperature boost] an der Oberfläche infolge der Gegenwart der Atmosphäre, c) die Argumentation in Termen wie ATE im Gegensatz zum GE hilft, die Diskussion über den Strahlungstransport hinaus zu führen und d) der Term Atmospheric Thermal Effect keine zugrunde liegenden physikalischen Mechanismen impliziert.
Wir beginnen mit der unbestreitbaren Tatsache, dass die Atmosphäre zusätzliche Wärme auf der Erdoberfläche erzeugt, verglichen mit einer atmosphärefreien Umgebung wie auf dem Mond. Dies wirft zwei grundlegende Fragen auf: (1) Welche Größenordnung hat diese Zusatzerwärmung, d.h. ATE? und (2) wie macht die Atmosphäre das, d. h. welcher physikalische Mechanismus liegt ATE zugrunde? In dieser Antwort geht es um die erste Frage, da sie die Krux bei den Schwierigkeiten [des Verständnisses] der meisten Leute zu sein scheint, und die daher gelöst werden muss, bevor wir uns mit der übrigen Theorie befassen (siehe zum Beispiel Lord Monckton’s WUWT post).
- Die Größenordnung des irdischen atmosphärischen Thermaleffektes
Um ATE ordnungsgemäß zu evaluieren, bleiben wir dabei, dass man die mittlere Temperatur der Erde mit der Temperatur eines sphärischen Körpers ohne Atmosphäre mit gleichem Abstand von der Sonne vergleichen muss. Man beachte, dass wir uns gegenwärtig nicht mit der Zusammensetzung oder der Durchlässigkeit von Infrarotstrahlung befassen. Stattdessen versuchen wir einfach, den gesamten Effekt unserer Atmosphäre auf die thermische Umgebung der Oberfläche zu quantifizieren; also den Vergleich mit einem gleichermaßen beleuchteten luftleeren Planeten. Wir werden uns im Folgenden auf einen solchen Planeten als einen äquivalenten planetarischen Graukörper (PGB) beziehen.
Da die Temperatur proportional (in linearer Weise) zur internen kinetischen Energie eines Systems ist, ist es theoretisch absolut gerechtfertigt, mittlere globale Temperaturen zu verwenden, um ATE zu quantifizieren. Es gibt zwei mögliche Indizes, die man hierfür nehmen könnte:
- Die absolute Differenz zwischen der Mitteltemperatur der Erde (Ts) und der eines äquivalenten PGB (Tgb), d.h. ATE = Ts – Tgb; oder
- Das Verhältnis von Ts zu Tgb. Letzterer ist besonders attraktiv, weil er ATE normalisiert (standardisiert) mit Berücksichtigung der Solarstrahlung an der Obergrenze der Atmosphäre (TOA) und so den Vergleich ermöglicht von ATEs von Planeten, die mit verschiedenem Abstand um die Sonne laufen und verschieden große Mengen solarer Strahlung empfangen. Wir nennen dieses dimensionslose Temperaturverhältnis Near-surface Thermal Enhancement (ATEn) und kennzeichnen es durch NTE = Ts / Tgb. Theoretisch sollte NTE gleich oder größer als 1,0 sein (NTE ≥ 1.0). Man beachte bitte, dass ATEn eine Messung von ATE ist.
Es ist wichtig festzuhalten, dass unsere gegenwärtige GE-Theorie den ATE nicht durch Temperatur misst, sondern durch die Menge der absorbierten infraroten Strahlung. Obwohl Fachbücher oft erwähnen, dass die Erdoberfläche wegen des ‚Treibhauseffektes‘ unserer Atmosphäre um 18 K bis 33 K wärmer als der Mond ist, wird der tatsächliche Effekt der wissenschaftlichen Literatur zufolge durch die Menge der ausgestrahlten infraroten Strahlung gemessen, die durch die Atmosphäre absorbiert wird (siehe e.g. Stephens et al. 1993; Inamdar & Ramanathan 1997; Ramanathan & Inamdar 2006; Houghton 2009). Gewöhnlich wird sie als eine Differenz (seltener als ein Verhältnis) zwischen gesamten mittleren infraroten Strahlungsfluss an der Erdoberfläche und an der Obergrenze der Atmosphäre berechnet. Auf diese Weise definiert beläuft sich der mittlere GE Satellitenbeobachtungen zufolge auf 157 bis 161 W/m² (Ramanathan & Inamdar 2006; Lin et al. 2008; Trenberth et al. 2009). Mit anderen Worten, die aktuelle Theorie benutzt Einheiten des Strahlungsflusses anstatt Temperatureinheiten, um ATE zu quantifizieren. Diese Annäherung basiert auf der vorbedachten Absicht, dass der GE durch die Reduktion der Abkühlung durch die Rate der ins All abgestrahlten infraroten Strahlungsmenge funktioniert. Allerdings kann die Messung eines Phänomens mit einer vermuteten Grundlage anstatt durch manifeste Effekte eine Quelle erheblicher Konfusion und Irrtümer sein, wie unsere Studie zeigt. Folglich behaupten wir, dass die ordnungsgemäße Bestimmung des ATE von einer genauen Schätzung der mittleren Temperatur an der Oberfläche eines äquivalenten PGB (Tgb) abhängt.
- Abschätzung der Mitteltemperatur eines äquivalenten planetarischen Graukörpers
Es gibt zwei Möglichkeiten, Tgb zu bestimmen – eine theoretische, basierend auf den bekannten physikalischen Beziehungen zwischen Temperatur und Strahlung, und eine empirische durch Betrachtung von Messungen auf dem Mond als dem der Erde nächstgelegenen natürlichen Graukörper.
Dem Stefan-Boltzmann-Gesetz zufolge emittiert jedes physikalische Objekt mit einer Temperatur über dem absoluten Nullpunkt Strahlung, und zwar mit einer Intensität (I, W/m²), die proportional zur 4. Potenz der absoluten Temperatur des Objektes ist:
wobei ϵ die thermale Emissivität/Absorbtivität ist (0 ≤ ϵ ≤ 1 ) und σ = 5.6704×10-8 W/m². K-4 ist die Stefan-Boltzmann-Konstante. Bei einem theoretischen Schwarzkörper ist ϵ = 1,0, während bei realen festen Objekten wie Felsen normalerweise ϵ ≈ 0.95. Im Prinzip gestattet uns Gleichung 1 eine genaue Berechnung der Gleichgewichtstemperatur eines Objektes, wenn die Menge der durch das Objekt absorbierten Strahlung bekannt ist, d. h.
![]()
Die räumlich gemittelte Menge der vom System Erde-Atmosphäre absorbierten Solarstrahlung (Sα ̅̅̅, W/m²) kann aus der Gesamtsolarstrahlung TOA (Sα ̅̅̅, W/m²) und der planetarischen Albedo genau berechnet werden als

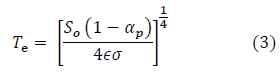
wobei der auf ein Flugzeug einfallende kurzwellige Fluss der TOA (W/m²) senkrecht zu den Sonnenstrahlen ist. Der Faktor ¼ dient dazu, den einfallenden solaren Strahlungsfluss von einer flachen Oberfläche auf eine Sphäre zu verteilen. Er ergibt sich aus der Tatsache, dass die Oberfläche einer Sphäre (4πR²) viermal größer ist als die Oberfläche einer Scheibe (πR²) mit gleichem Radius. Folglich erscheint es logisch, dass man die mittlere Temperatur der Erde ohne ATE aus dem Stefan-Boltzmann-Gesetz abschätzen kann, d. h.

Hierin ist (TeK) bekannt als die effektive Emissionstemperatur der Erde. Setzt man typische Werte ein für S0 =W/m² und αp = 0,3 und ϵ = 1,0 ergibt Gleichung (3) 254,6 K. Dies ist die Basis für den weithin zitierten Wert von 255 K (-18°C) als mittlere Temperatur auf der Erdoberfläche ohne Treibhauseffekt, d. h. als ob die Atmosphäre fehlt oder ‚vollständig transparent‘ für IR-Strahlung ist. Dieser Temperaturwert wird auch benutzt,, um die sog. Effektive Emissionshöhe in der Troposphäre zu definieren (bei etwa 5 km Höhe), von wo man vermutet, dass der Hauptteil der emittierten langwelligen Strahlung ins Weltall ausgeht. Da die mittlere Temperatur der Erde 287,6 K (+14,4°C) beträgt, schätzt die gegenwärtige Theorie die Größenordnung von ATE bei 287,6 K – 254,6 K = 33 K. Wie jedoch in anderen Studien gezeigt wurde, leidet diese Annäherung unter einem ernsten logischen Fehler. Wenn man die Atmosphäre entfernt (oder auch nur den Wasserdampf darin), würde daraus eine viel niedrigere planetarische Albedo resultieren, da Wolken dafür verantwortlich sind, dass die meiste kurzwellige Strahlung reflektiert wird. Folglich muss man eine andere Albedo (αp) in Gleichung 3 einsetzen, die die aktuelle Oberflächenreflektion allein quantifiziert. Eine Analyse des globalen Energiehaushalts der Erde von Trenberth et al. (2009) mit Hilfe von Satellitenbeobachtungen legt einen Wert αp≈ 0,12 nahe. Glücklicherweise ist dieser Wert ziemlich ähnlich der Albedo des Mondes von 0,11 (siehe Tabelle 1 in unserer Originalstudie), so dass es uns möglich ist, den ATE der Erde unter Verwendung unserer Satelliten als passende PGB-Proxy zu evaluieren. Setzt man 0,12 in Gleichung 3 ein, ergibt sich ein Wert von Te = 269,6 K, welches gleichbedeutend mit einem ATE von lediglich 18 K ist (d. h. 287,6 – 269,6 = 18 K).
Zusammenfassend: die gegenwärtige Treibhaustheorie verwendet eine einfache Form des SB-Gesetzes, um die Größenordnung des irdischen ATE zwischen 18 K und 33 K zu schätzen. Die Theorie nimmt weiter an, dass die mittlere Temperatur des Mondes 250 K bis 255 K beträgt, trotz der Tatsache, dass die korrekte lunare Albedo (0,11) eingesetzt in Gleichung 3 etwa 270 K ergibt, d. h. eine um 15 bis 20 K höhere Temperatur! Außerdem, die Anwendung von Gleichung 3, um die mittlere Temperatur einer Sphäre zu berechnen, führt zu einem fundamentalen mathematischen Problem durch Hölders Ungleichheit zwischen nichtlinearen Integralen (u. a. Kuptsov 2001). Was bedeutet das? Hölders Ungleichheit gilt für gewisse nichtlineare Funktionen und legt fest, dass in solchen Funktionen die Verwendung eines arithmetischen Mittels für die unabhängige (Input-)Variable nicht einen korrekten Mittelwert der abhängigen (Output-)Variablen führt. Wegen einer nichtlinearen Beziehung zwischen Temperatur und Strahlungsfluss beim SB-Gesetz (Gleichung 3) und der Variation der absorbierten Strahlung mit der geographischen Breite auf einer Sphäre kann man nicht die mittlere Temperatur eines einseitig beleuchteten Planeten mit der Menge der räumlich gemittelten absorbierten Strahlung, definiert durch Gleichung 2, genau berechnen. Hölders Ungleichheit zufolge wird die aus Gleichung 3 berechnete Temperatur immer signifikant höher sein als die aktuelle mittlere Temperatur auf einem luftleeren Planeten. Wir können diesen Effekt mit einem einfachen Beispiel illustrieren.
Nehmen wir zwei Punkte auf der Oberfläche eines PGB, P1 and P2, die sich beide auf exakt der gleichen geographischen Breite befinden (sagen wir 45°N), aber auf entgegengesetzter geographischen Länge, so dass P1 voll beleuchtet und gleichzeitig P2 vollständig beschattet ist, und umgekehrt (siehe Abbildung 1). Wenn der PGB in der gleichen Entfernung um die Sonne kreist wie die Erde und die Solarstrahlung die Wärmequelle darauf ist, dann würde die Gleichgewichtstemperatur am beleuchteten Punkt [T1 = 349,6 K]* betragen (unter Annahme eines solaren Zenitwinkels von θ = 45°), während die Temperatur am beschatteten Punkt T2 = 0 wäre (da er keine Strahlung erhält wegen cosθ < 0). Die mittlere Temperatur zwischen den beiden Punkten beträgt dann Tm = (T1 + T2)/2 = 174,8 K. Wenn wir allerdings versuchen, eine Mitteltemperatur aus der mittleren, an den beiden Punkten absorbierten Strahlungsmenge W/m² zu berechnen, erhalten wir 234,2 K. Klarer Fall, Te ist viel größer als Tm (Te ≫ Tm), was ein Ergebnis von Hölders Ungleichheit ist.
