Einleitung
Aus einer religiösen Laune heraus meint man in Deutschland und ein paar anderen Ländern, dass man den Strom mittels Wind-, oder Sonnenenergie gewinnen müsse. Auf die Problematik der Beliebigkeit der Verfügbarkeit dieser „Energien“ und der damit einhergehenden Nutzlosigkeit des auf diese Weise erzeugten Stroms angesprochen, wird immer wieder die Möglichkeit der Stromspeicherung in den Raum gestellt. In der Tat kann man technisch gesehen über gewisse Umwege Strom speichern. Im konventionellen Bereich wird dies seit vielen Jahrzehnten praktiziert um die Kraftwerke gleichmäßiger auszulasten. Allerdings sucht man dies aus Kosten- und Umweltgründen wann immer möglich zu vermeiden. Bei der Stromspeicherung fallen hohe Kosten an, die teils die Kosten der Stromerzeugung übersteigen. Jede Art von Stromspeicherung hat einen Wirkungsgrad. Es kommt nur ein Bruchteil des Stroms aus dem Speicher den man eingespeist hat.

Foto Stefan, Speichersee
Zusammenfassung
Strom ist der am schwierigsten zu speichernde Energieträger. Deshalb wird Strom üblicherweise über Umwege gespeichert. Die Kosten der Stromspeicherung übertreffen teils die Kosten der Stromerzeugung. Man sucht den Strom bedarfsgerecht herzustellen. Innovative Kondensatorkonzepte und Schwungräder bieten sich als Kurzzeitspeicher an. Batterien dienen als Notstromspeicher. Pumpspeicherkraftwerke sind als preiswerte Tagesstromspeicher für konventionelle Stromerzeugungssysteme bewährt. Redox Batterien mit externem Speicher und Wasserstoff könnten technisch gesehen als 2-Wochen, oder Monatsspeicher Wind- und Solarenergie nutzbar machen. Allerdings sind die Kosten dieser Speicherung zusammen mit den ohnehin Vielfachen Kosten dieser religiös motivierten „Energieerzeugung“ nur mehr spirituell zu rechtfertigen.
Wenn man eine ohnehin schon umweltschädliche Windstromerzeugung mit einer Wasserstoffspeicherung (Wirkungsgrad 40%) kombiniert, kann man mit sehr, sehr großer Wahrscheinlichkeit davon ausgehen das es mehr Energie bedarf derartige Anlagen zu errichten und betreiben als diese je an Energie erzeugen.
1. Strombedarf in Deutschland
Einem Stromnetz muss zu jedem Zeitpunkt soviel Strom zugeführt werden wie verbraucht wird. Der Stromverbrauch schwankt abhängig von der Jahreszeit durch den winterlichen Heiz- und Lichtbedarf. Der Strombedarf ist an Feiertagen niedriger, an Werktagen höher. Der Strombedarf schwankt im Tagesverlauf.

Bild 2 in MW (1)
1.1 Stromerzeugung
Der konventionelle Stromerzeugung in Deutschland teilt sich auf in:

Bild 3
Spitzenlast, Abdeckung auftretender Lastspitzen. Hierzu eignen sich schnell regelbare Gasturbinen und Speicherkraftwerke
Mittellast, zusätzliche schwankende Erzeugung gem. des auftretenden Bedarfs, überwiegend Kohlekraftwerke.
Grundlast, Durchgehende Erzeugung des ganztägig auftretenden Bedarfs. Ideale Grundlastkraftwerke sind aufgrund niedriger Brennstoffkosten und hoher Baukosten Kernkraftwerke und Braunkohlekraftwerke.
Als Beispiel, Stromeinspeisung eines Kernkraftwerks

Bild 4
Ein konventionelles Netz bedarf einer „Tagesstromspeicherkapazität“ um die täglichen Lastspitzen abzufangen und die Kraftwerke möglichst gleichmäßig zu betreiben. Auch bei Ausfällen von Kraftwerken, Beispiel die Schnellabschaltung des KKW Krümmel, bedürfen sehr schnell zuschaltbarer Reservekapazitäten.
1.2 Ökostromeinspeisung
Ökostrom fällt unregelmäßig entsprechend den Launen des Wetters an.
|
Eine Tagesspeicherung des umweltschädlichen Windstroms kann die gröbsten Schwan-kungen der Windstromeinspeisung einebnen. Um jedoch mittels Windkraft konventionelle Kraftwerke zu ersetzen bedürfte es einer 2-Wochen, oder Monatsspeicherung.
|
Bild 5
2. Stromspeicherung
2.1 Kondensatoren
In Kondensatoren wird elektrische Ladung zwischen zwei durch ein Dielektrikum getrennte Elektroden gespeichert. Die gespeicherte Energie folgt der Formel:

Bild 6
Bei der Entwicklung von Kondensatoren als Energiespeicher geht die Entwicklung hin zum Nanokondensator. …Dieses Ziel im Blick, ätzten die Forscher Millionen winziger Löcher in eine Aluminiumfolie.
Die Wände dieser nur etwa 50 Millionstel Millimeter breiten und einige Mikrometer tiefen Aushöhlungen beschichteten sie danach mit drei hauchdünnen Schichten aus Titannitrid und Alumimiumoxid. Jede dieser Nanoporen bildete einen kleinen Kondensator. Kontaktiert mit Elektroden aus Aluminium ergab sich ein Stromspeicher, der eine etwa 250-mal größere Oberfläche hatte als konventionelle Kondensatoren gleicher Größe. Dieser Nanostrukturen konnten bei ersten Messungen 100-mal mehr Strom speichern als bisher verfügbare Kondensatoren. Allerdings sind die Strommengen damit immer noch zu gering, um mit Lihtiumionen-Akkus zu konkurrieren… (7)
…Ihre Energiedichte wird mit 5 – 20 kWs/kg angegeben, und es sind Leistungen bis 10 kW erreichbar. Die Lebensdauer-Zyklenzahl beträgt ca. 1 Million und die Energieeffizienz liegt bei rund 95 %. Die Kosten belaufen sich auf 10 – 20 T€/kWh Speicherkapazität. (21)(vergl. Pumpspeicherkraftwerk z.B. 80 €/KWh)
Kondensatoren erlauben einen extrem schnellen Zugriff und werden deshalb sicherlich künftig weitere Anwendungen für unterbrechungsfreie Systeme, in der Elektrotechnik und Elektronik finden. Aufgrund hoher Kosten im Verhältnis zur Speicherkapazität (8), begrenzter Kapazität und hoher Selbstentladung spielen sie keine Rolle als Langzeitspeicher.
2.2 Supraleitende Spulen
Spulen sind die Stromspeicher schlechthin.

Bild 7
Heutige auf Spulen basierende Speicherkonzepte, basieren auf supraleitenden Spulen. Hierzu müssen die heutigen Supraleiter mittels flüssigem Helium, oder Stickstoff gekühlt werden.
Aufgrund der hohen benötigten Kühlleistung weisen SMES eine im Vergleich zu anderen Speichertechnologien hohe Selbstentladerate von etwa 10-12% pro Tag auf. Hohe Wirkungsgrade lassen sich nur bei einer Nutzung als Kurzzeitspeicher erzielen (11, S94)
Der vor einiger Zeit diskutierte Einsatz von SMES in Großanlagen von 1000 bis 5000MWh…zum Tages-/Nachtausgleich sind nach heutigen Kostenanalysen nicht wirtschaftlich realisierbar. Allein schon aufgrund des benötigten großen Spulendurchmessers, der zwischen 100m bis etwa 1Km liegen würde…
SMES benötigen einen hohen Wartungsaufwand und gut ausgebildetes Personal (22).
Aufgrund des hohen Investitionsaufwands, des Aufwands für die Kühlung konnten sich SMES Spulen bislang nicht als Energiespeicher durchsetzen. Ein möglicher Anwendungsbereich könnte der Ausgleich von kurzfristigen Netzschwankungen sein, oder die Sicherstellung einer unterbrechungsfreien Stromversorgung.
2.3 Mechanische Energiespeicher – Schwungrad

Bild 8
Eine seit Jahrhunderten bekannte Methode zur Speicherung von Energie ist das Schwungrad.

Bild 9
Die speicherbare Energie nimmt quadratisch mit der Umfangsgeschwindigkeit und dem Abstand des Schwerpunkts vom Drehpunkt zu. Die Fliehkräfte (Zentripetalkräfte) nehmen gleichfalls quadratisch mit der Winkelgeschwindigkeit und dem Abstand des Massenschwerpunkts vom Drehpunkt zu.
Moderne Schwungräder bestehen demzufolge aus Faserverstärkten Kunststoffen um hohe Drehzahlen zu ermöglichen, bzw. den Fliehkräften standzuhalten. Zugunsten einer möglichst reibungsfreien Lagerung sind die Räder magnetisch gelagert. Die Räder laufen üblicherweise im Vakuum (2). Die Energiedichte kann bis zu 222Wh/Kg erreichen (11). Die Kosten je KW Leistung liegen bei 100 – 300 €/KW. Die Kosten je KWh Speicherkapazität können bei alten Stahlsystemen gem. Wikipedia 5000 €/KWh betragen, Faserverstärkte Systeme sind entsprechend teurer (Ein Vielfaches dessen von Pumpspeicherkraftwerken).
Vorteile sind eine schnell abrufbare hohe Leistung. Nachteile die hohe Selbstentladung von bis zu 20% /Stunde und die hohen Kosten bezogen auf die Speicherkapazität.
Schwungradspeicher sind ideal geeignet um kurzfristige Netzschwankungen, beispielsweise Anfahrströme von Industrieanlagen, oder Anfahr- und Bremsströme von Eisenbahnen zu glätten. Als Tages, oder Monatspeicher für die Stromerzeugung sind Schwungräder nicht geeignet.
2.4 Elektrochemische (Batterie) Speicherung
Eine Zwischenspeicherung von Strom, als Notstromversorgung, oder zur Netzstabilisierung wird seit Jahrzehnten praktiziert. In der Regel werden zu diesem Zweck Blei(akku)batterien wie im Automobil eingesetzt. In der Entwicklung und als Prototypen im Einsatz befinden sich innovative Batteriekonzepte wie die NaS (Natrium-Schwefel) Batterie, oder Vandium Redoxflowbatterien.