*Der Ausdruck in den eckigen Klammern fehlt im Original. Er wurde aus der Abbildung übertragen und eingesetzt. Es ist wohl von einem Versehen der Autoren auszugehen. A. d. Übers.

Abbildung 1: Illustration des Effektes von Hölders Ungleichheit bei der Berechnung der mittleren Temperatur auf der Oberfläche eines luftleeren Planeten. Details im Text.
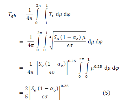
Aus dem obigen Beispiel kann man das Ergebnis mitnehmen, dass zur Berechnung einer aktuellen mittleren Temperatur auf einem luftleeren Planeten eine explizite Integration des SB-Gesetzes über die Planetenoberfläche erforderlich ist. Dies impliziert, dass man erst die 4. Wurzel aus dem absorbierten Strahlungsfluss an jedem Punkt der Oberfläche ziehen muss und erst dann das sich daraus ergebende Temperaturfeld mitteln kann – und nicht zu versuchen, eine Mitteltemperatur aus einem räumlich gemittelten Strahlungsfluss zu berechnen wie in Gleichung 3.
Also brauchen wir ein neues Modell, das in der Lage ist, Tgb robuster vorherzusagen als Gleichung 3. Um diese abzuleiten übernehmen wir die folgende Argumentation. Die Gleichgewichtstemperatur an jedem Punkt auf der Oberfläche eines luftleeren Planeten wird bestimmt durch die einfallende Sonnenstrahlung und kann (unter der Annahme einer uniformen Albedo und bei Ignoranz kleiner Wärmebeiträge durch Gezeitenkräfte und inneren radioaktiven Zerfall) approximiert werden als:

wobei [?]* der solare Zenitwinkel (Radiant) an dem Punkt ist, welches der Winkel zwischen den Sonnenstrahlen und der Achse senkrecht zur Oberfläche an diesem Punkt ist (siehe Abbildung 1). Bei Substituierung ergibt sich die mittlere Temperatur () des Planeten folglich aus dem sphärischen Integral von

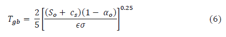
Vergleicht man die Endform von Gleichung 5 mit Gleichung 3 zeigt sich, dass Tgb << Te ist in Übereinstimmung mit der Hölder’schen Ungleichheit. Um den obigen Ausdruck physikalisch realistischer zu machen, fügen wir So eine kleine Konstante hinzu, Cs =0.0001325 W/m², so dass sich, wenn So = 0,0 ist, aus Gleichung 5 Tgb = 2.72 K ergibt (die nicht mehr reduzierbare Temperatur des freien Weltraums, also

In einer aktuellen analytischen Studie hat Smith (2008) argumentiert, dass Gleichung 5 nur die mittlere Temperatur eines nicht rotierenden Planeten beschreibt und dass sich die mittlere Temperatur eines luftleeren Planeten der effektiven Emissionstemperatur nähert, falls die Rotation und die thermische Kapazität der Oberfläche explizit berücksichtigt werden. Es würde den Rahmen dieser Studie sprengen, den Trugschluss dieses Arguments mathematisch zu beweisen. Wir werden allerdings darauf hinweisen, dass eine Zunahme der mittleren Gleichgewichtstemperatur eines physikalischen Körpers immer die Zufuhr von Extra-Energie erfordert. Die Addition zusätzlicher axialer Rotation zu einem stationären Planeten mit einem Vakuum, bei dem es keine Reibung mit der äußeren Umgebung gibt, erzeugt nicht irgendeine Art zusätzlicher Wärme auf der Planetenoberfläche. Schnellere Rotation und/oder höhere thermische Trägheit des Bodens würde lediglich eine effizientere räumliche Verteilung der absorbierten Sonnenergie ermöglichen und würde damit die Gleichförmigkeit des resultierenden Temperaturfeldes über der gesamten Planetenoberfläche zunehmen lassen. Aber die mittlere Oberflächentemperatur könnte davon nicht beeinflusst werden. Folglich beschreibt Gleichung 6 korrekt (unter der Annahme gleichförmiger Albedo) die globale mittlere Temperatur von jedem luftleeren Planeten, ob er nun rotiert oder nicht.
Setzt man typische Werte für Erde und Mond in Gleichung 6 ein, d. h. So = 1362 W/m², αo = 0,11, and ϵ = 0,955, ergibt sich Tgb = 154,7 K. Diese Schätzung liegt um etwa 100 K unter der aus Gleichung 3 abgeleiteten konventionellen Schwarzkörpertemperatur und impliziert, dass der ATE der Erde (d. h. der GE) um ein Vielfaches größer ist als derzeit angenommen. Obwohl es mathematisch gerechtfertigt ist, erfordert ein solches Ergebnis eine unabhängige empirische Verifikation wegen seiner tief greifenden Implikationen für die gegenwärtige GE-Theorie. Wie vorher schon gesagt, stellt der Mond einen idealen Proxy-PGB dar hinsichtlich seiner Position, seiner Albedo und der luftleeren Umgebung, mit der der thermische Effekt der irdischen Atmosphäre akkurat abgeschätzt werden kann. Also richten wir nun unser Augenmerk auf die jüngsten Temperaturbeobachtungen des Mondes.
- Das Lunar Radiometer Experiment von Diviner der NASA
Im Juni 2009 hat die NASA ihren Lunar Reconnaissance Orbiter (LRO) ins All geschossen, der (neben anderen Instrumenten) ein Radiometer mit der Bezeichnung Diviner an Bord hat. Die Aufgabe von Diviner ist es, die Temperatur der Mondoberfläche in bisher nicht erreichter Detaillierung zu kartographieren, und zwar durch Messungen in 7 IR-Kanälen, die eine Wellenlänge von 7,6 bis 400 μm umfassen. Diviner ist das erste zur Messung der gesamten Bandbreite der lunaren Oberflächentemperatur ausgelegte Instrument, von der wärmsten bis zur kältesten Stelle. Es schließt auch zwei solare Kanäle ein, die die Intensität der reflektierten Sonnenstrahlung messen, um auch eine Karte der lunaren kurzwelligen Albedo zu erstellen (weitere Details siehe die offizielle Website von Diviner, http://www.diviner.ucla.edu/).
Obwohl das Diviner-Experiment noch im Gange ist, wurde die Thermalkartierung der Mondoberfläche abgeschlossen, und die Daten sind online verfügbar. Aus zeitlichen Gründen hatten wir keine Gelegenheit, die Temperaturdaten von Diviner selbst für diese Studie zu analysieren. Stattdessen haben wir uns auf Informationen des Diviner Service Teams in wissenschaftlich begutachteten Veröffentlichungen und auf die Diviner website verlassen.
Die während der LRO-Übernahme gewonnenen Daten zeigen, dass der Mond eine der extremsten thermischen Umgebungen des Sonnensystems hat. Die Temperatur in niedrigen Breiten kann bis 117°C steigen, während sie in der langen Mondnacht bis -181°C zurückgehen kann; d. h. bis fast zum Siedepunkt flüssigen Sauerstoffs (Abbildung 2). Die per Fernerkundung gemessenen Temperaturwerte in der Äquatorregion korrelieren sehr gut mit den von der Apollo 15-Mission direkt gemessenen Temperaturdaten auf 26,1°N in den frühen siebziger Jahren (siehe Huang 2008). In den Polargebieten innerhalb dauerhaft beschatteter Gebiete in den großen Einschlagkratern hat Diviner sogar einige der kältesten jemals auf einem Himmelskörper registrierte Temperaturwerte gemessen, nämlich -238°C bis -248°C. Es ist wichtig zu beachten, dass Planetenwissenschaftler vor etwa 13 Jahren detaillierte Modelle der Oberflächentemperatur des Mondes und vom Merkur entwickelt haben (z. B. Vasavada et al. 1999). Diese Modelle wurden jetzt erfolgreich mit den Diviner-Messungen validiert (Paige et al. 2010b, Dr. M. Siegler an der UCLA, Personalkommunikation).
Was jedoch für unsere Diskussion am interessantesten ist, sind die mittleren Temperaturen in verschiedenen Breiten des Mondes, weil diese mit Temperaturen in ähnlichen Gebieten der Erde verglichen werden können, um die Größe von ATE zu evaluieren und unsere Berechnungen zu verifizieren. Abbildung 3 zeigt typische Tagesgänge der Temperatur auf der Mondoberfläche in vier geographischen Breiten (übernommen von Paige et al. 2010a).
Abbildung 2 Thermalkarten der Mondoberfläche, basierend auf den Infrarotmessungen von Diviner, die die Temperaturfelder des täglichen Maximums und des nächtlichen Minimums zeigen (Quelle: Diviner Web Site)
Abbildung 3: Typische Tagesgänge der Temperatur auf der Mondoberfläche in verschiedenen Breiten. Die lokale Zeit ist in Mondstunden dargestellt, die mit 1/24 eines Mondmonats korrespondieren. Auf einer Breite von 89° werden die Tagesgänge zur Sommer- bzw. Wintersonnenwende gezeigt (übernommen von Paige et al. 2010a). Gestrichelte Linien zeigen die Jahresmittel am Mondäquator und an den Polen.


Abbildung 4: Die Temperaturkarten der Südpole von Mond und Erde: (A) Temperaturfeld tagsüber zur Zeit der stärksten Bestrahlung auf dem Mond; (B) Temperaturfeld nachts auf dem Mond; (C) mittlere Sommertemperatur in der Antarktis; (D) mittlere Wintertemperatur in der Antarktis. Die in Fettdruck gezeigten Zahlen in den Teilkarten (C) und (D) sind Temperaturwerte in °K. Die Teilkarten (A) und (B) wurden aus den Diviner Lunar Radiometer Experiment (Paige et al. 2010b) erzeugt. Die Verhältnisse in der Antarktis stammen von Wikipedia (http://en.wikipedia.org/wiki/Antarctic_climate). Der Vergleich der Temperaturen zwischen dem Südpol des Mondes und der Antarktis legen für diesen Teil des Globus‘ eine thermische Auswirkung (enhancement) der Erdatmosphäre (d. h. ein „Treibhauseffekt“) von etwa 107 K im Sommer und 178 K im Winter nahe.
Die Abbildungen 4A und 4B zeigen die Temperaturverteilung am Südpol des Mondes während der stärksten Illumination am Tage und in der Nacht (Paige et al. 2010b). Da der Mond nur eine Achsenneigung von 1,54° und geringe Rotation aufweist, sind die mittleren täglichen Temperaturen ähnlich den monatlichen Temperaturmitteln. Diese Daten, zusammen mit den Informationen auf der Diviner Science webpage zeigen, dass die Mitteltemperatur an der Mondoberfläche von -175°C an den Polen bis -67°C am Äquator reicht. Das passt ziemlich gut zu unserer theoretischen Abschätzung von 154,7 K für die mittlere globale Temperatur nach Gleichung 6. In den kommenden Monaten wollen wir versuchen, die tatsächliche Mitteltemperatur des Mondes aus den Diviner-Messungen zu berechnen. Inzwischen zeigen die von den Planetenwissenschaftlern der NASA veröffentlichten Daten, dass der von der gegenwärtigen GE_Theorie übernommene Wert von 250 K bis 255 K als die mittlere Temperatur des Mondes weit übertrieben ist, da so hohe Temperaturmittel nicht an irgendeiner Breite des Mondes auftreten! Selbst am Mondäquator ist es 44 K bis 49 K kälter als nach dieser Schätzung. Dieser Wert ist deswegen ungenau, weil er das Ergebnis einer nicht zulässigen Applikation des Stefan-Boltzmann-Gesetzes auf eine Sphäre ist, wenn man von der falschen Albedo ausgeht (siehe die Diskussion in Abschnitt 2.1 oben)!
Genauso sind auch die auf der Website NASA Planetary Fact Sheet gezeigten mittleren globalen Temperaturen des Merkur (440 K) und Mars (210 K) nicht korrekt, da sie mit der gleichen Gleichung 3 berechnet wurden, die zum Ergebnis von 255 K für den Mond führte. Wir legen den Lesern nahe, diese Behauptung durch Anwendung von Gleichung 3 auf die Daten der Solarstrahlung (So) und der Albedo (bond albedo) (αo) zu verifizieren, die auf der Tatsachenseite (fact sheet) jedes Planeten gelistet sind, wobei ϵ = 1 gesetzt wird. Dies ist der Grund, warum wir in unserer Originalstudie den Wert von 248,2 K für den Merkur verwendet haben, da dieser Wert mit der theoretisch korrekten Gleichung 6 errechnet worden ist. Für den Mars haben wir Mittelwerte von Temperatur und Druck an der Oberfläche übernommen, die aus von dem Radio Science Team an der Stanford University erfragten regionalen Daten berechnet worden sind, und die aus Fernerkundungsdaten der Mars Global Surveyor-Raumsonde stammen. Ist es nicht merkwürdig, dass der Autor der Planetary Fact Sheet-Site der NASA, Dr. David R. Williams Gleichung 3 gewählt hat, um die mittlere Oberflächentemperatur des Mars‘ zu berechnen und die große Zahl direkter Messungen von hoher Qualität von dem Roten Planeten ignoriert hat!?
Also, welche reale Größenordnung hat der atmosphärische thermale Effekt (ATE) der Erde?
Tabelle 1: Geschätzter atmosphärischer Thermaleffekt für den Äquator und die Pole, basierend auf beobachteten Temperaturen auf der Erde und auf dem Mond unter Verwendung der Mondoberfläche als Proxy für den theoretischen Graukörper der Erde. Die Daten stammen von der Diviner’s Science webpage, Paige et al. (2010b), Abbildung 4 und von Wikipedia:Oymyakon.
Abbildung 5: Die mittlere jährliche Temperatur der Erde nach Wikipedia (geographische Zonen: http://en.wikipedia.org/wiki/Geographical_zone).
Tabelle 1 zeigt beobachtete mittlere und rekordtiefe Temperaturen auf gleicher Breite von Erde und Mond. Der ATE ist berechnet als der Unterschied zwischen Erd- und Mondtemperaturen unter der Annahme, dass der Mond eine perfekte PGB-Proxy für die Erde ist. Abbildung 5 zeigt die globale Verteilung der mittleren Jahrestemperatur auf der Erde, um dem Leser zu helfen, einige der in Tabelle 1 gelisteten Werte visuell zu verifizieren. Die Ergebnisse dieses Vergleichs können wie folgt zusammengefasst werden:
Der atmosphärische thermale Effekt, derzeit als der natürliche Treibhauseffekt bekannt, variiert von 93 K am Äquator bis etwa 150 K an den Polen (letztere repräsentiert ein Mittel zwischen mittleren ATE-Werten am Nord- und Südpol, d. h. (158+143)/2 =150.5). Diese Spannbreite passt ziemlich gut zu unserer theoretischen Abschätzung von 133 K für den Gesamt-ATE der Erde, abgeleitet aus Gleichung 6, d. h. 287.6K – 154.7K = 132.9K.
Natürlich sind weitere Analysen der Diviner-Daten erforderlich, um eine präzisere Abschätzung der Mitteltemperatur an der Mondoberfläche abzuleiten und unsere Modellvorhersage zu verifizieren. Allerdings wird schon aus den veröffentlichten Messungen vom Mond deutlich, dass der weithin genannte Wert von 33 K für den mittleren ATE der Erde (GE) ausgesprochen in die Irre führt und falsch ist.
- Schlussfolgerung
Wir haben gezeigt, dass die Strahlungsintensität nach dem Stefan-Boltzmann-Gesetz fälschlich auf die Temperatur angewendet wurde (Gleichungen 1 und 3), um die mittleren Oberflächentemperaturen von Himmelskörpern einschließlich Mars, Merkur und Mond vorherzusagen. Infolge der Hölder’schen Ungleichheit zwischen nicht linearen Integralen liegt die mit Gleichung 3 ermittelte effektive Emissionstemperatur immer signifikant höher als die tatsächliche (arithmetische) Mitteltemperatur eines luftleeren Planeten. Dies macht die planetarische Emissionstemperatur Te aus Gleichung 3 physikalisch inkompatibel mit jeder gemessenen wirklichen Temperatur auf der Erdoberfläche oder in der Atmosphäre. Durch Verwendung einer geeigneten Integration des Stefan-Boltzmann-Gesetzes über eine Sphäre haben wir eine neue Formel abgeleitet (Gleichung 6), um die mittlere Temperatur eines planetarischen Graukörpers abzuschätzen (unter Mithilfe einiger Annahmen). Dann haben wir die nach dieser Formel berechnete Mitteltemperatur des Mondes verglichen mit aktuellen thermischen Beobachtungen durch das Diviner Radiometer Experiment der NASA. Die Ergebnisse zeigen, dass die Mitteltemperatur des Mondes wahrscheinlich sehr nahe dem Schätzwert nach unserer Gleichung 6 liegt. Gleichzeitig zeigen die Mondmessungen auch, dass die gegenwärtige Schätzung von 255 K für die lunare Oberflächentemperatur, die weit verbreitet in der Klimawissenschaft verwendet wird, unrealistisch hoch ist und außerdem demonstriert, wie ungeeignet Gleichung 3 für diesen Zweck ist. Das Hauptergebnis des Vergleichs Mond – Erde (unter der Annahme, dass der Mond eine perfekte Proxy für den Graukörper Erde ist) ist, dass der ATE der Erde, auch bekannt als der natürliche Treibhauseffekt, 3 bis 7 mal größer ist als gegenwärtig angenommen. Mit anderen Worten, die aktuelle GE-Theorie unterschätzt die tatsächliche Wärme durch die Atmosphäre um etwa 100 K! Ausgedrückt als relative thermische Größe (enhancement) wird der ATE zu NTE = 287.6/154.7 = 1.86.
Dieses Ergebnis wirft eine Frage auf: Wie kann eine so große thermische Wirkung (>80%) das Ergebnis einer Handvoll infrarot absorbierender Gase sein, die zusammen weniger als 0,5% der Gesamtatmosphäre ausmachen? Wir erinnern an unsere frühere Diskussion, dass Beobachtungen zufolge die Atmosphäre lediglich 157 bis 161 W/m² langwellige Strahlung von der Oberfläche absorbiert. Kann dieser geringe Fluss die Temperatur der unteren Atmosphäre um mehr als 100 K im Vergleich zu einer luftleeren Umgebung zunehmen lassen? Die offensichtliche Antwort lautet, dass der beobachtete Temperatursprung (temperature boost) nahe der Oberfläche nicht auf dieser atmosphärischen IR-Absorption beruhen kann! Folglich legen die Beweise nahe, dass die untere Troposphäre viel mehr kinetische Energie enthält, als der Strahlungsfluss allein bewirken kann. Die Thermodynamik der Atmosphäre wird durch die Gasgleichung festgelegt, die besagt, dass die kinetische Energie und die Temperatur eines Gasgemischs auch eine Funktion des Drucks ist (unter Anderem, versteht sich). Im Falle eines isobarischen Prozesses, bei dem der Druck konstant und unabhängig von der Temperatur ist, wie es auf der Erdoberfläche der Fall ist, ist es die physikalische Kraft des atmosphärischen Drucks allein, der in vollem Umfang die beobachtete thermische Wirkung (NTE) nahe der Oberfläche erklären kann. Aber dies ist Gegenstand unserer nächsten Studie… Bleiben Sie dran!
Ned Nikolov, Ph.D. und Karl Zeller, Ph.D.
- References
Inamdar, A.K. and V. Ramanathan (1997) On monitoring the atmospheric greenhouse effect from space. Tellus 49B, 216-230.
Houghton, J.T. (2009). Global Warming: The Complete Briefing (4th Edition). Cambridge University Press, 456 pp.
Huang, S. (2008). Surface temperatures at the nearside of the Moon as a record of the radiation budget of Earth’s climate system. Advances in Space Research 41:1853–1860 (http://www.geo.lsa.umich.edu/~shaopeng/Huang07ASR.pdf)
Kuptsov, L. P. (2001) Hölder inequality. In: Encyclopedia of Mathematics, Hazewinkel and Michiel, Springer, ISBN 978-1556080104.
Lin, B., P. W. Stackhouse Jr., P. Minnis, B. A. Wielicki, Y. Hu, W. Sun, Tai-Fang Fan, and L. M. Hinkelman (2008). Assessment of global annual atmospheric energy balance from satellite observations. J. Geoph. Res. Vol. 113, p. D16114.
Paige, D.A., Foote, M.C., Greenhagen, B.T., Schofield, J.T., Calcutt, S., Vasavada, A.R., Preston, D.J., Taylor, F.W., Allen, C.C., Snook, K.J., Jakosky, B.M., Murray, B.C., Soderblom, L.A., Jau, B., Loring, S., Bulharowski J., Bowles, N.E., Thomas, I.R., Sullivan, M.T., Avis, C., De Jong, E.M., Hartford, W., McCleese, D.J. (2010a). The Lunar Reconnaissance Orbiter Diviner Lunar Radiometer Experiment. Space Science Reviews, Vol 150, Num 1-4, p125-16 (http://www.diviner.ucla.edu/docs/fulltext.pdf)
Paige, D.A., Siegler, M.A., Zhang, J.A., Hayne, P.O., Foote, E.J., Bennett, K.A., Vasavada, A.R., Greenhagen, B.T, Schofield, J.T., McCleese, D.J., Foote, M.C., De Jong, E.M., Bills, B.G., Hartford, W., Murray, B.C., Allen, C.C., Snook, K.J., Soderblom, L.A., Calcutt, S., Taylor, F.W., Bowles, N.E., Bandfield, J.L., Elphic, R.C., Ghent, R.R., Glotch, T.D., Wyatt, M.B., Lucey, P.G. (2010b). Diviner Lunar Radiometer Observations of Cold Traps in the Moon’s South Polar Region. Science, Vol 330, p479-482. (http://www.diviner.ucla.edu/docs/paige_2010.pdf)
Ramanathan, V. and A. Inamdar (2006). The Radiative Forcing due to Clouds and Water Vapor. In: Frontiers of Climate Modeling, J. T. Kiehl and V. Ramanthan, Editors, (Cambridge University Press 2006), pp. 119-151.
Smith, A. 2008. Proof of the atmospheric greenhouse effect. Atmos. Oceanic Phys. arXiv:0802.4324v1 [physics.ao-ph] (http://arxiv.org/PS_cache/arxiv/pdf/0802/0802.4324v1.pdf ).
Stephens, G.L., A. Slingo, and M. Webb (1993) On measuring the greenhouse effect of Earth. NATO ASI Series, Vol. 19, 395-417.
Trenberth, K.E., J.T. Fasullo, and J. Kiehl (2009). Earth’s global energy budget. BAMS, March:311-323
Vasavada, A. R., D. A. Paige and S. E. Wood (1999). Near-surface temperatures on Mercury and the Moon and the stability of polar ice deposits. Icarus 141:179–193 (http://www.gps.caltech.edu/classes/ge151/references/vasavada_et_al_1999.pdf)
Link: http://wattsupwiththat.com/2012/01/22/unified-theory-of-climate-reply-to-comments/#more-55210
Übersetzt von Chris Frey für EIKE















Wir freuen uns über Ihren Kommentar, bitten aber folgende Regeln zu beachten:
- Bitte geben Sie Ihren Namen an (Benutzerprofil) - Kommentare "von anonym" werden gelöscht.
- Vermeiden Sie Allgemeinplätze, Beleidigungen oder Fäkal- Sprache, es sei denn, dass sie in einem notwendigen Zitat enthalten oder für die Anmerkung wichtig sind. Vermeiden Sie Schmähreden, andauernde Wiederholungen und jede Form von Mißachtung von Gegnern. Auch lange Präsentationen von Amateur-Theorien bitten wir zu vermeiden.