Bild 10
Batterien mit internem Speicher dienen vor allem der Kurzzeitspeicherung, während Redoxbatterien mit einem großen, externen Speicher für eine Wochen, oder Monatsspeicherung von Strom geeignet sein könnten. Bei Letzteren lassen sich beliebig große Tanks (Speicherkapazität) relativ preiswert errichten.
…Die Investitionskosten je KW betragen derzeit circa 2000 € für Großspeicher. Das entspricht in etwa dem Dreifachen der Investitionskosten von Druckluftspeichern…

Bild 11 (8)
..Durch die Trennung von Speicher und Wandler ergibt sich eine höhere Anzahl von Zyklen (etwa 12000), aber ein niedrigerer Wirkungsgrad (etwa 80%). Die Trennung von Speicher und Wandler lässt flexible Kombinationen aus Speichergröße und Konverter zu. Aufgrund der hohen Investitionskosten bietet sich aus wirtschaftlicher Sicht eine im Verhältnis zur Konverterkapazität große Speicherkapazität große Speicherdimensionierung (Vollaststunden >8h) an.
Bei den genannten Investitionskosten von 2000€/KW, 5% Zins, 2,5% Betriebskosten, 30 Jahren Abschreibungsdauer (Annuität 6,5%) und 20% Vollaststromerzeugung ergeben sich reine Speicherkosten von 10c/Kwh.
Bei einem Wirkungsgrad von 75% und Preisen für Windstrom von 9,4c/Kwh, bzw. Solarstrom von 16c/Kwh, ergibt sich ein Speicherstrompreis von 23c/KWh für gespeicherten Windstrom und 31c/Kwh für gespeicherten Solarstrom. Die Kosten für Strom aus Kohle und Kernkraft betragen 1,5 – 5c/KWh! Die Netzkosten und Verluste bleiben hierbei unberücksichtigt.
2.5 Druckluftspeicherkraftwerke
In Norddeutschland gibt es wenige Berge die mit ihren Höhenunterschieden die Einrichtung von Pumpspeicherkraftwerken erlauben. Andererseits ist der größte Teil der umweltschädlichen Windmühlen in Norddeutschland aufgestellt. In Norddeutschland gibt es zahlreiche Salzstöcke die sich als Speicher für Druckluft anbieten. Ein Druckluftspeicherkraftwerk ist im Grunde ein Erdgasturbinenkraftwerk. Wie in jeder Gasturbine wird Luft verdichtet, jedoch in diesem Fall nicht direkt in die Brennkammer geleitet, sondern bei Stromüberschuss in einen Speicher eingelagert. Bei großem Strombedarf wird die gespeicherte Druckluft in die Brennkammer der Gasturbine geleitet.

Bild 12
Aufgrund der Verwendung des teuren Brennstoffs Erdgas, des niedrigen Wirkungsgrads der Druckluftspeicherung, wird der Speicher Huntsdorf sowenig wie möglich genutzt. Eine Druckluftspeicherung ist möglich, ist allerdings nicht die erste Wahl. Druckluftspeicher liessen sich mit einer großen Speicherkaverne als 14-Tage Speicher zur Nutzbarmachung „Erneuerbarer Energien“ nutzen.
2.6 Pumpspeicherkraftwerke
Pumpspeicherkraftwerke werden seit etwa 100 Jahren als Stromspeicher genutzt. Gegenwärtig werden in Deutschland Pumpspeicherkraftwerke mit gut 6610MW Leistung und 40GWh (11) Speicherkapazität betrieben. Pumpspeicherkraftwerke sind vergleichsweise preiswert und ermöglichen einen Ausgleich der täglichen Lastspitzen.(8)
..Kosten. PSW werden seit vielen Jahrzehnten wirtschaftlich rentabel eingesetzt. Die Investitionskosten betragen in etwa 750 €/KW..
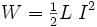
Physikalisch ergibt sich die Energiespeicherung aus:
W = D x g x ΔH x V (Dichte des Wassers x Erdbeschleunigung x Höhendifferenz x Speichervolumen)
Die Energiespeicherung ist linear abhängig von der Höhendifferenz des Ober- und Unterbehälters und des Speichervolumens.
Schema Speicherkraftwerk:

Bild 13
Die Gesamtverluste der Umwandlung halten sich in Grenzen. Etwa ¾ des eingespeisten Stroms können wiedergewonnen werden. Hinzu kommen die Verluste/Kosten der Zuleitung des zu speichernden und Ableitung des gewonnenen Stroms.

Bild 14
Pumpspeicherkraftwerke sind die erste Wahl als Tagesstromspeicher. Die Ausnutzung der Speicher beträgt etwa 20%. Das heißt ein Pumpspeicherkraftwerk liefert etwa 20% des Tages Vollast. Gleichfalls wird 20% des Tages die volle Pumpleistung aus dem Netz bezogen.

Bild 15
Pumpspeicherkraftwerke sind die idealen Speicher für eine Tagesstromspeicherung und ergänzen den Einsatz von Kohlekraftwerken und umweltfreundlichen Kernkraftwerken. Pumpspeicherkraftwerke können beim Einsatz umweltschädlicher Windmühlen einen Beitrag zur Milderung von Erzeugungsspitzen leisten. Allerdings reichen die Pumpspeicherkapazitäten nicht aus um ein unbegrenztes Anwachsen der Windstromkapazitäten auszugleichen.
Zykluskosten Pumpspeicherkraftwerk am Beispiel des Projekts Atdorf
Aus der Investitionssumme von 1 Mrd. € und einer Leistung von 1400 MW (19) ergibt sich eine Investitionssumme von knapp 750 €/KW. Bei einem Zinssatz von 5% über 30 Jahre ergibt sich eine Annuität von 6,5%. Bei 1% Betriebskosten entspricht dies 75 Mio € Kosten pro Jahr. Die beiden größten Pumpspeicherkraftwerke Goldisthal und Atdorf haben Speicherkapazitäten von knapp 8 und 9 Stunden. Bei einer Tagesspeicherung mit 20% Vollast – Speicher und Leistungsbetrieb ergeben sich Speicherkosten von 3c/KWh.
Bei einem 2 Wochenzyklus und 9h Speicherkapazität ergibt sich eine Auslastung von 2,7%. Damit betragen die Speicherkosten 23c/KWh. Aufgrund der geringen Speicherkapazität der realen PSW- Kraftwerke betragen die Kosten einer 2 Wochenspeicherung zig-faches einer Tagesspeicherung.
Pumpspeicherkraftwerke sind geeignet die Einspeisung des Zufallsstrom aus Wind,- und Solarenergie zu glätten und die Gefahr von Netzzusammenbrüche zu reduzieren, allerdings sind diese nicht geeignet Wind- u. Solarstrom zu erträglichen Preisen als Grundlaststrom nutzbar zu machen.
Die Kosten für gespeicherten Tagesstrom, Strom aus Kohle, oder Kernenergie, Erzeugungskosten 3c/Kwh (abgeschrieben), 75% Wirkungsgrad, 3c/KWh Speicherkosten ergibt sich ein Speicherstrompreis von 7c/KWh zuzüglich der Netzkosten und Verluste.
Die Kosten für gespeicherten Strom aus Windstrom, 2 Wochenspeicher, Strompreis gem. EEG 9,4c/Kwh betragen 36c/Kwh zuzüglich der Netzkosten und Verluste.
Die Kosten für gespeicherten Strom aus Solarstrom, 2 Wochenspeicher, Strompreis gem. EEG 16c/kWh betragen 44c/KWh zuzüglich der Netzkosten und Verluste.
Wind- und Solarstrom lässt sich auch mit Pumpspeicherkraftwerken zu Grundlaststrom konvertieren. Allerdings sind die Kosten ökologisch.
Die Pumpspeicherkraftwerkskapazität wird, soweit dies Landschaftsschutz und Bürgerinitiativen zulassen, kontinuierlich ausgebaut. Ein weiteres Potential böten die aufgelassenen Braunkohlegruben, die man als Untersee nutzen könnte. Zusammen mit Seen auf Landschaftshöhe liessen sich die Speicherkapazitäten signifikant erweitern .
2.7 Wasserstoff als Energiespeicher
Aufgrund der hohen Energiedichte bietet sich eine chemische Wasserstoffspeicherung als 2- Wochen, oder Monatsspeicher an um Wind- und Solarstrom grundlastfähig zu machen.
Funktion einer Wasserstoffspeicherung