- Bleiben Sie beim Thema des zu kommentierenden Beitrags. Gehen Sie in Diskussionen mit Bloggern anderer Meinung auf deren Argumente ein und weichen Sie nicht durch Eröffnen laufend neuer Themen aus. Beschränken Sie sich auf eine zumutbare Anzahl von Kommentaren pro Zeit. Versuchte Majorisierung unseres Kommentarblogs, wie z.B. durch extrem häufiges Posten, permanente Wiederholungen etc. (Forentrolle) wird von uns mit Sperren beantwortet.
- Sie können anderer Meinung sein, aber vermeiden Sie persönliche Angriffe.
- Drohungen werden ernst genommen und ggf. an die Strafverfolgungsbehörden weitergegeben.
- Spam und Werbung sind im Kommentarbereich nicht erlaubt.
Diese Richtlinien sind sehr allgemein und können nicht jede mögliche Situation abdecken. Nehmen Sie deshalb bitte nicht an, dass das EIKE Management mit Ihnen übereinstimmt oder sonst Ihre Anmerkungen gutheißt. Wir behalten uns jederzeit das Recht vor, Anmerkungen zu filtern oder zu löschen oder zu bestreiten und dies ganz allein nach unserem Gutdünken. Wenn Sie finden, dass Ihre Anmerkung unpassend gefiltert wurde, schicken Sie uns bitte eine Mail über "Über Uns->Kontakt"Folgen Sie leben die Entwicklung der globalen Temperaturen
http://myearthishot.com
zu #364 Nun, Herr Becker, Sie glauben doch nicht, dass ein Name irgend eine Entschuldigung für falsche physikalische Vorstellungen ist.
Das echte Gärtnerhaus ist doch nun wirklich katastrophal falsch beschrieben!!!
Bei Reflexion in der Atmosphäre, die der DWD-Experte abstreitet, ist es bis auf quantitativ unmaßgebliche Ausnahmen doch noch krasser (z.B. Vulkanismus),
hier wird die kühlende Wirkung doch von niemand abgestritten.
Es hilft nichts,
die Wärmequelle bleibt die Sonne.
Kann sie nicht ungehindert zu Erde strahlen,
kann das NICHT zu einer Erwärmung der Erde führen.
Komischerweise wird ja das Ozon als „Treibhausgas“ hoch geschätzt, gerade weil es die Einstrahlung reduziert.
Für eine vernünftige sachliche Diskussion muss man sich daher endlich dazu durchringen, auf den suggestiven aber falschen Begriff des „Treibhauseffektes“ und der „Treibhausgase“ zu verzichten.
Denn damit will man nur etwas als gegeben behaupten,
das man weder messen kann,
noch exakt physikalisch begründen kann.
mfG
Paul,
„Dines ist also anders als die phantasievolle DWD, KEIN Treibhausvertreter, wie uns Baecker hier unterjubeln will!“
Ich glaube nicht, dass es nötig ist, hier etwas „unterjubeln“ zu müssen.
Ich gehe davon aus, dass Dines seinerzeit auf dem Stand des Wissens war und selbstverständlich die Existenz und die grundlegenden physikalischen Ursachen des Treibhauseffektes kannte.
Die Details waren um 1917 natürlich noch nicht bekannt, so kannte man erst kurz den Tropopausensprung, die Ozonschicht und erst mit Dines wurde die Energiebilanz des Klimasystems noch lückenhaft aufgestellt, so dass wichtige Einflußfaktoren des Strahlungstransportes noch unbekannt waren und der Treibhauseffekt noch nicht so genau wie heute quantifiziert werden konnte.
Paul,
den Meteorologen Dines kennt man v.a. aufgrund seiner arbeiten zur Wellendynamik in der Atmosphäre. Außerdem hat er Gegenstrahlungmessungen durchgeführt. Wenn nun seine Vornamen falsch zitiert wurden, ist das wohl irrelevant. Wenn Prof. Möller damals im Promet-DWD Heft geschrieben hat, dass es einen „reflektierten“ IR-Anteil nicht gibt, so wird er wohl nur darauf hinweisen wolen, dass an Aerosole oder Wassertropfen reflektierte IR-Strahlung bereits vollständig zusammen mit der emittierten thermischen Strahlung Richtung Boden in E (der Gegenstrahlung) erfasst sind.
#361: Günter Heß, Sie betreiben ja eine etwas merkwürdige Physik:
“ Ausserdem ist in der Troposphäre und darüber hinaus die Bedingung für lokales thermodynamische Gleichgewicht mindestens näherungsweise
erfüllt, so dass Schwingungsanregungen rasch thermalisiert werden und man die Planckfunktion als Quellfunktion für die Emission verwenden darf.“
Bei der heftigen Turbulenz, die noch weit über die Troposphäre hinaus geht (ca. 100km), kann sich “ ein lokales thermodynamische Gleichgewicht“ NICHT einstellen.
Weiter ist die „Thermalisierung“ genau der Grund, weshalb die gleiche Energie NICHT zur Emission zur Verfügung steht (1.HS) 🙂 Die Wärme bleibt also in der höheren Atmosphäre und kommt nicht auf der Erde an. Was emittiert werden kann, geht NICHT selektiv zur Erde, sondern mindestens zu 50% in den Weltraum (=Kühleffekt).
Fassen wir zum Abschluss den Beitrag von Ned Nikolov, Ph.D. und Karl Zeller, Ph.D. zusammen,
er handelt NICHT von der druckgetriebenen Zusatzterwärmung der unteren Atmosphärenschicht, die schon länger von H.Jelbring vertreten wird,
sondern um eine fundamentale Kritik der Treibhaustheorie,
bzw. der ihr zugrunde liegenden Berechnungsgrundlage der atmosphärenfreien Erde als „schwarzer Körper“,
die physikalisch im „Treibhausmodell“ bisher FALSCH berechnet wurde.
Der die Oberflächentemperatur beeinflussende Effekt der Atmosphäre (nicht der „Treibhausgase“) ist also WESENTLICH GRÖßER als bisher angenommen,
insbesondere wenn es sich endlich herumgesprochen hat, dass Wasserdampf und Wolken netto natürlich einen Kühleffekt auf diese Oberflächentemperatur haben.
Der Kühleffekt beruht auf der einfachen Tatsache, dass die Wärmequelle die Sonne ist
und ihre Einstrahlung bis auf die Oberfläche (insolation) durch absorbtionsfähige Bestandteile der Atmosphäre (H2O) reduziert wird.
mfG
#360: Wieder mal ein typischer NicoBaecker – Link (DWD)
für die Treibhausgläubigen auf Kindergarten-Niveau
Zitat daraus:
„In Zusammenhang mit der Strahlungsbilanz am Erdboden müssen wir einen Begriff erwähnen, der heute allgemein bekannt ist: die GLASHAUSWIRKUNG der Lufthülle. Man versteht darunter die Tatsache, daß die Sonnenstrahlung relativ ungeschwächt die Erdatmosphäre durchdringen kann (wolkenloser Himmer vorausgesetzt), aber effektiv nur wenig Wärmestrahlung den Boden verläßt, weil die Gegenstrahlung mit bis zu 80% der Emission des Bodens entgegengerichtet ist (falsch!). Das hat zur Folge, dass die Temperatur am Boden viel höher bleibt, als sie ohne Vorhandensein einer Atmosphäre sein würde. Der Unterschied beträgt ungefähr 30 °. (falsch!)“
und jetzt kommts:
„Das Gleiche ist in einem Glashaus der Fall, wo das Glas ebenfalls die Eigenschaft hat, alle kurzwellige Strahlung von außen hereinzulassen, aber die langwellige Strahlung nicht entweichen läßt sondern abschirmt. Glas ist für langwellige Strahlung oberhalb etwa 3µm undurchlässig. Der Begriff der Glashauswirkung ist im Zusammenhang mit der Arbeiten von ARRHENIUS über die Wirkung des Kohlendioxyds auf die Strahlung bekannt geworden …. “
.. und spätestens 1909 von Prof. WOOD widerlegt worden (mit zahlreichen Wiederholungen und grundsätzlich gleichen Ergebnissen).
Baecker, der DWD und alle Treibhausanhänger ignorieren also ungerührt Fakten und verbreiten weiter mehrfach widerlegte Theorien.
Im übrigen ist darin Dines falsch zitiert, der Mann heißt korrekt W.H. Dines, quantitativ angegeben (geschätzt) hat er 1917 nur die Solarkonstante und den Anteil davon der auf der Erde absorbiert wird mit ca 42%, dagegen aber selbstverständlich keine Gegenstrahlungsmengen, schon die Absorbtion (C) in der Atmosphäre „remains to be determined“ (muss noch bestimmt werden).
Weiterhin bestreitet die DWD zu Unrecht ein Reflektionsvermögen der Atmosphäre zum Boden (M).
Dines ist also anders als die phantasievolle DWD, KEIN Treibhausvertreter, wie uns Baecker hier unterjubeln will!
Herr Baecker und Co will den einfachen Gedanken nicht verstehen, dass Sonnenstrahlen, die auf der Erde NICHT ankommen (Absorption in der Atmosphäre), die Erdoberfläche nicht erwärmen können.
Nur deshalb ist es in der Sahara so heiß,
weil hier mehr Sonneneinstrahlung auf dem Boden ankommt als anderswo.
mfG
mfG
Lieber Herr Bäcker,
Danke für diese ausführliche Antwort und Erläuterung. Ich möchte noch folgendes hinzufügen.
Sie schreiben:
„Beide Prozesse zusammen (konvektiver und radiativer Transport) transportieren vom Boden die oben abgestrahlte Energie nach. Das Spektum in diesem neuen Gleichgewichtszustand besteht wie beobachtet aus dem „CO2-Trichter“ in den Banden und dem quasi-planckschen Spektrum mit Bodentemperatur ins transparenten Bereich.“
Was wir im globalen Mittel beobachten ist ein sogenanntes Strahlungs-Konvektionsgleichgewicht. Ausserdem ist in der Troposphäre und darüber hinaus die Bedingung für lokales thermodynamische Gleichgewicht mindestens näherungsweise
erfüllt, so dass Schwingungsanregungen rasch thermalisiert werden und man die Planckfunktion als Quellfunktion für die Emission verwenden darf.
Aufgrund des Strahlungs-Konvektionsgleichgewichts wird bei Anwesenheit von Treibhausgasen auch in der Atmosphäre absorbierte Sonnenstrahlung rasch thermalisiert. Diese absorbierte Sonnenstrahlung führt genauso zu einer Erwärmung des Erdsystems wie an der Oberfläche absorbierte Sonnenstrahlung.
Mit freundlichen Grüßen
Günter Heß
Was ist bei Dines 1917 anderes als bei heutigen Energiebialanzen? Hier Dines Diagramm, S. 17 in http://tinyurl.com/773sg67
Bei Dines gibt es Gegenstrahlung (E) und latente Enegiestroeme, bei Trenberth ebenfalls. Dines hat erstmals Messwerte zusammengetragen, die die Enegiestroeme quantfizieren. Lesenswert auch der Text sowie das Kap. 6 vorher.
Lieber Herr Hess, #341
vielleicht ist es auch noch interessant, zu erfahren, wie sich das Emissionsspektrum beim Übergang einer isothermen CO2-Atmosphäre zur radiativ-konvektiv geschichteten ändert. Wenn die CO2-Atmosphäre mit dem Boden im thermischen Gleichgewicht steht und der Boden ein schwarzer Körper ist, emittiert die Erde ein Schwarzkörperspektrum mit einer effektiven Temperatur, die der Boden- und Atmosphärentemperatur entspricht. Das liegt daran, weil das CO2 die gleiche Temperatur wie der Boden hat. Im transparenten Teil des Spektrums (wo CO2 keine Absorptionsbanden hat) strahlt der Boden direkt ab. In den CO2-Banden strahlt das CO2 aus einer Tiefe, die mit abnehmendem Absorptionskoeffizienten wächst und bei transparent den Boden erreicht. Da aber die Temperatur des CO2 überall gleich ist, ist auch die thermische Strahlungsdichte höhenunabhängig und damit „ergänzt“ die thermische Emission des CO2 die Absorption komplett (in beide Richtungen) und es tritt keine Divergenz in der Strahlungsdichte aus, die ja den Treibhauseffekt kennzeichnet.
Dieser isotherme Zustand ist aber instabil, denn die Sonnenenergie wird komplett am Boden (Vereinfachung: Absorption des CO2s nur im IR außerhalb des Sonnenspektrums) absorbiert, während die Abstrahlung (teilweise) in den Absorptionsbanden in der Höhe erfolgt. Der oben abgestrahlte Betrag muß von unten nachgeliefert werden, um wieder ein stabiles stationäres Gleichgewicht zu erreichen. Da aber initial Isothermie herrscht, gibt es keine Konvektion und die Abstrahlung führt zur oberen Abkühlung. Erst bei Unterschreiten des schwarzschild-Kriteriums setzt Konvektion ein. Gleichzeitig tritt Strahlungsdivergenz wegen des Temperaturgradienten ein. Beide Prozesse zusammen (konvektiver und radiativer Transport) transportieren vom Boden die oben abgestrahlte Energie nach. Das Spektum in diesem neuen Gleichgewichtszustand besteht wie beobachtet aus dem „CO2-Trichter“ in den Banden und dem quasi-planckschen Spektrum mit Bodentemperatur ins transparenten Bereich. Es ist geometrisch klar, dass die Bodentemperatur höher sein muß als im atmosphärenlosen Fall, denn die effektive Temperatur muß in beiden Fällen gleich sein. Und dies kann im Gleichgewichtszustand der CO2-Atmosphäre nur sein, wenn die Planckkurve der Effektivtemperatur unter der des Bodens und über der des trichters verläuft. Der Boden also wärmer ist, die Abstrahlhöhe des Trichters effektiv kälter ist als die effektive Temperatur.
Lieber Herr Hess, #341
zu den weiteren Fragen:
„4) Wir ersetzen jedes Argonatom durch ein CO2-Molekül. Die Masse der Atmosphäre beträgt jetzt ca. 44/28 mal die Masse unserer Atmosphäre [44/40 der Argonatmsosphaere]“
Da CO2 absorbiert (vereinfacht nur im IR), ist die effektive Abstrahlungsflaeche nicht mehr die Erdoberflaeche, sondern liegt in der Atmosphäre. Eine initial isotherme und mit der Erdoberflaeche im GW befindliche Atmosphaere wuerde daher (vereinfacht gesprochen) oberhalb der optischen Tiefe durch Abstrahlung abkuehlen, waehrend unterhalb und am Boden die Temperatur erstmal unveraendert wäre.
Durch die obere Strahlungsabkuehlung wird die Atmosphaere konvektiv instabil und eine vertikale Umschichtung wuerde einsetzen, bei der durch quasiadiabatische Konvektion der Temperaturgradient verkleinert wird. Der initiale Fall eines reinen Strahlungsgleichgewichts der Atmosphäre und steiler vertikaler Temperaturabnahme mit der Höhe (Emden 1909) wird durch ein radiativ-konvektives Gleichgewicht abgelöst, in dem der Temperaturgradient (feucht)adiabatisch ist. In dieser Gleichgewichtskonfiguration ist die effektive Abstrahlunghöhe ebenfalls oberhalb des Bodens und damit die effektive Temperatur kleiner als die des Bodens und in reiner Ar-Atmosphäre. Da die effektive Temperatur aber durch die Sonneneinstrahlung vorgegeben wird und bei 288K unverändert liegt, erhöht sich die Oberflächentemperatur.
5) Wir verdoppeln den Druck des CO2 in dem wir die Anzahl der CO2 Moleküle verdoppeln
Die Höhe der effektiven Abstrahlungsfläche steigt mit steigendem CO2-Anteil.
Nun wieder meine beiden Fragen:?
?1. Erhöht oder erniedrigt sich die mittlere quasistationäre Oberflächentemperatur wenn wir ausgehend von Fall 2 auf Fall 4 und Fall 5 übergehen und die quasistationären Zustände vergleichen.?
Die Temperatur steigt. Aber das und oberes wissen sie doch schon.
?2. Um in allen drei Fällen im stationären Zustand eine quasistationäre Oberflächentemperatur von 288 K zu halten, in welchem Fall muss die Sonne mehr einstrahlen? Muss die Sonne im Fall 2, Fall 4 oder Fall 5 mehr einstrahlen oder muss sie in allen drei Fällen näherungsweise gleich viel einstrahlen??
In Fall2 muß sie am meisten einstrahlen, sonst weniger.
#353
Sehr geehrter Herr Dr. Paul,
Sie haben völlig recht, unsere AGWler verstehen Dines nicht bzw. wollen ihn nicht verstehen,. Damit „verstehen“ diese auch Kramm bzw. Gerlich nicht. Deshalb müssen sie auch die Temperatur einer Erde ohne Atmosphäre falsch berechnen, denn nur mit -18°C ist ihr Treibhausmüll überhaupt möglich, wenn diese die korrekte Temperatur von -129°C nehmen würden, dann fehlt ihnen die notwendige Energie um auf + 15°C oder sind es +14°c genau weiß man dies bei unseren Treibhäusler nie. Dann muß man CO2-Gehalt von Eisbohrkernen nehmen, obwohl diese keine zuverlässigen CO2-Speicher sind, damit man genügend niedrige CO2-Gehalte hat und zusätzlich noch Zeiten zwischen 83 Jahren und 2000 Jahren postulieren in denen noch ein Luftaustausch mit der Atmosphäre stattgefunden hat (natürlich ohne jeden Beweis) damit man Anschluß an die Mauna Loa -Daten findet. Denn mit Werten für das CO2 in der Atmosphäre von 330 -340 ppm wäre mit dem bisschen Anstieg auf 390 ppm kein Blumentopf zu gewinnen. Diese Manipulationen ließen sich fast beliebig erweitern. Wie sagt Schiller doch so treffend: Es ist der Fluch der bösen Tat, daß fortwährend Böses sie muß gebären.
MfG
H. Urbahn
#355: Marvin Müller,
ich lerne immer dazu,
haben Sie das noch nicht bemerkt?
Sie offenbar nicht!
Sie sind nichts als eine stänkernde Witzfigur,
die nicht in der Lage ist, sich an Sachargumenten überhaupt zu beteiligen.
Lassen Sie gefälligst ihren primitiven ad hominem – Quatsch!
Sie haben bisher noch keine EIGENE Stellungnahme zu den vielen physikalischen Fehlern des Treibhausmodells abgegeben.
Wie wär es denn damit,
was hält Herr MM von diesem Treibhausmodell und der Theorie, dass der Mensch es schon verändert hätte?
DAS ist das Thema dieses Beitrags von
Ned Nikolov, Ph.D. und Karl Zeller, Ph.D.,
was ich in #347: noch einmal in Erinnerung gebracht habe:
„Fassen wir zum Abschluss den Beitrag von Ned Nikolov, Ph.D. und Karl Zeller, Ph.D. zusammen,
er handelt NICHT von der druckgetriebenen Zusatzterwärmung der unteren Atmosphärenschicht, die schon länger von H.Jelbring vertreten wird,
sondern um eine fundamentale Kritik der Treibhaustheorie,
bzw. der ihr zugrunde liegenden Berechnungsgrundlage der atmosphärenfreien Erde als „schwarzer Körper“,
die physikalisch im „Treibhausmodell“ bisher FALSCH berechnet wurde.
Der die Oberflächentemperatur beeinflussende Effekt der Atmosphäre (nicht der „Treibhausgase“) ist also WESENTLICH GRÖßER als bisher angenommen,
insbesondere wenn es sich endlich herumgesprochen hat, dass Wasserdampf und Wolken netto natürlich einen Kühleffekt auf diese Oberflächentemperatur haben.
Der Kühleffekt beruht auf der einfachen Tatsache, dass die Wärmequelle die Sonne ist
und ihre Einstrahlung bis auf die Oberfläche (insolation) durch absorbtionsfähige Bestandteile der Atmosphäre (H2O) reduziert wird.
mfG“
mfG
#353: Dr.Paul sagt am Dienstag, 27.03.2012, 23:13:
„#352: Günter Heß , wer Dines(1917) nicht kennt, wird auch Schwierigkeit haben mit dem Verständnis der Fehler der Treibhaustheorie, die uns Baecker mit seinem Strahlungsgleichgewichts – Beispiel gerade wieder mal unterjubeln will,
mit Ihrer werten Hilfe :-)“
Haben Sie in das papier mal reingesehen? Das ist doch einer der ältesten Vorläufer des Trendbertschen Energiebalance-Diagrams, das Sie hier so vehement ablehnen …
„Seit den Arbeiten dieses Dines, der bis heute nicht widerlegt ist, ist bekannt, dass bei globalen Energiebetrachtungen die Annahme eines planetarischen Strahlungsgleichgewichts für die Erdoberfläche falsch ist.?“
Hier werfen Sie eine Behauptung Leistenschneiders in die Runde, die Sie damals schon nicht nachvollziehen konnten. Hat sich da zwischenzeitlich was geändert?
Zur Erinnerung Ihre Aussage: „Mir war immer klar, dass ein „Strahlengleichgewicht mit der Sonne?“ in der Realität nicht existieren kann, über die Begründung durch Dines 1917 konnte im Netz dazu nichts finden. Könnten Sie seine wichtigsten Argumente dafür nennen?“
weiterhin ist eine „globale Temperatur“, die als eine Basisgrößer der „Treibhausmodelle“ eingesetzt wird, physikalisch und mathematisch falsch,
überhaupt nicht wissenschaftlich EINDEUTIG bestimmbar, so dass allein die messtechnischen Schwankungsbreiten größer sind, als das was man beweisen möchte.
Siehe Gerlich oder Kramm et.al.
Es handelt sich also beim Treibhausmodell um einen nicht korrekt berechneten Modellierungsartefakt.
mfG
#352: Günter Heß , wer Dines(1917) nicht kennt, wird auch Schwierigkeit haben mit dem Verständnis der Fehler der Treibhaustheorie, die uns Baecker mit seinem Strahlungsgleichgewichts – Beispiel gerade wieder mal unterjubeln will,
mit Ihrer werten Hilfe 🙂
Seit den Arbeiten dieses Dines, der bis heute nicht widerlegt ist, ist bekannt, dass bei globalen Energiebetrachtungen die Annahme eines planetarischen Strahlungsgleichgewichts für die Erdoberfläche falsch ist.?
mfG
Hallo Herr Bäcker,
sie schrieben:
„Hier mal eine kleine Übungsaufgabe, wer sie löst, hat Chancen, die Strahlungsflüsse im Klimasystem zu verstehen, wer es nicht kann, kapiert auch das Klimasystem nicht.??Eine Scheibe von 1 m2 Fläche wird im leeren Raum der Sonnenstrahlung ausgesetzt, die senkrecht auf eine Seite einfällt. Die Scheibe ist schwarz und absorbiert die einfallende Strahlung komplett. Der Leistungsstrom der Sonnenstrahlung beträgt 1000 W/m2.“
Ich versuche mal eine Antwort unter der Annahme, das die Scheibe senkrecht zur Sonne steht und dünn ist:
1000W,306.5K,1000W,500W/m2,Strahlungsenergie,9.5µm, Kälter als die Sonne,98.5%,0.5%,Nein
a) Wieviel Leistung nimmt die Scheibe maximal auf (in W)?? 1000W
b) Wie heiß wird die Scheibe maximal?? 306.5K
c) Wieviel Leistung gibt die Scheibe nach Erreichen des thermodynamischen Gleichgewichts ab? 1000W
?d) Wie groß ist die Leistungsdichte der abgegebenen Leistung (in W/m2)?? 500 W/m2
e) Aus welcher Energieform besteht die abgegebene Leistung??Strahlungsenergie
f) Bei welcher Wellenlänge liegt das Maximum der Leistung, wenn sie spektral aufgelöst (W/µm) wird (z.B. im Spektrophotometer gemessen)?? 9.5 µm
g) warum liegt dieses bei langwelligeren Wellenlängen als das Maximum der einfallenden Sonnenstrahlung (dies ca. 0,5 µm)??? Kälter als die Sonne
Bonusaufgabe: ?