Bild 16
Eine Alternative könnte es sein den erzeugten und gespeicherten Wasserstoff anstatt diesen zur Stromerzeugung zu nutzen an die chemische Industrie zu verkaufen. Allerdings wäre dies ein recht teurer Wasserstoff, insbesondere wenn man den aus religiösen Gründen subventionierten Ökostrom hierzu verwendet.
Kosten
Die Investitionskosten sind mit bis zu 2.500€/KW(für eine Speichergröße von 12h und einer Erzeugungsleistung von 300MW)vergleichsweise hoch. Sie werden vor allem durch den Konverter verursacht.
Auslegung
Die im Vergleich zum Speicher sehr hohen Konverterkosten fördern Anlagenkonfigurationen, in denen ein großes Speichervolumen eine hohe Vollaststundenzahl des Konverters ermöglicht.(8)
Einsatzmöglichkeiten
Der Wirkungsgrad ist mit 30 – 40% sehr niedrig. Auf Grund der im Vergleich zu Druckluft- oder Pumpspeicherkraftwerken hohen Energiedichte von Wasserstoff, ist mit Wasserstoff die Speicherung größerer Energiemengen bei geringem Platzbedarf möglich.
Zykluskosten Wasserstoffspeicher
Aus der Investitionssumme von 2500 €/KW Leistung (Die Größe der Kaverne ist nicht maßgebend für die Kosten einer Wasserstoffspeicherung), 30 Jahren, Abschreibungsdauer, 5% Zins, 6,5% Annuität und 2% Betriebskosten ergeben sich bei einer Nutzung von 20% Vollasteinspeicherung und 20% Vollastleistung reine Speicherkosten von 12c/kWh.
Die Kosten für gespeicherten Strom aus Windstrom (Land), 2 Wochenspeicher, Strompreis gem. EEG 9,4c/kWh, Wirkungsgrad 40%, betragen 36c/kWh zuzüglich der Netzkosten und Verluste.
Die Kosten für gespeicherten Strom aus Solarstrom, 2 Wochenspeicher, Strompreis gem. EEG 16c/kWh (b), Wirkungsgrad 40%, betragen 52c/kWh zuzüglich der Netzkosten und Verluste.
Angesichts von Stromerzeugungskosten von 1,5 – 5c/kWh in modernen Kohle und Kernkraftwerken (s. Artikel Stromerzeugung) sind die obigen Erzeugungs-, und Speicherkosten zu denen noch die Verluste von 60% des eingespeisten Stroms und die Leitungskosten hinzukommen, ausschließlich ökoreligiös zu verstehen.
3. Zusammenfassung der Kostensituation
Die Kosten des Stroms, der Speicherung und der Speicherverluste betragen häufig ein Mehrfaches der Stromerzeugung.

Bild 17
Zu den oben genannten Kosten addieren sich die Netzkosten (Kraftwerk –Speicher-Verbraucher) und die Transportverluste von etwa 1 -3% je 1000Km Leitung (5).
4. Nutzung verschiedener Speicher in einem Stromnetz

Bild 18
A. Superkondensatoren, Spulen und Schwungräder eignen sich ideal für eine Kurzzeitspeicherung von Strom und einer Stabilisierung der Stromnetze.
B. Batterien mit internem Speicher eignen sich am Besten für eine Notstromversorgung von Krankenhäusern und Industriebetrieben die auf eine 100% Stromversorgung angewiesen sind
C. Pumpspeicherkraftwerke und mit Abstrichen Druckluftspeicher eignen sich zum Tagesausgleich der Stromversorgung.
D. Vanadium Redox Batterien mit externem Speicher und Wasserstoffspeicher eignen sich am ehesten zum Ausgleich der Erzeugungsschwankungen der Wind- und Solarstromproduktion, wobei die Kosten dieser Speicherung ökologisch sind.
Horst Trummler – Vandale
www.oekoreligion.npage.de
Erläuterungen:
a. Umrechnung KWh, GJ, SKE: 1 Kg SkE = 8,14 KWh = 29 MJ, 1 MJ = 0,278 KWh
b. Erläuterung Solarstrompreis… Gem. (24) werden die Einspeisevergütungen für Solarstrom dieses Jahr zwischen 12,7 und 19,5 c/kWh abhängig von der Anlagengrösse und dem Zeitpunkt der Inbetriebnahme betragen. Für diese Betrachtung wurde ein Preis von 16c/kWh angenommen.
f. Die Berechnung der Kapitalkosten erfolgt in diesem Artikel (in den anderen Artikeln wurde dies ähnlich Modell 1 gerechnet) auf der Basis einer gleich bleibenden Annuität.

Bei dieser Betrachtung bleibt die Geldentwertung unberücksichtigt! In der Realität nehmen die Kapitalkosten eines Kraftwerks durch die Geldentwertung ab.
Quellen:
1. Homepage des UCTE (Europäisches Verbundnetz) vom 01.04.09
2. Diss. ETH 11444, Schnelldrehendes Schwungrad aus faserverstärktem Kunststoff, Peter von Burg, 1996
3. http://www.bmwi.de/BMWi/Navigation/Service/publikationen,did=53736.html Bundeswirtschaftsministerium
4. Who needs pumped storage plants?, Dr. Peter Vennemann, VGB Congress Power Plants 2009, Lyon, 23rd to 25th Sept. Vattenfall Wer
5. Energiespeicherung, Transport und Netzmanagement, Daniel Groß, Katharina Nowak, Andrea May, Matthias Schelling. Integration Erneuerbarer Energien, Druckluftspeicher
6. Integration erneuerbarer Energien, 18. Februar 2008, EON Energie Dr. Wolfgang Woyke
7. http://www.weltderphysik.de/de/4245.php?ni=1325, Effizienter Stromspeicher aus Nanoporen 20.03.2009 | Welt der Stoffe
8. DENA Studie,


9. Einbindung von Speichern für erneuerbare Energien in die Kraftwerkseinsatzplanung – Einfluss auf die Strompreise der Spitzenlast, Dissertation Vanessa Grimm, Ruhr Uni Bochum, 2007
http://www-brs.ub.ruhr-uni-bochum.de/netahtml/HSS/Diss/GrimmVanessa/diss.pdf, S16
10. Siemens PDF zu Energiespeichern
11. Büro für Technikfolgenabschätzung beim Deutschen Bundestag, Energiespeicher- Stand und Perspektiven, Dagmar Oertel, S35, S37, S94.
12. Energiespeicher in Stromversorgungssystemen mit hohem Anteil erneuerbarer Energieträger Bedeutung, Stand der Technik, Handlungsbedarf 24.03.2009
13. http://www.vde.de/de/fg/ETG/Arbeitsgebiete/V1/Aktuelles/Oeffentlich/Seiten/Energiespeicherstudie-Ergebnisse.aspx
14. Reaktortechnik 2, Vorlesung, April 1992,RWTH Aachen, Prof. Dr. Ing. K. Kugler, S144-147
15. http://www.wisoveg.de/rheinland/erft/erft-rb.htm Zugriff 01.
16. http://www-classic.uni-graz.at/inmwww/NEU/lehre/pdf/Energiewirtschaft_WS0506_Teil2.pdf
Logistik der Stromerzeugung Haar&Haar
17. http://www.energie-verstehen.de/Energieportal/Navigation/strompreise,did=249606.html
vom 18.04.09
18. Who needs pumped storage plants? VGB Congress Power Plants 2009, Lyon 23 – 25.09, Vattenfall Europe Generation, RWE Power 29.09.2009, Dr. Hans Funke RWE Power AG, Lothat Thiel Vattenfall Europe Generation AG, Dr. Peter Vennemann, RWE Power AG.
19. http://www.landkreis-waldshut.de/landkreis-waldshut/index.php?id=3177
20. http://de.wikipedia.org/w/index.php?title=Datei:PV-Norddeutschland-2008-Tagesdarstellung.svg&filetimestamp=20090620134220 Jahresgang 2008,
Der Urheberrechtsinhaber dieser Datei hat ein unbeschränktes Nutzungsrecht ohne jegliche Bedingungen für jedermann eingeräumt. Dieses Nutzungsrecht gilt unabhängig von Ort und Zeit und ist unwiderruflich.
21. http://www.buch-der-synergie.de/c_neu_html/c_10_03_e_speichern_batterien_2.htm
22. Dr. Arman Nylias FZK.
23. Gem. dieser Quelle beträgt die Einspeisevergütung 2012 8,93c/kWh zzgl. Systemdienstleistungbonus 0,49c/kWh zzgl. Ggf. Repoweringbonus 0,49c/kWh
24. Google Ergebnisse
|
Photovoltaik Einspeisevergütung ab 01.04.2012 (stand 17. April 2012) |
||||
|
|
Installierte Anlagenleistung – PV Dachanlagen / Vergütung in Cent je KWh |
|
||
|
Bis 10 KW |
Bis 1000 KW /1 MW |
1 MW – 10 MW |
|
|
|
Ab 01.04.2012 |
19,50 Cent |
16,50 Cent |
13,50 Cent |
|
|
Monatliche Degression Mai – Oktober 2012 |
1,0% |
1,0% |
1,0% |
|
|
Ab 01.05.2012 |
19,31 Cent |
16,34 Cent |
13,37 Cent |
|
|
Ab 01.06.2012 |
19,12 Cent |
16,18 Cent |
13,24 Cent |
|
|
Ab 01.07.2012 |
18,93 Cent |
16,02 Cent |
13,11 Cent |
|
|
Ab 01.08.2012 |
18,74 Cent |
15,86 Cent |
12,98 Cent |
|
|
Ab 01.09.2012 |
18,55 Cent |
15,70 Cent |
12,85 Cent |
|
|
Ab 01.10.2012 |
18,36 Cent |
15,54 Cent |
12,72 Cent |
|
Horst Trummler (Vandale) für EIKE
