Wieviel Prozent der abgestrahlten Leistung liegt bei Wellenlängen über 5µm, wieviel der einfallenden Sonnenstrahlung? ??98.5%, 0.5%,
Verstößt die Scheibe gegen den Energieerhaltungssatz? Nein
Allerdings müssen Sie jetzt noch meine Frage aus http://tinyurl.com/cpdsgko
#341
beantworten.
Noch eine Anmerkung. Ich weiß, was Sie meinen. Aber ihr „Thermodynamisches Gleichgewicht“ würde ich lieber durch „stationären Zustand“ ersetzen
Mit freundlichen Grüßen
Günter Heß
#350: NicoBaecker, mir scheint, Sie haben mal wieder zu viel getrunken.
Lesen Sie einfach meinen letzten Beitrag und auch Ihren eigenen, auf den ich geantwortet habe und dann sollten Sie erkennen, wer was behauptet hat
und sich entschuldigen für die Unterstellung.
Auf diesem Niveau ist eine normale Diskussion nicht möglich. Oder geht es Ihnen nur darum meine vernünftigen Erklärung einfach zuzumüllen?
mfG
Paul,
„Selbstverständlich ist sie ausgeschlossen, ganz offensichtlich, wenn Sie alle Energie nach S B abstrahlen wollen,
offensichtlich wollen Sie den 1.HS der Thermodynamik außer Kraft setzen.“
Physik ist kein Wunschkonzert, weder Sie noch ich koenne sich Energiestroeme wuenschen. Welche da sind haengt von der Physik ab. Die vorherrschenden Energiestroeme in der Atmosphaere sehen Sie im Energiebilanzdiagramm, den Erklaerungen hier, Lehrbuechern und sonstigem Bildungsinhalten. Und demnach ist Ihre Behauptung, per Strahlung waere er einzige, falsch. Ganz einfach.
#348: NicoBaecker versucht zu verwirren:
„Glauben Sie…Physiker lernen aber die Kirchhoffsche + Stefan-Boltzmannsche Strahlungsgesetze (und die mathematische Herleitung derselben aus den Prinzipien der Thermodynamik). Und diese besagen, dass zwischen Abstrahlung und Temperatur einer Oberfläche ein eindeutiger Zusammenhang besteht und die Abstrahlungsleistung mit der 4. ten Potenz der absoluten Temperatur zunimmt.
Die Existenz weiterer Energieströme wird dadurch offensichtlich nicht ausgeschlossen.“
Selbstverständlich ist sie ausgeschlossen, ganz offensichtlich, wenn Sie alle Energie nach S B abstrahlen wollen,
offensichtlich wollen Sie den 1.HS der Thermodynamik außer Kraft setzen.
Die Erde erwärmt sich durch Sonneneinstrahlung (insolation), soweit richtig und auch leicht messbar,
wie schon gezeigt (NASA):
http://tinyurl.com/7zugy5t
Jeder der sich etwas mit Wärmeübertragung beschäftigt hat, weiss, dass die „materielle Wärmeübertragung“ wesentlich effektiver ist als die Wärmestrahlung. Wenn Sie das hier irgendwie verschleiern wollen, komme ich auf Ihr eigenes Beispiel mit der heißen Herdplatte zurück.
Sie werden (und jeder kann das selbst ausprobieren)
einen sehr unterschiedlich intensiven „Wärmeübergang“ auf ihre Hand wahrnehmen können, je nach dem,
ob sie die Hand einige cm über die Herdplatte halten (Wärmestrahlung),
oder
ob Sie die Hand direkt auf die heiße Platte legen.
Das ist genau das Problem der vergessenen Wärmeübertragung auf die NICHT STRAHLENDE Atmosphäre (>99%) für die ganze Treibhaustruppe.
Wieder nach dem 1.HS geht diese aufgenommene Wärmeenergie in den >99% NICHT verloren, eben weil sie das nicht ins Weltall abstrahlen kann. Diese vergessene Atmosphäre speichert also Sonneneinstrahlung durch Kontakt mit der Erdoberfläche und zwar immer, sobald die Erdoberfläche wärmer ist als die Atmosphäre darüber.
Und es gibt für diese (von den Treibhausvertretern) vergessene nicht strahlungsfähige Atmosphäre nur einen einzigen Weg, die erhaltene Energie wieder los zu werden,
nämlich
an die Erdoberfläche selbst,
nach den Gesetzten der Thermodynamik (2.HS)
immer dann, wenn ihre Temperatur eben direkt über der Oberfläche höher ist als die der Erdoberfläche.
Und das ist nur möglich, wenn die Sonne nicht strahlt, also nachts.
Gerade weil diese Atmosphäre eben nicht strahlen kann, kühlt sich die Erde nachts deutlich schneller ab. Die Luft ist dann wärmer als der Boden, so dass sich der Wärmestrom umkehrt.
STEFAN-BOLTZMANN-Gesetz sagt:
Die Intensität der Temperaturstrahlung einer Fläche (Energiestromstärke) steigt mit der Temperatur stark an. Das bleibt unberührt.
Das KIRCHHOFFsches Strahlungsgesetz sagt:
Wenn ein Körper Strahlung absorbiert, so erhöht sich seine Temperatur, die zur erhöhten Emission von Temperaturstrahlung führt, bis ein Strahlungsgleichgewicht erreicht ist.
Das bleibt selbstverständlich ebenfalls unberührt.
Ich hoffe, Sie behaupten jetzt nicht, es kommt zu einem Strahlengleichgewicht mit der Sonne mit ihren ca. 6000° C,
Es besteht auf der Erdoberfläche IMMER ein Ungleichgewicht, nicht nur wegen der Erddrehung – Tag/Nacht,
sondern gerade weil Erde und Atmosphäre eine völlig verschiedene Absorptivität für Wärmestrahlung haben. Das dadurch entstehende UNGLEICHGEWICHT ist der permanente Treiber für Wärmeströme gemäß 2.HS.
Und noch einmal:
nach dem 1.HS kann die gleiche von der Sonne aufgenommene Energie nicht zwei mal abgegeben werden, einmal als Wärmeleitung und einmal als Wärmestrahlung.
Selbstverständlich kühlt dadurch die Atmosphäre AM TAG die Erdoberfläche, es wird bei weitem nicht so heiß wie auf dem atmosphärelosen Mond (Sonnenseite). Aber die Temperatur ist ALS MITTELWERT ZWISCHEN TAG UND NACHT deutlich höher als auf dem Mond und höher als ein physikalisch korrekt berechnetes Erdmodell OHNE Atmosphäre, siehe unser Ausgangspunkt Nikolov und Zeller.
mfG
#342: Dr.Paul sagt:am Montag, 19.03.2012, 19:23
„Man kann die Strahlung der Oberfläche bei gleicher Temperatur NICHT konstant halten, wenn die materielle Wärmeabgabe zunimmt.
Das geht nur durch entspr. Temperaturerhöhung.“
Glauben Sie…Physiker lernen aber die Kirchhoffsche + Stefan-Boltzmannsche Strahlungsgesetze (und die mathematische Herleitung derselben aus den Prinzipien der Thermodynamik). Und diese besagen, dass zwischen Abstrahlung und Temperatur einer Oberfläche ein eindeutiger Zusammenhang besteht und die Abstrahlungsleistung mit der 4. ten Potenz der absoluten Temperatur zunimmt.
Die Existenz weiterer Energieströme wird dadurch offensichtlich nicht ausgeschlossen.
Wenn eine Oberfläche vorher im thermodynamischen Gleichgewicht mit konstanter Temperatur ist, so muß der Energieverlust aufgrund thermischer Abstrahlung durch einen zweiten zuführenden Energiestrom ausgeglichen werden, sonst würde die Oberfläche thermische Energie als Strahlung verlieren und abkühlen. Also schon im diesem Fall hat man neben dem Abstrahlungsstrom einen gleich großen Zustrom.
Wenn ausgehend von diesem stationären Zustand konstanter Temperatur ein zusätzlicher Energieabstrom durch Konvektion (ich nehme an, Sie mienen dies mit: „materielle Wärmeabgabe“) einsetzt, so würde die Oberfläche abkühlen, wenn Nichts Kompensierendes passiert. Die Oberfläche würde aber wegen der einsetzenden Konvektion abkühlen und nicht wegen der Abstrahlung. Wegen der Konvektion muß also der Energiestrom entsprechend erhöht werden, damit die Temperatur unverändert bleibt. Kompensiert man also gleichzeitig mit dem Einsetzen der Konvektion bleiben Temperatur und thermische Abstrahlung unverändert konstant! Ihr Satz „“Man kann die Strahlung der Oberfläche bei gleicher Temperatur NICHT konstant halten,“ ist aufgrund der oben genannten Thermodynamik der Strahlung physikalisch unsinnig.
Fassen wir zum Abschluss den Beitrag von Ned Nikolov, Ph.D. und Karl Zeller, Ph.D. zusammen,
er handelt NICHT von der druckgetriebenen Zusatzterwärmung der unteren Atmosphärenschicht, die schon länger von H.Jelbring vertreten wird,
sondern um eine fundamentale Kritik der Treibhaustheorie,
bzw. der ihr zugrunde liegenden Berechnungsgrundlage der atmosphärenfreien Erde als „schwarzer Körper“,
die physikalisch im „Treibhausmodell“ bisher FALSCH berechnet wurde.
Der die Oberflächentemperatur beeinflussende Effekt der Atmosphäre (nicht der „Treibhausgase“) ist also WESENTLICH GRÖßER als bisher angenommen,
insbesondere wenn es sich endlich herumgesprochen hat, dass Wasserdampf und Wolken netto natürlich einen Kühleffekt auf diese Oberflächentemperatur haben.
Der Kühleffekt beruht auf der einfachen Tatsache, dass die Wärmequelle die Sonne ist
und ihre Einstrahlung bis auf die Oberfläche (insolation) durch absorbtionsfähige Bestandteile der Atmosphäre (H2O) reduziert wird.
mfG
#337: Lieber Herr Dr.rer.nat. S.Hader,
Sie haben da wirklich eine ganz wunderbare Beschreibung für die AGW-Wissenschaftler formuliert, die von dem begeistert „grün“ gefärbten „Staat“ (und etlichen EE-Gewinnern) bezahlt wird, danke:
“ Oder ganz plump ausgedrückt, wer zahlt darf auch bestinmen, welche Musik gespielt wird. Wer möchte schon seine besten Kunden vergraulen und sei es nur dadurch, dass man die Physik anders darstellt, als sie von den Lesern gesehen wird. Dagegen ist noch nicht mal viel zu sagen!“
doch ne ganze Menge!
mfG
#343: Gunnar Innerhofer, Sie stören!
Hier wurde nicht von WOOD gesprochen!
Sondern vom Unterschied zwischen einem Modell der Erde mit und ohne Atmosphäre, das Hauptthema dieses Beitrages.
So ein Luftmolekül kann bekanntlich auch Energie aufnehmen.
Was WOOD wusste, spielt überhaupt keine Rolle, in Physik sicher mehr als ein Meteorologe.
Wichtig ist das Ergebnis seines Experiments.
Ich frag mal ganz vorsichtig, ob Sie das überhaupt kennen?
mfG
@337: S.Hader: Sie selbst können natürlich überhaupt keine „Physik anders darstellen“, wie Sie gerne möchten, dann als Informatiker sind Sie ja kein Physiker, oder wollen Sie umsatteln.
Übrigens sind Sie auch kein Statistiker, wie manche hier offensichtlich und fälschlicherweise meinen. Nein, Sie sind nach Ihren eigenen Angaben Informatiker: Schuster bleib bei deinem Leisten.
Sie könnten ja hier einmal aus Ihrem Berufshintergrund heraus einmal die Qualität der verschiedenen GCMS (Klimamodellsysteme auf Deutsch) würdigen. Es wäre in der Tat spannend, von einem Fachmann hierzu Expertise zu vernehmen!
PS: Wenn Sie EIKE etwas spenden möchten, wäre das sicher hier hochwillkommen. Aber auf die Beachtung der Etikette in den Leserkommentaren und deren Kritik bei Fehlverhalten hat dies keinerlei Einfluss. Dazu sind die Herren bei EIKE viel zu objektiv und korrekt, auch wenn SIE sich das nicht vorstellen können.
könnten wir doch bitte endlich den guten alten Wood in Ruhe ruhen lassen?
Was hat denn der Liebe gezeigt?