Wir freuen uns über Ihren Kommentar, bitten aber folgende Regeln zu beachten:
- Bitte geben Sie Ihren Namen an (Benutzerprofil) - Kommentare "von anonym" werden gelöscht.
- Vermeiden Sie Allgemeinplätze, Beleidigungen oder Fäkal- Sprache, es sei denn, dass sie in einem notwendigen Zitat enthalten oder für die Anmerkung wichtig sind. Vermeiden Sie Schmähreden, andauernde Wiederholungen und jede Form von Mißachtung von Gegnern. Auch lange Präsentationen von Amateur-Theorien bitten wir zu vermeiden.
- Bleiben Sie beim Thema des zu kommentierenden Beitrags. Gehen Sie in Diskussionen mit Bloggern anderer Meinung auf deren Argumente ein und weichen Sie nicht durch Eröffnen laufend neuer Themen aus. Beschränken Sie sich auf eine zumutbare Anzahl von Kommentaren pro Zeit. Versuchte Majorisierung unseres Kommentarblogs, wie z.B. durch extrem häufiges Posten, permanente Wiederholungen etc. (Forentrolle) wird von uns mit Sperren beantwortet.
- Sie können anderer Meinung sein, aber vermeiden Sie persönliche Angriffe.
- Drohungen werden ernst genommen und ggf. an die Strafverfolgungsbehörden weitergegeben.
- Spam und Werbung sind im Kommentarbereich nicht erlaubt.
Diese Richtlinien sind sehr allgemein und können nicht jede mögliche Situation abdecken. Nehmen Sie deshalb bitte nicht an, dass das EIKE Management mit Ihnen übereinstimmt oder sonst Ihre Anmerkungen gutheißt. Wir behalten uns jederzeit das Recht vor, Anmerkungen zu filtern oder zu löschen oder zu bestreiten und dies ganz allein nach unserem Gutdünken. Wenn Sie finden, dass Ihre Anmerkung unpassend gefiltert wurde, schicken Sie uns bitte eine Mail über "Über Uns->Kontakt".
Heute kostet ein kWh ca. 200€ Stromspeicher, nur noch 10% die Herr Trummler gebracht hat.
Und nun? Wie will man damit eine stromintensive Industrination versorgen? Mal bitte vorrechnen.
Irgendwie haben Sie nicht verstanden, dass man mit Akkus nur die Stromspitzen „abschneidet“ und Stromlücken auffüllt.
Das Speichern von Strom kostet ca. 5 Cent/kWh.
.
Die Industrienation Deutschland versorgen die erneuerbaren zu über 50% mit EE-Strom im Jahr.
Doch, das habe ich sehr wohl verstanden. Und mal bitte vorrechnen, wie viele Akkus wir in Deutschland brauchen, um drei Wochen Dunkelflaute zu überstehen.
Aber leider nicht bedarfsgerecht. Deswegen brauchen wir Backupkraftwerke. Hältst Du das für effizient? Ich nicht.
.
Und mal bitte vorgegeben, welche drei Wochen Dunkelflaute Sie meinen, dann kann man das ausrechnen, was man an Akkus gebracht hätte.
.
.
Backupkraftwerke haben wir bereits immer gebraucht, auch vor dem EEG.
Und die fossilen Backupkraftwerke wurden durch den Ausbau der Erneuerbaren weniger (GW) im Laufe der Jahrzehnte.
Warum und zu welchem Preis?
Gibt es einen Unterschied zwischen drei Wochen Dunkelflaufte? Wäre mir neu, aber ich lerne gerne dazu.
Dann mal bitte für die unterschiedlichsten „drei Wochen Dunkelflaute“ den Bedarf an Akkus vorrechnen. Ich bin gespannt.
Und mal bitte vorgegeben, welche drei Wochen Dunkelflaute Sie meinen, dann kann man das ausrechnen, was man an Akkus gebracht hätte.
.
.
Warum?
Jedes Kraftwerk kann mal ohne Vorwarnung ausfallen, da muss Backupkraftwerksleistung bereitstehen, das war auch vor dem EEG so.
Was genau an Strom benötigt wird, kann man nicht genau vorhersahen, da muss Backupkraftwerksleistung bereitstehen, das war auch vor dem EEG so.
.
zu welchem Preis?
Backupkraftwerksleistung ist teuer, nur nimmt die Backupkraftwerksleistung ab mit dem Ausbau der erneuerbaren.
Im Kern haben Sie meine Frage nicht beantwortet.
Und die folgende Aussage von Ihnen ist schon mathematisch grottenfalsch.
Je mehr Strom aus Windmühlen, umso mehr Backupkraftwerksleistung wird benötigt, wenn die Windmühlen null liefern. Klingt das für Dich logisch? Ja, reine Logik.
.
Herr Michael Poost EIKE-Admin,
Sie haben kein Datum vorgegeben, auf Nachfrage.
Da nehme ich mal die vergangen 3 Wochen KW49, 50 und 51 um den Akkubedarf für die Dunkelflaute zu berechnen.
Die erneuerbaren haben in den 3 Wochen ca. 16,6TWh abgeliefert.
Stromnachfrage hatten wir in den 3 Wochen ca. 28,9TWh
12,3TWh was die erneuerbaren nicht gebracht haben in den 3 Wochen.
Unsere Gaskraftwerke ca. 37GW stellen die Backupkraftwerke dar, wenn fast alle Kohlekraftwerke stillgelegt wurden.
Wen da in den 3 Wochen nur 25GW von den bereits ca. 37GW der Gaskraftwerke liefern sind das ca. 12,6TWh.
In den 3 Wochen Dunkelflaute KW49, 50 und 51-2024 braucht man gar keine Akkuspeicher.
Wieder meine Kernfrage nicht beantwortet.
Die Zukunft wird es zeigen.-
.
2000 hatten wir insgesamt ca. 95GW an Kraftwerksleistung fossil und Kernkraft, die Versorgungssicherheit gegenseitig als Backupkraftwerksleistung abgesichert haben.
EE-Stromanteil um die 6%.
.
2024 hatten wir insgesamt ca. 75GW an Kraftwerksleistung fossil, die Versorgungssicherheit als Backupkraftwerksleistung absichern.
EE-Stromanteil um die 60%.
Danke für Deinen Beitrag, aber ist noch immer nicht die Antwort auf meine Frage.
.
Ihre Frage war:
.
Und das habe ich Ihnen vorgerechnet am 23. Dezember 2024 21:11, dass Deutschland gar keine Akkus brauch, um 3 Wochen Dunkelflaute zu überbrücken.
Und warum nicht?
Wir hatten doch gar keinen 3 Wochen Dunkelflaute, deshalb muss man auch keinen 3 Woche Dunkelflaute überbrücken.
.
Wir speichern auch teilweise unsere PV-Überschüsse in den Akkus der vorhandenen E-Autos und das sind keinen zusätzlichen Investitionskosten je kW vorhanden.
A. Röck (Cand.-Ing.) @111: I) Mister Wiesner, Ihr Schwungrad (CFK) ist viel ineffektiver, als eines aus Stahl! II) Dichte Stahl = 7,85, CFK = 1,5! Falls zutrifft, dass das CFK-Rad, bei m = 25 t und n= 6000 U/min. ca. 6,5 MWh Energieinhalt ergibt, dann steht dem ggb.:
II) Das gleichgroße aus Stahl, Dichte = 7,85 g/cm³ könnte (7,85/ 1,5), also 5,2 mal mehr speichern!
III) Das PSW, geplant in Atdorf, 9 Mio m³ Wasser, Fallhöhe netto 600m; Capacity = 1400 MW x 10 h = 14000 MWh; also 2500 mal mehr, als ihr CFK- Bastel-Ding.
IV) Mit Typ Atdorf kann man 700 WKA für 10 h überbrücken! Mit ihrem Bämperlsding können Sie 1 WKA überbrücken nur 2,8 h lang.
V) 9. Klasse Schulphysik wiederholen! Oh, wie gut, dass keine Frauen hier sind; die sähen, was für Schwätzer die Männchen sind! Rwindenergie[at]gmx.de 18.2.1014
Hallo Herr Dr. Paul,
tatsächlich ist es wesentlich sinnvoller die Energiespeicher dort zu haben wo die Energie verbraucht wird, also bei den Städten, Gemeinden und Industrien, nicht dort wo sie produziert wird. Auf diese Weise könnte man auch das bereits vorhandene Leitungsnetz nutzen und so zumindest teilweise die Kosten des geplanten Ausbaus einsparen.
Schwungräder stehen und fallen mit den eingesetzten Materialien. Stahl erlaubt einen maximalen Energieinhalt von ca. 32 Wh/kg, mehr geht nicht, die Berstgrenze ist erreicht. Mit CFK dagegen liegt der theoretisch erreichbare Energieinhalt bei 222 Wh/kg, was bei einem 25 Tonnen schweren Rotor ca. 5,6 MWh entspricht. Wir wollen das schrittweise erreichen, der erste Schritt sind 0,5 MWh, dann 0,75, etc. . Der Rotor bleibt dabei immer derselbe, nur die Drehzahl und die Leistungselektronik ändern sich.
Natürlich ist es im Moment noch unglaublich teuer einen 25 Tonnen schweren Rotor aus CFK zu bauen, hier helfen aber die generelle Preisentwicklung – getrieben durch die Automobilindustrie – und ein spezielles Verbundverfahren das wir entwickeln (mehr darf ich nicht verraten 😉 ).
Der Rest ist im wesentlichen Stand der Technik, ’no rocket science‘ würde der Engländer sagen. Die Lagerung eines 25 t Rotors bei 6.000 U/min ist natürlich nicht trivial, ebenso die zu erwartenden Resonanzen im Rotor und der Welle, aber das ist alles beherrschbar. Unser Ziel ist eine Selbstentladung von ca. 1 – 2% / h, die Lagerleistung darf bei einer 1 MWh-Einheit also nicht höher als 20 kW werden. Der Rotor dreht natürlichim Niederdruck (Vakuum), wir werden aber auch Helium-Füllungen ausprobieren.