Wußte er überhaupt, dass ein Teil des auf den Erdboden einfallendem Sonnelichtes auch einen nenneswerten Anteil an IR Strahlung hat?
Wusste Wood, dass auf kleinen Skalen (Labor) die Wärmeleitung entscheidender ist, als der Strahlungsfluss und in der Atmosphäre eben in den entscheidenden Schichten der Strahlungstransport dominiert?
Wood hat definitiv mit dem globalen Treibhauseffekt gar nichts zu tun und ich hoffe, dass so langsam wirklich alle das auch kneisen.
#341: Günter Heß:
„Wir können also als Gedankenexperiment festhalten, dass im Falle einer transparenten nichtstrahlenden Atmosphäre bei konstanter Sonneneinstrahlung eine Verdopplung der Masse der Atmosphäre bzw. der Schwerebeschleunigung die mittlere Oberflächentemperatur der Erde im quasistationären Zustand nicht ändert.“
Nein! können wir nicht!
Man kann die Strahlung der Oberfläche bei gleicher Temperatur NICHT konstant halten, wenn die materielle Wärmeabgabe zunimmt.
Das geht nur durch entspr. Temperaturerhöhung.
mfG
Lieber Herr Bäcker #283,
Danke für die Bestätigung.
Wir können also als Gedankenexperiment festhalten, dass im Falle einer transparenten nichtstrahlenden Atmosphäre bei konstanter Sonneneinstrahlung eine Verdopplung der Masse der Atmosphäre bzw. der Schwerebeschleunigung die mittlere Oberflächentemperatur der Erde im quasistationären Zustand nicht ändert.
Damit ist dann auch der folgende Satz von Nikolov und Zeller aus ihrem letzten Absatz widerlegt:
„Im Falle eines isobarischen Prozesses, bei dem der Druck konstant und unabhängig von der Temperatur ist, wie es auf der Erdoberfläche der Fall ist, ist es die physikalische Kraft des atmosphärischen Drucks allein, der in vollem Umfang die beobachtete thermische Wirkung (NTE) nahe der Oberfläche erklären kann.“
Stattdessen ist es natürlich die Sonne zusammen mit der qualitativen und quantitativen Zusammensetzung der Atmosphäre die die vertikale Temperaturverteilung bestimmen.
Machen wir nun mit unserem Gedankenexperiment weiter.
Was passiert nun, wenn wir ausgehend von meinem 2. Fall in #271 das Argon ersetzen
4) Wir ersetzen jedes Argonatom durch ein CO2-Molekül. Die Masse der Atmosphäre beträgt jetzt ca. 44/28 mal die Masse unserer Atmosphäre.
5) Wir verdoppeln den Druck des CO2 in dem wir die Anzahl der CO2 Moleküle verdoppeln
Nun wieder meine beiden Fragen:?
?1. Erhöht oder erniedrigt sich die mittlere quasistationäre Oberflächentemperatur wenn wir ausgehend von Fall 2 auf Fall 4 und Fall 5 übergehen und die quasistationären Zustände vergleichen.?
?2. Um in allen drei Fällen im stationären Zustand eine quasistationäre Oberflächentemperatur von 288 K zu halten, in welchem Fall muss die Sonne mehr einstrahlen? Muss die Sonne im Fall 2, Fall 4 oder Fall 5 mehr einstrahlen oder muss sie in allen drei Fällen näherungsweise gleich viel einstrahlen??
Mit freundlichen Grüßen
Günter Heß
Herr Kinder,#339
die Energiebilanz der thermischen Stahlung haben Sie schon nicht richtig angeben koennen. Trauen Sie sich nicht, nun endlich mal meine Frage wie gross die Strahlungsflussdichte der durch das
nach oben gerichtete Fenster des Pyrgeometer einfallenden thermischen Strahlung zu beantworten. Oder verstehen Sie nicht, was das Pyrgeometer misst?
Hallo Herr NicoBaecker (#327)
Durch ihre physikalische und mathematische präzise Schlussfolgerung haben Sie bewiesen, dass es keine Strahlung in der Atmosphäre geben kann.
„und würde korrekt folgt, dass J = 2*[e(2)-a(2)] *sb*T(2)^4 = 0 rauskommt“
Damit sind alle Messungen von Strahlung in der Atmosphäre nicht existent, und somit ist die Atmosphäre kein thermischer Strahler, weil der lockere empirischen Zusammenhang der Temperatur vernachlässigbar ist.
Damit konnten Sie feststellen, das es keine Strahlung in den Schichten der Atmosphäre vorhanden ist und somit auch keine „Gegenstrahlung“.
Toll gemacht! Sie haben mich vollkommen überzeugt.
MfG
W. Kinder
PS.: Ich wünsche Ihnen weiterhin stolze Erfolge.
Das Captcha passt: Bombe
zu #336: nun Herr Baecker,
das Problem liegt einfach darin,
dass die AGW-Ideologie so viele wissenschaftlich nachweisbare Fehler beinhaltet,
dass man gar nicht weis, wo man anfangen soll.
Das heist,
wo man auch näher nachhakt in der angeblich drohenden menschen-gemachten Erderwärmung, findet man Widersprüche und Fehler.
Hinzu kommen plumpe Fälschungen wie der hockeystick von M.Mann, der tatsächlich immer noch von Ihnen verteidigt wird, oder das völlig unsinnige und unphysikalische Treibhausmodell dieses Trendberth,
das Sie sich ja auch nicht entblöden mit Zähnen und Klauen zu verteidigen.
Deshalb ist die Schar der Gegner auch so groß.
Diese Kritiker oder besser Realisten müssen weder alle die gleichen Fehler der AGW-Ideologie bekämpfen,
noch müssen sie das noch unzureichend verstandene „Klima“ vollständig erklären können,
oder gar voraussagen können, wie die AGW-Priester.
Mann kann noch nicht einmal das Wetter für mehr als eine Woche voraussagen und die Ursachen einer Eiszeit sind bis heute rätselhaft.
Also beschäftigen Sie sich lieber nicht allzu sehr mit PERSONEN,
das hilft ihrer Glaubwürdigkeit am wenigsten.
mfG
@NicoBaecker, #336: „Ich bin mir jedoch sicher, dass auch eine solche Positionierung nicht dazu fuehren wuerde, dass man die primitive Katzbalgerei durch extremistische dieniers wie Paul, Wehlan, House, Zuber, Demmig, u.v.a dadurch mindert, ich denke, dies ist auch nicht erwuenscht, denn EIKE lebt nicht durch seine Expertise, sondern bestenfalls dadurch, dass es Wutbuergern die Moeglichkeit zum Dampfablassen gibt.“
Und vermutlich(!) lebt es auch davon, dass besagte User zur finanziellen Ausstattung dieses Forum beitragen. Da ist es nur allzuverständlich, dass „zahlende Kunde“ sich wesentlich mehr erlauben können, als unsereins, die sich zwar an den Diskussionen beteiligen, aber nicht freiwillig Spenden für den Verein abdrücken. Oder ganz plump ausgedrückt, wer zahlt darf auch bestinmen, welche Musik gespielt wird. Wer möchte schon seine besten Kunden vergraulen und sei es nur dadurch, dass man die Physik anders darstellt, als sie von den Lesern gesehen wird. Dagegen ist noch nicht mal viel zu sagen! Die Frage ist nur, ob EIKE das auch so offen einräumt, dass manche User gleicher sind als andere.
Lieber Herr Hess,
„Ich wünsche mir deshalb auch schon länger, dass die Physiker im EIKE Fachbeirat zur Physik der Atmosphäre Grundlagenartikel schreiben.“
Das sollte man erwarten. Es ist darueberhinaus gehend auch zu erwarten, dass EIke sich mal zu einer eideutigen Positionierung bekennt. Momentan widersprechen sich die Herrn ja selber, ja nach Laune wird bezweifelt, dass man ein Temperaturerhoehung glibal festmachen koenne, dann wieder werden aber dies als zweifelhaft bezeichneten Ergebnisse wieder benutzt, um die Sonne als Ursache fuer den misstrauten Verlauf
ausgemacht. Das ist weder Logisch, noch motiviert oder konsequent, wissenschaftlich erst recht nicht.
Ich bin mir jedoch sicher, dass auch eine solche Positionierung nicht dazu fuehren wuerde, dass man die primitive Katzbalgerei durch extremistische dieniers wie Paul, Wehlan, House, Zuber, Demmig, u.v.a dadurch mindert, ich denke, dies ist auch nicht erwuenscht, denn EIKE lebt nicht durch seine Expertise, sondern bestenfalls dadurch, dass es Wutbuergern die Moeglichkeit zum Dampfablassen gibt.
Lieber Herr Bäcker #325,
sie schreiben:
„Die Messungen waren nur die Antwort auf die Frage nach dem messtechnischen Nachweis der Existenz der Gegenstrahlung in der Sahaha bzw. trockenen Klimaten“
Diese Existenz der „Gegenstrahlung“ wird durch die Messungen auch sehr schön gezeigt.
Sie schreiben:
„Es aendert aber nichts daran, dass letztlich die Vorgaenge bekannt und geklaert sind, wenn auch die padagogische Erklaerung nicht optimal ist.“
Ja, daran ändert es nichts. Trotzdem müssen Sie berücksichtigen, dass Sie als Diplomphysiker (habe ich jetzt vermutet) eine sehr fundierte Ausbildung in Mathe und Physik haben. Wie gesagt deshalb finde ich ihre Beiträge hier wichtig.
Ich wünsche mir deshalb auch schon länger, dass die Physiker im EIKE Fachbeirat zur Physik der Atmosphäre Grundlagenartikel schreiben.
Mit freundlichen Grüßen
Günter Heß
#327: NicoBaecker,
erklären Sie erstmal,
warum mehr „Wärmestrahlung“ zur Erde als in den Weltraum fließen soll.
In Ihrer Antwort an W.Kinder geht auch sonst einiges durcheinander.
Z.B. kann das KIRCHHOFFsches Strahlungsgesetz in Erdnähe NICHT angewendet werden,
wie oft muss das hier noch wiederholt werden?
Die gleiche Energie kann nicht doppelt verwendet werden.(1.HS)
mfG
#325: NicoBaecker sagt:
Lieber Herr Baecker,
danke für Ihre unermüdliche Schöpfung von neuen Aphorismen:
„Fuer Unwissen habe ich Verstaendnis, nicht jedoch fuer Versuche, persoenliche Unwissenheit als Massstab fuer Alle zu definieren und so Erklaerungen zu verfaelschen.“
– Eines muss man Ihnen lassen, Sie können sehr selbstironisch sein.
– Spamwort: frecher – wie es nur immer so kommt?
#329: NicoBaecker halten Sie sich ganz einfach an das was ich sage und spekulieren Sie doch nicht immer auf das was Sie MEINEN, dass ich es vielleicht sagen wollte.
Komischerweise meine Sie nämlich über das was ich sagen wollte immer FALSCH Baecker.
Der Zusammenhang von „Grünen“ und „Klimamodellen“ ist ganz einfach:
Die Klimamodelle sind mehr oder weniger verdeckt das Ergebnis von Auftragsforschung unehrlicher Pseudowissenschaftler.
Auftragsgeber sind ideologisch „Grüne“,
sie erhalten, was sie erwarten.
mfG
#329: NicoBaecker nun das Wort Kaualität habe nicht ich misbraucht,
sondern ich habe von „Legitimation“ (bewusst in Gänsefüßchen) geredet.
Zusatzfrage:
Wie bitte Herr Student Baecker unterscheiden Sie „Grüne“ und Menschen die diese Klimamodelle machen?
Gruß
Paul,
„warum mehr „Wärmestrahlung“ zur Erde als in den Weltraum fließen“
suchen Sie sich eine der unzaehligen Erklaerungen, die Ihnen bereits gegeben wurden, raus.
Paul,
„Selbstverständlich haben die verrückten Klimamodelle der Politik die „Legitimation“ für das EEG verschafft!!!“
Sie wollen sagen, die Klimamodelle sind Schuld und nicht die Gruenen?
Tut mir leid fuer die fortwaehrende „challange“, aber das Wort Kausalitaet“ ist zu wertvoll, um es missbrauchen zu lassen.