Mehr gibt es dazu eingentlich nicht zu sagen, nur dass erst die jüngsten politischen Entwicklungen so eine Einheit überhaupt sinnvoll haben werden lassen. Der Rest ist normale Deutsche (oder Schweizer 😉 ) Ingenieurskunst :-). Fragen gerne an mich : christian dot wiesner AT rotokinetik dot de .
#109: hallo Herr Christian Wiesner,
dann lassen Sie doch mal hören, wo denn der Haken bei diesen genialen Schwungräder steckt.
Ich höre da schon seit 50 jahren von.
In der Schweiz hatte es früher schon mal Elektrobusse mit Schwungrädern gegeben.
Vielleicht kann ein Physiker dazu was sagen.
Wäre doch genial für diese Windmühlen, wenn die gleich so ein Schwungrad in ihrem Fundament hätten.
mfG
Wir forschen derzeit an kommerziell nutzbaren Schwungradspeichern mit 0,5 – 1,0 MWh Energieinhalt, zu akzeptablen Preisen :
http://www.rotokinetik.de
Der Schwungradspeicher wie oben dargestellt, der wohl im Forschungszentrum in Garching steht, hat übrigens eine Kapazität von deutlich mehr als 400 kWh, sie sollte tatsächlich bei ca. 1,4 MWh liegen.
Die 400 kWh entsprechen der Nenn-Energiemenge die der Einheit im Regelsbetrieb entnommen wird. Dabei sinkt die Drehzahl von ca. 1650 U/min auf ca. 1.200 U/min ab. Die Einheit wird praktisch nie zum Stillstand gefahren, also nie völlig ‚entleert‘, wohl weil der mechanische Stress beim Anfahren aus sehr niedrigen Drehzahlen recht hoch ist ?
mfG
C. Wiesner
@#105
“Nicht alles was als grüne Technologie bezeichnet wird, ist es auch, geschweige denn sinnvoll.“
Wo ist denn das Gegenbeispiel?
Ausstieg aus der Kernkraft:
Schweiz spielt auf Zeit, Belgien ebenso und Hollande wird die französische Energieautonomie auch nicht in Frage stellen. Vor allem weil da gerade ein EPR gebaut wird. Tschechien und Polen fangen an neue KKW zu bauen.
Die restliche Liste auch ganz schön lang.
Zu Manipulation durch die Medien.
Glauben Sie wirklich, dass Regierungen alle Farben, die Methoden zu Manipulation vergessen haben? Nein, man hat sie verfeinert. Bekommen Sie halt nicht mit. Wenn man Ihnen erzählen würde, dass die Erde eine Scheibe sei, würden Sie das auch noch glauben.
“Wenn Sie Spass auf Schw***vergleiche in technischen Dingen haben, nur zu.“
Eh Hader, wer wie Sie einen Dampferzeuger nicht von einer Turbine unterscheiden kann, hat den Kürzeren.
“Nur sehe ich die Erfolgsaussichten recht skeptisch,“
Lassen Sie doch mal den Markt im Ausland entscheiden.
http://tinyurl.com/crktlcl
“…und die deutsche Industrie ist mit deutschen Strompreisen absolut konkurrenzfähig und die Wirtschaftslokomotive in der EU. Kann es vielleicht sein, dass Sie so langsam verstehen, dass wirtschaftlicher Erfolg vielleicht doch nicht nur allein vom Strompreis abhängt?“
Sie vergessen die derzeitigen Rahmenbedingungen. Durch den Euro arbeiten die produktiven deutschen Arbeitnehmer für ein Entwicklungslandgeld. Dadurch verarmen die deutschen Arbeiter, die mehr für Energie und Urlaub zahlen müssen und die Industrie kann durch geringe Löhne (in Schwachgeld) und hohe Produktivität Gewinne einstreichen.
Was ist, wenn das Schwachmatengeld weg fällt und wieder anständiges Geld für anständige Arbeit gezahlt werden muss?
Weil ohne Witz, das wäre ein echter Erkenntnisgewinn in dieser Diskussion.
“Ich denke mal, dass Thema wurde schon zu genüge durchgekaut, ich lasse Sie gerne bei dieser Meinung.“
Das ist nicht meine Meinung, sondern, das sind Fakten. Passen aber halt nicht in ihr Weltbild. Damit ist Kernkraft ja gar nicht mehr furchtbar.
“Naja, wer den natürlichen Treibhauseffekt nicht versteht, versteht vielleicht auch so manch anderes nicht. ;o)“
Naja, wer nicht versteht, was ein physikalischer Effekt ist, uns darbet hinaus in der Zunahme des CO2 Gehaltes etwas Bedrohliches findet hat eh keine Ahnung von Wissenschaft, sondern lässt sich von politischen Agitatoren blenden.
“Nur in dem Punkt ist die Wahrscheinlichkeit eines schwerwiegenden Unfalls nicht gleich 0 und Sie werden auch keinen Fachmann finden, der Ihnen sowas bestätigen wird.“
10^-12 1/a ist für jede realistische Betrachtung quasi 0!
Die Betonung der Restwahrscheinlichkeit, die 99,9 % der Bevölkerung nicht begreifen können dienen lediglich der Verunsicherung.
“Wird das jetzt wieder Klamauk oder doch eine ernsthafte Diskussion?“
Nein, das ist kein Klamauk. es ist wissenschaftlich gesichert, also komplett anders wie mit dem Klimawandel, dass Uran, die Energiequelle der nächsten 5.000 Jahre ist. Ob Deutschland daran partizipiert oder nicht. Auf ein, zwei hundert Jahre kommt es mir dabei nicht an. wenn man weitere Vorkommen findet kann sich das auch um einige Tausend Jahre verlängern,
Uran ist die Brücke zur Thorium Technologie. Die wird dann die folgenden 50.000 Jahre die Energieversorgung sichern. Demnach brauchen wir frühestens in so ca. 50 bis 60 Tausend Jahren Technologien, die aus Wind und Sonne Energie bereit stellen. Und wenn man dann eh schon so knapp ist, wir man mit Sicherheit keine Systeme verwenden, die mehr Energie brauchen, als sie liefern.
Was soll der Quatsch der gerade läuft also?
Ich kann meine Hand nicht dafür ins Feuer legen, dass ich im Sportpalast nicht mitgegrölt hätte, dafür waren damals und sind sie heute, die Methoden zur Indoktrination, viel zu geschickt. Aber ich kann in meiner Vita auf einige Widerstände gegenüber der Hauptmeinung verweisen. Und dies politisch und privat.
Wie Sie ihre Fortpflanzung sichern ist mir Jacke wie Hose. Wenn ich jedoch eine Frau wären Sie für mich ein Langeweiler, Sauerstoffverbraucheer, unnötiger Anwesender,….
Und mit so jemand sich weiter zu unterhalten lohnt nicht.
Sie sind halt einfach nur ein Forentroll.
Bleiben wir mal bei der kurzen Liste von Tschechien und Polen und wo bitte baut Tschechien und Polen neue AKW ?
Nach 9 Jahren sollte man da bereits was sehen Herr D. Glatting oder nicht ?
.
Wo ist die AKW-Baustell in Tschechien, 12 Jahre sind bereits vergangen.
.
Wo ist die AKW-Baustell in Polen, 12 Jahre sind bereits vergangen
Polen ist erst am Anfang der Bauphase….
D. Glatting schreibt am 3. Juni 2012 9:58, also vor über 12 Jahren.
.
Und wurde ein AKW gebaut? Nein
Polen ist nicht erst am Anfang der Bauphase, es gibt gar keine AKW-Bauphase in Polen, es gibt nur bedrucktes Papier zum Thema AKW-Bau in Polen, mehr, aber auch nicht Herr Gerald Pesch.
.
In Deutschland wurde in dem Zeitfenster 8. Februar 2022 bis heute 24.12.2024 bereits über 40000 Megawatt an Nennleistung bei den Erneuerbaren fertiggestellt, das ist ca. das 10666-fache an Leistung vom Reaktor in Polen, der aber nur auf dem Papier existiert.
In Polen wurde bereit in dem Zeitfenster 1.1.2022 bis heute 31.12.2023 bereits 9610 Megawatt an Nennleistung bei den Erneuerbaren fertiggestellt, das ist das 2559-fache an Leistung vom Reaktor in Polen der aber nur auf dem Papier existiert.
Was ich sagen wollte, der Umgang mit Energie, ist sicher ein Schlüssel menschlicher Entwicklung, wie die Beherrschung des Feuers und der erste Motor.
Es kann nicht richtig sein,
die Reduzierung der Energieverfügbarkeit als politisches oder „menschliches“ Ziel zu deklarieren, das w#re eher so etwas wie ein schleichendes Selbstmordprogramm.
Denn Leben benötigt Energie und es gibt im Universum nicht die Spur eines Mangels an Energie.
PERMANENTE Energiezufuhr ist eine Bedingung des Lebens.
Der Schüler lernt schon den ersten Hauptsatz,
dass man Energie nicht vernichten kann.
Man muss nur lernen,
richtig damit umzugehen.
Ein Speicher-Wasserkraftwerk ist eher eine sehr primitive Art des Umgangs mit Energie, ich möchte sagen, so etwas wie Verschwendung von Ressourcen.
Ebenso wie diese primitiven Windmühlen.
Das Anzapfen der Kernenergie sehe ich dagegen als extrem intelligentes Verfahren an, das sicher erst am Anfang der Entwicklung steht.
Ich sehe darin eine große Schance für die Menschheit.
Jetzt raten Sie mal, was ich von der verteufelten Gentechnik halte 🙂
MfG
Die friedliche Nutzung der Kernenergie ist sicher so ein Meilenstein in der menschlichen Entwicklung, wie die Beherrschung des Feuers. Etwas, was der Mensch den Affen voraus hat.
Übrigens habe ich mir von einem Bauingenieur sagen lassen, dass Deutschland die schärfsten baulichen vorgeschriebenen Feuerschutzmaßnahmen der Welt hätte.
Vielleicht könnte ja man auch ganz aufs Feuer verzichten, ich meine die Affen ….
ahäm, nein nein, aber wir haben doch den Strom in der Steckdose,
mehr brauchen wir doch nicht … (und das Auto, wehe, wenn mir das einer wegnimmt!)
mfG
#104: „Genau Hader, genauso wie die “Klimaschützer“ den Anbau von Ölpalmen zur Reduktion von Primärenergie und damit der angeblichen Reduktion von CO2 (Warum muss man das den reduzieren?) ins Ausland verlegen.“
@Glatting, ich sehe die Förderung von ölpalmenplantage äußerst kritisch. Es entsteht mehr Schaden als Nutzen, die Ökobilanz ist misserabel. Nicht alles was als grüne Technologie bezeichnet wird, ist es auch, geschweige denn sinnvoll.
„“Das beinhaltet die schon fast naive Vorstellung, dass die Angst vor AKWs eine rein mediale Angelegenheit sei und sie nur durch die Medien ausgelöst wird.“
Wie man am anders verhaltenden Ausland sehen kann ist dem wohl so“
In der Schweiz wurde auf lange Sicht der Atomausstieg beschlossen, in Belgien ebenfalls, allerdings unklar, wie es die neue Regierung handhaben wird, Italien hat die zaghaften Überlegungen ein AKW aufzustellen, schon wieder aufgegeben und in Frankreich hat vor kurzem ein Präsidentschaftskandidat gewonnen, wenn Sie sich entsinnen, der darüber laut nachgedacht hat, den Atomstromanteil langfristig auf 50% zu drosseln und das Wahlkampfversprechen abgab, AKW Fessenheim zu schliessen. Deutschland ist bisher den weitesten Schritt gegangen, man kann aber nicht wirklich sagen, dass es in der EU oder USA eine Atomeuphorie gebe. Wenigstens das sollten Sie zur Kenntnis nehmen.
„Nein Herr Hader, man könnte die Leute nie fragen ob sie den totalen Krieg wollen, da die ja alle viel zu gescheit sind und sich der Opfer bewusst wären. Deshalb hat es so was ja auch noch nie gegeben. Würde ja eh keiner zujubeln.“
Die Gesellschaft hat sich hier in den letzten 70 Jahren schon verändert, falls Ihnen das nicht aufgefallen ist. In einen totalem Krieg wird keiner mehr ziehen.
„Und nehmen Sie bitte mal zu Kenntnis, dass ich gegenüber Ihnen von Technik eine Ahnung habe und entsprechende Sachverhalte richtig einzuschätzen kann. Sie sind halt auf die Meinungsmache der Pressefuzzis angewiesen.“
Zur Kenntnis nehme ich Ihre Voreingenommenheit. Wenn Sie Spass auf Schw***vergleiche in technischen Dingen haben, nur zu.
„Ich stelle Kernkraft nur als mögliche Alternative in den Raum.“
Interessant, so hatte ich Ihre Beiträge wirklich nicht verstanden. Kernkraft als Alternative, damit kann ich leben! Nur sehe ich die Erfolgsaussichten recht skeptisch, allein wenn ich nur die letzten 20 Jahre der Atomindustrie in der EU und USA sehe.
„1. platt; meiner Argumentation in #96 haben Sie überhaupt nichts entgegen zu setzen“
Die war ja auch nicht für mich gedacht. ;o)
„4. Gegner werden; waren Sie doch eh schon. Und was man ist kann man nicht mehr werden“
Nö, bis in die 90er Jahre hinein war ich ein Atomstrombefürworter. Jetzt finde ich, sollte man die Atomenergie auch wirklich als Brückentechnologie verstehen.
„5. nicht sonderlich interessiert; warum machen Sie sich dann die Mühe was dazu zu schreiben.“
Ich hab nicht gesagt, dass ich nicht interessiert bin, sondern dass Sie mit Ihrer krassen Art selbst unbedarfte Leute, die sich vorher nicht damit großartig beschäftigt haben, eher noch zu AKW-Gegnern machen. Was Sie betreiben ist Antiwerbung und ein Bärendienst für die Atomindustrie, weil verstaubte Pro-Argumente aus den 70er Jahren wieder hervorgekramt werden.
„Bisher ja. Bisher hat man es auch noch nicht geschafft, dass Deutschland verreckt.“
Na ein Glück, dass Sie nicht in Verdacht stehen, Alarmismus zu betreiben.
„OK, mach ich. Die französische Industrie wäre mit deutschen Strompreisen schon komplett im Sack und die Bürger würden zu 80% FN wählen und die verblieben Grünen teeren und federn.“
…und die deutsche Industrie ist mit deutschen Strompreisen absolut konkurrenzfähig und die Wirtschaftslokomotive in der EU. Kann es vielleicht sein, dass Sie so langsam verstehen, dass wirtschaftlicher Erfolg vielleicht doch nicht nur allein vom Strompreis abhängt? Weil ohne Witz, das wäre ein echter Erkenntnisgewinn in dieser Diskussion.
„Sie verstehen das mit der gefilterten Entlastung, sofern sie überhaupt notwendig werden würde, immer noch nicht. Mehr als INES 5 geht hier nicht. Da ist nichts mit Verlust von Lebensraum und ähnlichen Horrorszenarien. Da passiert weniger, als wenn ein Gefahrguttransporter nach einem Verkehrsunfall ausläuft.“
Ich denke mal, dass Thema wurde schon zu genüge durchgekaut, ich lasse Sie gerne bei dieser Meinung.
„Wie man ohne Mathematikkenntnisse mittlerweile zu einem Dr. Titel kommt, wird mir immer ein Rätsel bleiben.
Wenn ich eine Größe mit 0 multipliziere kommt immer 0 raus.“
Naja, wer den natürlichen Treibhauseffekt nicht versteht, versteht vielleicht auch so manch anderes nicht. ;o) Nur in dem Punkt ist die Wahrscheinlichkeit eines schwerwiegenden Unfalls nicht gleich 0 und Sie werden auch keinen Fachmann finden, der Ihnen sowas bestätigen wird. Und ihre hemdsärmilige Art, kleine Wahrscheinlichkeiten in Produkten auf 0 zu kürzen, zeigt mathematische Defizite auf Ihrer Seite auf. Damit werden Sie keinen Mathematiker überzeugen können.
„Wie sind Sie denn “immerhin“ zu der Ansicht gekommen? Wenn Sie die Kernkraft genauso wie alle anderen Länder als Brückentechnologie sehen, dann machen Sie sich mal Gedanken für die Zeit nach dem Jahr 7000 AD. Mir ist das noch etwas lang hin bis dahin, da mach ich mir keine Gedanken.“
Wird das jetzt wieder Klamauk oder doch eine ernsthafte Diskussion? Eine Brückentechnologie erstreckt sich für mich nicht über Jahrtausende, sondern dessen Auslaufen ist schon nach einigen Generationen abzusehen. Zudem sind in dieser Zeit kaum nennenswerte Innovationen auf dem Gebiet der Atomenergie entstanden, die auch praxisfähig waren. Da habe ich wesentlich mehr zutrauen in Wind und Sonne. Dessen Prototypen sind wenigstens einsatzfähig und ausbaubar.
„Irgendwie laen Sie auch immer voll auf der Mainstreamwelle. Das macht mich etwas stutzig. Diejenigen die seinerzeit im Sportpalast “ja“ gegrölt haben, lagen auch meistens bei der Hauptmeinung. Sie wären der rechte Kandidat zum mitgrölen gewesen.“
Genausowenig wie Sie oder ich die Hände ins Feuer legen können, dass in jener Zeit wir die richtige Wahl getroffen hätten, sollten wir wirklich froh sein, nicht in dieser Zeit geboren zu sein. Und was ich verabscheue sind Menschen, die ohne Kenntnis der Lage von sich behaupten, sie hätten sich ganz anders entschieden. Solchen Leuten bin ich beispielsweise nach der Wende einigen begegnet, die großspurig erzählten, dass wenn sie in der DDR gelebt hätten, bewaffnete Kämpfer gegen das Regime gewesen wären. Wer nichts über die Zwänge und das Leben von damals weiss, sollte da eher ruhig sein. Damit soll in keinster Weise der Anschein erweckt werden, dass die DDR ein toller Staat gewesen war. Nur manchen fehlt einfach die Fähigkeit zu differenzieren und halten sich für die Größten. Aber ich schweife jetzt gewaltig ab.
Dem Mainstream anzugehören, halte ich persönlich für keinen Makel, von daher stört mich Ihr Vorwurf nicht. Evolutionsbiologisch gesehen fährt man mit dem Mainstream durchschnittlich gesehen besser als mit der Entscheidung, die von einer Minderheit getroffen wird. Die Kunst ist es, zu dem Mainstream noch soviel Individualität und Risikobereitschaft hinzuzumischen, um auch langfristig im Leben erfolgreich zu sein.