#327: NicoBaecker,
erklären Sie erstmal,
warum mehr „Wärmestrahlung“ zur Erde als in den Weltraum fließen soll.
mfG
Lieber Herr Kinder, #326
„Das Pyrgeometer misst direkt eine Strahlungsflussdichte, die indirekt durch die zugehörige Temperatur des thermischen Strahlers bestimmt ist.“
Bravo, korrekt, meine Rede! Indirekt bedeutet, dass man nur eine lockeren empirischen Zusammenhang herstellen kann (Formelvielfalt solcher aus Messungen abgeleiteter Zusammenhänge in meinem verlinkten paper von Culf, Gash).
„Die Schicht emittiert nach UNTEN und OBEN: e(2)*sb*T(2)^4 + e(2)*sb*T(2)^4“
Das ist die Summe der Beträge der Strahlungsflussdichten, die beidseitig aus dieser Schicht emittiert werden,wenn der Index (2) die Schichteigenschaften bezeichnet.
Wir diskutieren aber über das, was das Pyrgeometer misst.
Also nochmal, was ist Ihre Größe J und in welchem Zusammenhang steht sie mit der Messgröße des Pyrgeometers Fd (= der am Ort des Pyrgeometerfensters nach unten gerichtete Strahlungsfluß), falls es diesen Zusammenhang überhaupt gibt?
„Die Schicht absorbiert von UNTEN und OBEN: -a(2)*a(2)*sb*T(2)^4“
Wenn Sie mit a(2) den Absorptionsgrad nennen, ist diese Formel falsch, wie kommen Sie auf a(2) im Quadrat?
Die Absorption von Unten+oben ist konsequenterweise stattdessen in dieser Näherung: -2*a(2)*sb*T(2)^4
„Da sich diese Schicht quasi im thermischen Gleichgewicht befindet, kann man das 2.Kirchhoffsche Gesetz Absorptionsgrad = Emissionsgrad anwenden.“
…und würde korrekt folgt, dass J = 2*[e(2)-a(2)] *sb*T(2)^4 = 0 rauskommt. Und dies ist auch zu erwarten, denn wir gegen ja von dem Zustand zeitlich konstanter Temperaturverteilung (d.h. nicht notwendigerweise überall gleicher und zeitlich konstanter Temperatur!!) in der Atmosphäre aus.
Ihre Rechnung ist deswegen falsch, weil Sie gar nicht berücksichtigen, dass die gemessene Gegenstrahlung Fd im Pyrgeometer je nach Absorptionstiefe aus verschiedenen Temperaturschichten in der Höhe stammt.
Hallo Herr NicoBaecker (#274, #275, #278)
„Können Sie sich wenigstens darauf einigen, dass das Pyrgeometer Strahlung und nicht Temperatur misst?“
Das Pyrgeometer misst direkt eine Strahlungsflussdichte, die indirekt durch die zugehörige Temperatur des thermischen Strahlers bestimmt ist.
Oder ist die Atmosphäre (Luft) plötzlich kein thermischer Strahler mehr?
„können sie mir mal den Zusammenhang zwischen Ihren Formeln und der Physik zeigen“
Die Schicht emittiert nach UNTEN und OBEN: e(2)*sb*T(2)^4 + e(2)*sb*T(2)^4
Die Schicht absorbiert von UNTEN und OBEN: -a(2)*a(2)*sb*T(2)^4
Da sich diese Schicht quasi im thermischen Gleichgewicht befindet, kann man das 2.Kirchhoffsche Gesetz Absorptionsgrad = Emissionsgrad anwenden.
Unter den Annahmen plan-parallel, keine Bewegung (Strömung), keine Streuung und stationär kann man dann schreiben:
J = e(2)*sb*T(2)^4 + e(2)*sb*T(2)^4 – e(2)*e(2)*sb*T(2)^4 = e(2)*sb*T(2)^4 *[1-e(2)] + e(2)*sb*T(2)^4
Jetzt können Sie sich mal überlegen, wie sich die Messung verhält, wenn man mit und gegen die Strömung misst.
MfG
W. Kinder
Lieber Herr Hess,
„Sie kennen meine Meinung. Gegenstrahlung als Parameter in Wärmeübertragungsproblemen im Erdsystem führt in einigen Meteorologielehrbüchern oder Klimatologielehrbüchern dazu, dass Formulierungen verwendet werden die physikalisch gesehen schlampig sind und anscheinend den 1. Und 2. Hauptsatz verletzten.“
Die Messungen waren nur die Antwort auf die Frage nach dem messtechnischen Nahchweis der Existenz der Gegenstrahlung in der Sahaha bzw. trockenen Klimaten.
Ich stimme Ihnen zu, dass manche Formulierungen in Lehrbuechern schlampig sind. Dies fuehrt dazu, dass man intensiver darueber nachdenken muss und evtl. sogar unnoetig verwirrt wird. Es aendert aber nichts daran, dass letztlich die Vorgaenge bekannt und geklaert sind, wenn auch die padagogische Erklaerung nicht optimal ist.
„Man hat es eben nur in der Hand sich selbst zu überzeugen. Als Beispiel erinnern Sie sich vielleicht an die Diskussion die wir über die numerische und graphische Bestimmung von Ableitungen hatten. Jemand wie der Herr Hader mit einer fundierten mathematischen Ausbildung kann das sofort nachvollziehen. Andere vielleicht nicht. Auch da sollte man Verständnis haben.“
Fuer Unwissen habe ich Verstaendnis, nicht jedoch fuer Versuche, persoenliche Unwissenheit als Massstab fuer Alle zu definieren und so Erklaerungen zu verfaelschen.
„Die Messungen zur Gegenstrahlung und die Emissionsspektren sind anscheinend nicht überzeugend genug.“
Wenn das so waere, so koennte man dies doch auch so artikulieren, oder? Ich glaube nicht, das dies das Problem ist. Ich denke, Dr. Paul weiss, dass die Messungen das Ende seiner Theorie bedeutet.
„Zu den NOAA OLR Daten habe ich mir noch keine abschließende Meinung gebildet, fand diesen Fund von Herrn Zuber aber sehr interessant. Mein erster Eindruck war, dass die Abnahme des Wasserdampfgehalt aus der Reanalyse in mittleren Höhen mit der OLR korreliert. Über die Qualität der Reanalyse kann ich im Moment nichts sagen. Die Diskussion fände ich interessant und lehrreich.“
Das faende ich auch interessant. Der climate explorer ist ein interssantes tool. Hier kann man mal Modellergebnisse vergleichen u.a. auch OLR.
#323: NicoBaecker
was Sie alles für „voelligen bloedsinn“ halten, ist nachweislich ihrer vielen Beiträge immer das, was sie nicht erklären WOLLEN.
Selbstverständlich haben die verrückten Klimamodelle der Politik die „Legitimation“ für das EEG verschafft!!!
Herr Klasen hat also völlig recht!
Das ist auch der wesentliche Grund für die Existenz von EIKE und anderen Kritikern der AGW-Ideologie.
Eine Wolkenkuckucksheim -Diskussion im luftleeren Raum ohne SCHMERZHAFTE politische Konsequenzen würde nicht zu soviel Protest führen.
Ich ärgere mich jedes mal wenn ich an die Tankstelle fahre und der Sprit schon wieder teurer geworden ist!
mfG
Herr Klasen,
Klimamodelle sind aelter als das EEG, Gesetze und Politische Einflussnahme sind aelter als Klimamodelle.
Sie behaupten, dass ohne Klimamodelle es kein EEG gaebe. Ich halte das fuer voelligen bloedsinn, so wie man jeder geschichtlichen Entwicklung keine monokausale Ursache zuordnen kann, gilt dies auch in diesem Fall.
Lieber Herr Klasen,
wenn es nur fuer Duetschland gilt und nicht generell, besteht ja eben offensichtlich keine eindeutige Kausalitaet. ist doch logisch, oder wissen Sie nicht, was Kausalitaet bedeutet?
#307: NiciBaecker, Sie führen hier einen „Beweis“ an,
dass nicht jedes Land so dumm regiert wird, wie Deutschland!
mfG
#304: „Stimmt, denn wer mittels Linearer Regression die Veränderung der Steigung einer Funktion zu bestimmen versucht, hat in den Naturwissenschaften tatsächlich nichts verloren. Gleiches gilt für Leute, die eine Hypothese von einer Theorie nicht unterscheiden können und einen Negativbeweis hinsichtlich einer Hypothese fordern.“
Und welches wissenschaftliche Vergehen haben Sie begangen, dass Sie nichts mehr in der wissenschaftlichen Gemeinde verloren haben, Herr Heinzow?
Lieber Herr Bäcker #294,
sie schreiben:
„Die Messungen der Gegenstrahlung in Niger und des CO2-Emissionsspektrums sowie zu den widersprechenden NOAA OLR Daten kommt nichts mehr.“
Sie kennen meine Meinung. Gegenstrahlung als Parameter in Wärmeübertragungsproblemen im Erdsystem führt in einigen Meteorologielehrbüchern oder Klimatologielehrbüchern dazu, dass Formulierungen verwendet werden die physikalisch gesehen schlampig sind und anscheinend den 1. Und 2. Hauptsatz verletzten. Gut ist das nicht, aber als Naturwissenschaftler kann man aufgrund der Ausbildung aus dem Kontext schließen was gemeint ist. Beziehungsweise liest man in einem Lehrbuch zur Physik der Atmosphäre nach. Man muss aber Verständnis dafür haben, wenn ein Laie in Naturwissenschaften der vielleicht nur in Foren mitliest dann schließt, dass Alles falsch ist. Ist doch legitim. Jeder muss sich kritisch seine eigene Meinung bilden.
Gerade deshalb finde ich auch weiterhin ihre Beiträge wichtig.
Man hat es eben nur in der Hand sich selbst zu überzeugen. Als Beispiel erinnern Sie sich vielleicht an die Diskussion die wir über die numerische und graphische Bestimmung von Ableitungen hatten. Jemand wie der Herr Hader mit einer fundierten mathematischen Ausbildung kann das sofort nachvollziehen.
Andere vielleicht nicht. Auch da sollte man Verständnis haben.
Ich habe das deshalb mal mit Excel für mich nachvollzogen. Da kann man sehr gut zeigen, dass man mit linearer Regression die Ableitung einer Funktion numerisch sehr gut bestimmen kann.
Das Ergebnis sehen Sie hier:
http://tinyurl.com/7tof2kh
Falls Sie oder auch andere Interessierte das Excelfile möchten kann ich gerne an Herrn Limburg ein Update schicken.
Und deshalb plädiere ich auch immer für einen entspannten Umgang in der Klimadebatte.
Die Messungen zur Gegenstrahlung und die Emissionsspektren sind anscheinend nicht überzeugend genug. Das verstehe ich zwar nicht, aber so ist das eben.
Wie gesagt jeder muss sich seine eigene Meinung bilden.
Zu den NOAA OLR Daten habe ich mir noch keine abschließende Meinung gebildet, fand diesen Fund von Herrn Zuber aber sehr interessant. Mein erster Eindruck war, dass die Abnahme des Wasserdampfgehalt aus der Reanalyse in mittleren Höhen mit der OLR korreliert. Über die Qualität der Reanalyse kann ich im Moment nichts sagen. Die Diskussion fände ich interessant und lehrreich.
Mit freundlichen Grüßen
Günter Heß
//// #305: Norbert Fischer sagt:
„O-Ton F. Singer:
„Now let me turn to the deniers. One of their favorite arguments is that the greenhouse effect does not exist at all because it violates the Second Law of Thermodynamics“ ////
Nochmal, es spielt keine Rolle wer was über wen sagt und warum.
Entscheidend ist, dass der „Treibhauseffekt“, wenn es ihn gibt, keine signifikante Temperaturerhöhung bewirken kann, die für „globale Erwärmung“ relevant sein könnte, wie es von Professor Wood durch sein Experiment gezeigt wurde.
Wenn es den „Treibhauseffekt“ nicht gibt, dann kann er logischerweise auch nichts bewirken, eben weil es ihn nicht gibt.
Das ist doch das schöne dabei, dass man gar nicht über komplizierte Sachen argumentieren muss, ein einfaches Experiment von Professor Wood reicht vollkommen aus, um diese Treibhausthese zu widerlegen.