@#101: S.Hader,
dienen ihre bescheuerten Bezüge eigentlich zur Verwirrung, auf das man es nicht mal merkt das Sie einen Schwachsinn auf Jemandens Kommentar geschrieben haben?
“Genau. Nur werden die hohen Sicherheitsstandards beim Abbau von Uranerz im Ausland genauso eingehalten? Wenn man den Stoff importiert, verlagert man nur das Problem nach aussen.“
Genau Hader, genauso wie die “Klimaschützer“ den Anbau von Ölpalmen zur Reduktion von Primärenergie und damit der angeblichen Reduktion von CO2 (Warum muss man das den reduzieren?) ins Ausland verlegen.
Im Bezug auf den Bergbau ist das für mich ein PAL (Problem anderer Leute).
Im Bezug auf Biodiesel ist es ein kompletter Schwachsinn. Ich habe die Plantagen schon gesehen, die in den Urwald rein gehauen wurden. War klasse für die Tierwelt! Und die Artenvielfalt der Botanik. Und alles um ein Klima zu retten, das keine Hilfe braucht. Super Sache.
“Das beinhaltet die schon fast naive Vorstellung, dass die Angst vor AKWs eine rein mediale Angelegenheit sei und sie nur durch die Medien ausgelöst wird.“
Wie man am anders verhaltenden Ausland sehen kann ist dem wohl so
“Sie vergessen dabei, dass die Menschen nicht dumm sind und man sie nicht wie einen Schalter meinungstechnisch in die eine oder andere Richtung switchen kann.“
Nein Herr Hader, man könnte die Leute nie fragen ob sie den totalen Krieg wollen, da die ja alle viel zu gescheit sind und sich der Opfer bewusst wären. Deshalb hat es so was ja auch noch nie gegeben. Würde ja eh keiner zujubeln.
Und nehmen Sie bitte mal zu Kenntnis, dass ich gegenüber Ihnen von Technik eine Ahnung habe und entsprechende Sachverhalte richtig einzuschätzen kann. Sie sind halt auf die Meinungsmache der Pressefuzzis angewiesen.
Deshalb glauben Sie auch, dass Frau Merkel die Laufzeitverlängerung durchdrücken wollte. Ihr erschien es als opportun bei einer abebbenden KKW Diskussion, den ökonomisch besseren Weg zu wählen.
Mit der Panikmache der Presse nach Fukushima, dachte die gelernte Sekretärin für Agitation und Propaganda, dass Sie mit einem Ausstieg aus der Kernkraft, wieder Wählerschichten an sich binden kann.
“Also wenn das Ihre Argumentationslinie pro Atomenergie ist, nach dem Motto ohne diese Technik würden wir wieder zum Agrarstaat mutieren, dann muss es ja wirklich schlecht um diesen Industriezweig stehen.“
Nein, das ist nicht meine Argumentationslinie pro Kernkraft, sondern meine Argumentationslinie anti “Erneuerbarer“. Ich stelle Kernkraft nur als mögliche Alternative in den Raum. Es sind ja genug, die dagegen sind. Kernkraft kann ein entscheidender Beitrag zum strategischen Versorgungsdreieck sein. “Erneuerbare“ nicht.
“So platt und kritikunfähig wie Sie die Atomenergie anpreisen, muss man fast schon zum Atomkraft-Skeptiker und -Gegner werden, auch wenn einem das Thema nicht sonderlich interessiert.“
Her Hader, Sie sind ein Künstler. Soviel Mist in einen einzelnen Satz zu packen ist schon klasse.
1. platt; meiner Argumentation in #96 haben Sie überhaupt nichts entgegen zu setzen
2. kritikunfähig; ich nehme fundierte Kritik, im Gegensatz zu Ihnen, wie z.B. Herrn Burowski, siehe ‚#89 schon ernst.
3. anpreisen; ich preise nicht an, sondern ich stelle Fakten zur Verfügung.
4. Gegner werden; waren Sie doch eh schon. Und was man ist kann man nicht mehr werden
5. nicht sonderlich interessiert; warum machen Sie sich dann die Mühe was dazu zu schreiben.
@#103: S.Hader,
“Glücklicherweise haben wir eine hohe Produktivität, die es erlaubt, Energiepreissteigerungen verkraften zu können.“
Bisher ja. Bisher hat man es auch noch nicht geschafft, dass Deutschland verreckt.
“Wenn Sie schon beim Thema Wettbewerbsfähigkeit sind, dann machen Sie doch mal einen empirischen Vergleich zwischen den Industrien Frankreichs, einem Billigstromland und Deutschlands, als Teuerstromland.“
OK, mach ich. Die französische Industrie wäre mit deutschen Strompreisen schon komplett im Sack und die Bürger würden zu 80% FN wählen und die verblieben Grünen teeren und federn.
“Das Dumme ist nur die extrem hohe Schadenshöhe plus dem zeitweisen Verlust von Lebensraum.“
Sie verstehen das mit der gefilterten Entlastung, sofern sie überhaupt notwendig werden würde, immer noch nicht. Mehr als INES 5 geht hier nicht. Da ist nichts mit Verlust von Lebensraum und ähnlichen Horrorszenarien. Da passiert weniger, als wenn ein Gefahrguttransporter nach einem Verkehrsunfall ausläuft.
“Das Risiko bleibt nachwievor das Produkt zweier Größen und kann man nicht durch das Ausblenden des einen Faktors kleinreden.“
Wie man ohne Mathematikkenntnisse mittlerweile zu einem Dr. Titel kommt, wird mir immer ein Rätsel bleiben.
Wenn ich eine Größe mit 0 multipliziere kommt immer 0 raus.
“Zudem haben es die Verantwortlichen verpasst, die Bevölkerung zu überzeugen und meinten mit einer antiquierten Informationspolitik, die weniger aus Transparenz sondern mehr aus Machtworten und Ignoranz bestand, die Bevölkerung beruhigen zu können.“
Da kann ich Ihnen sogar mal zustimmen.
“In den 80er und 90er Jahren sah ich die Atomenergie recht positiv und hielt längere Laufzeiten für unproblematisch.“
Wie das?
“Aber immer mehr bin ich zu der Ansicht gekommen, dass man die Brückentechnologie auch als solche so wahrnehmen sollte und sich Gedanken für die Zeit danach machen muss.“
Wie sind Sie denn “immerhin“ zu der Ansicht gekommen? Wenn Sie die Kernkraft genauso wie alle anderen Länder als Brückentechnologie sehen, dann machen Sie sich mal Gedanken für die Zeit nach dem Jahr 7000 AD. Mir ist das noch etwas lang hin bis dahin, da mach ich mir keine Gedanken. Der derzeitige Bau von Miefquierlen ist jedenfalls keine Lösung. Wenn er energetisch überhauptsinnvoll ist. Wie gesagt, was sich preislich nicht rechnet kann energetisch auch nicht sinnvoll sein.
Irgendwie laen Sie auch immer voll auf der Mainstreamwelle. Das macht mich etwas stutzig. Diejenigen die seinerzeit im Sportpalast “ja“ gegrölt haben, lagen auch meistens bei der Hauptmeinung. Sie wären der rechte Kandidat zum mitgrölen gewesen.
“Wenn Sie der Ansicht sind, Sie vertreten eine Mehrheitsposition und die anderen, die skeptisch bzgl. Atomenergie sind eine rare Minderheitenansicht, dann ist das wohl Ihrer Wahrnehmung geschuldet.“
In der Breiten Öffentlichkeit ist es derzeit wohl keine Mehrheitsmeinung. Unter der Leserschaft von EIKE könnte ich mir das allerdings gut vorstellen. Und wenn das Thema mit Fakten und Kosten und ohne grüne Ideologie diskutiert werden könnte, halte ich auch eine Mehrheit in der Öffentlichkeit für denkbar.
@D.Glatting: „ich hoffe, dass Sie einer der ersten sind die raus fliegen, wenn die deutsche Industrie nicht mehr Wettbewerbsfähig ist aufgrund der schwachsinnigen Energiepolitik.“
Wo raus fliegen??? Aus dem Job? Glücklicherweise haben wir eine hohe Produktivität, die es erlaubt, Energiepreissteigerungen verkraften zu können. Wenn Sie schon beim Thema Wettbewerbsfähigkeit sind, dann machen Sie doch mal einen empirischen Vergleich zwischen den Industrien Frankreichs, einem Billigstromland und Deutschlands, als Teuerstromland.
„Was Sie immer noch nicht verstanden haben und auch nie verstehen werden ist, dass durch KKW für Sie, ihre Familie und all ihre Freunde hier in Deutschland keine Gefahr ausgeht.“
Die Unfallwahrscheinlichkeit ist verglichen mit anderen Produktionsanlagen gering. Ich habe da nie etwas anderes geschrieben. Das Dumme ist nur die extrem hohe Schadenshöhe plus dem zeitweisen Verlust von Lebensraum. Das Risiko bleibt nachwievor das Produkt zweier Größen und kann man nicht durch das Ausblenden des einen Faktors kleinreden. Zudem haben es die Verantwortlichen verpasst, die Bevölkerung zu überzeugen und meinten mit einer antiquierten Informationspolitik, die weniger aus Transparenz sondern mehr aus Machtworten und Ignoranz bestand, die Bevölkerung beruhigen zu können.
In den 80er und 90er Jahren sah ich die Atomenergie recht positiv und hielt längere Laufzeiten für unproblematisch. Aber immer mehr bin ich zu der Ansicht gekommen, dass man die Brückentechnologie auch als solche so wahrnehmen sollte und sich Gedanken für die Zeit danach machen muss.
„Wenn Sie das immer noch nicht verstanden haben bestätigt das meinen Eindruck von Ihnen.
Aber den hat fast jeder außer Geistesgrößen wie Teufel, Fischer, biersauer und Mari.“
Wenn Sie der Ansicht sind, Sie vertreten eine Mehrheitsposition und die anderen, die skeptisch bzgl. Atomenergie sind eine rare Minderheitenansicht, dann ist das wohl Ihrer Wahrnehmung geschuldet.
@Hader,
ich hoffe, dass Sie einer der ersten sind die raus fliegen, wenn die deutsche Industrie nicht mehr Wettbewerbsfähig ist aufgrund der schwachsinnigen Energiepolitik.
Was Sie immer noch nicht verstanden haben und auch nie verstehen werden ist, dass durch KKW für Sie, ihre Familie und all ihre Freunde hier in Deutschland keine Gefahr ausgeht.
Wenn Sie das immer noch nicht verstanden haben bestätigt das meinen Eindruck von Ihnen.
Aber den hat fast jeder außer Geistesgrößen wie Teufel, Fischer, biersauer und Mari.
Ach ja, da war noch einer. So wie Sie auf Filbinger kommen, kam der auf Brand und Schmidt.
Macht mal einen Zeitsprung in die Gegenwart Jungs. Es lohnt sich nicht nur wegen HD Fernsehen.
@Trummler, #96: „Zum Bergbau
Wenn in Deutschland irgendein Bergbau betrieben wird, dann ist der an etliche Auflagen gebunden. Egal ob dies nun Uran, Neodym oder sonst was ist. Diese Auflagen dienen zum Schutz der Arbeiter, Anwohner und der Natur. Die Vorschriften, die diesen Auflagen zugrunde liegen erscheinen in vielen Fällen sehr restriktiv und sind daher meist mit hohen Kosten verbunden.“
Genau. Nur werden die hohen Sicherheitsstandards beim Abbau von Uranerz im Ausland genauso eingehalten? Wenn man den Stoff importiert, verlagert man nur das Problem nach aussen.
„Wie nun im Ausland Uran, Kohle oder Neodym gefördert unterliegt den dortigen Behörden. Die entsprechenden Zustände kann man anprangern. Da bekommt man aber viel zu tun.“
Nur sind Befürworter dann die lästige Diskussion über gesundheitliche Belastungen im Bergbau in Deutschland los.
@Glatting, #99: „Grüße auch an Dr. Paul. Danke für das Lob. Ich denke, wenn sich mal ein maßgeblicher Politiker mit diesen Argumenten vor die Presse stellen würde und die Reichsrundfunkanstalt an der Stelle mitziehen würde, wäre der Anti-KKW Spuck ratz faz vorbei.“
Das beinhaltet die schon fast naive Vorstellung, dass die Angst vor AKWs eine rein mediale Angelegenheit sei und sie nur durch die Medien ausgelöst wird. Sie vergessen dabei, dass die Menschen nicht dumm sind und man sie nicht wie einen Schalter meinungstechnisch in die eine oder andere Richtung switchen kann. Nehmen Sie doch sich selbst als Beispiel, welchen Einfluss haben die Massenmedien auf ihre Meinungsbildung bzgl. Atomkraft gehabt? Praktisch keine. Die Medien können wohl schlecht Schuld daran sein, dass Sie zu einem Atomkraft-Jünger wurden. Warum soll das bei vielen Menschen unbedingt anders sein?
„Jedenfalls hat kein Politiker die Eier in der Hose und getraut sich so ei Statement abzugeben. Irgendeine Mutti, die der Grünpisspropaganda glaubt, dass Kleinkinder in der Nähe von “AKW“ eine erhöhte Leukämierate hätten, könnte ihn ja nicht mehr wähle. Die Pappnasen sollten sich mal überlegen, wie viele Nichtwähler es mittlerweile gibt, weil sie der grünsozialistische Einheitsbrei sie anödet.“
Sie vergessen, dass die CDU allen voran Frau Merkel die Laufzeitverlängerung durchdrücken wollte. Der Grund,weshalb sie nun vollkommen umgeschenkt ist, waren mit Sicherheit nicht irgendwelche Studien zur Krebshäufigkeit in AKW-Nähe. Die haben zuvor auch keine Rolle gespielt.
„Irgendwann werden diese Gutmenschen mal wieder Steckrüben essen und sich überlegen, wie sie mehr vom Leben haben könnten. Und dann werden die Priester hoffentlich auf ihrem eigenen Altar geopfert.“
Also wenn das Ihre Argumentationslinie pro Atomenergie ist, nach dem Motto ohne diese Technik würden wir wieder zum Agrarstaat mutieren, dann muss es ja wirklich schlecht um diesen Industriezweig stehen. Dieses Märchen nimmt Ihnen nun wirklich kein vernünftiger Mensch mehr ab. Sie fallen damit noch hinter Äußerungen aus den 70ern von Hans Filbinger, der mit platten Sprüchen und Alarmismus das AKW Wyhl durchdrücken wollte. Aber es besteht noch Hoffnung, mit knapp 90 Jahren hatte Filbinger seinen Irrtum eingesehen, die Bevölkerung und die Lage der Stromwirtschaft falsch eingeschätzt zu haben. Das sollte auch Ihnen Hoffnung machen. 🙂 So platt und kritikunfähig wie Sie die Atomenergie anpreisen, muss man fast schon zum Atomkraft-Skeptiker und -Gegner werden, auch wenn einem das Thema nicht sonderlich interessiert.
@98: Horst Trummler,
Hallo Herr Trummler,
wenn die Blöcke 3 bis 6 in Greifswald mit Containment waren, dann bitte ich mein Nichtwissen zu entschuldigen. Ich weiß auch nicht ob diese Kraftwerke Filter in den Abluftanlagen hatten. In Finnland gibt es die Blöcke Loviisa 1 und 2. Die scheinen ähnliche Typen zu sein, die westliche Standards erfüllen. So gesehen hätte man womöglich die Blöcke 3 bis 6 entsprechend nachrüsten können.
Die Druckbehälter wurden aus 15Kh2MFA gefertigt. Es gab da eine Untersuchung am RDB Deckel von Greifswald 1. Da habe ich mal eine paar Sachen raus gezogen, Der 15Kh2MFA ist ein Vanadium mikrolegierter Feinkornbaustahl ähnlich den WB35, Altherm NiMoV und dem WSTE47 (durch die hohe Zulegierung von Chrome und Niob sogar deutlich besser), die man auch aus den Anfängen der deutschen Kerntechnik kennt.
Der Heilige Gral der deutschen Kerntechnik so wie er in der RSK Leitlinie für Druckwasserreaktoren bzw. den KTA Regeln 3201.1 bis 4 und KTA Regeln 3211.1 bis 4 niedergeschrieben ist, ist die
Zähigkeit.
Zähigkeit benötigt man wenn der Stahl hohen Belastungen ausgesetzt ist und nicht reißen soll. Dies ist normal bei Betriebstemperaturen erfüllt. Bei Vanadium mikrolegierten Feinkornbaustählen mit hohen Anteilen von Metallgiften wie Schwefel und Phosphor (wie es in den Schweißgütern der russischen RDB vorlag) kann dies zu Grobkornbildung und Zähigkeitsanisotropien führen. Das wiederum führt zu verminderten Zähigkeiten in der Wärmeeinflusszone der Schweißnähte. Das ist im Prinzip ein Nullproblem.
Wenn man jedoch einen Kühlmittelverluststörfall schon hat und jetzt mit der Noteinspeisung (Kaltes Wasser in heißen RDB) anfängt und einem die Nähte an den Stellen der geringen Zähigkeiten anfangen einzureißen und das gerade einspeiste Kühlwasser einfach wieder davon läuft, stinkt man schon ein wenig.
Ob 400 bis 500 MW Blöcke überhaupt richtig rentabel laufen, bezweifle ich ein wenig. Der Aufwand gegenüber einer 1400 MW Anlage schenkt sich nicht viel. Ich würde eine Wiederaufbereitungsanlage und zwei KERENA zu schnellen Einregelung des unnötigen Windstroms in MekPom nach Greifwald stellen. Einen Brüter russischer Bauart nach Karlsruhe oder Philippsburg und …
Ich meine einfach locker bleiben und über alles reden.
Grüße
@#94: Horst Trummler,
Sie haben recht mit allem was Sie sagen. Warum sehen dann das die Regierungen, Investoren und Bürger in Finnland, Frankreich, China und Tschechien
http://tinyurl.com/7f4o32v
anders als in Deutschland?
Könnte es an einer Indoktrinierung unserer MSM liegen. Grüße an Herr Laburda und ein Hoch auf die Zipfelmützenverdummungsanstalt GEZ.
Grüße auch an Dr. Paul. Danke für das Lob. Ich denke, wenn sich mal ein maßgeblicher Politiker mit diesen Argumenten vor die Presse stellen würde und die Reichsrundfunkanstalt an der Stelle mitziehen würde, wäre der Anti-KKW Spuck ratz faz vorbei.
Da stimmt es um so bedenklicher wenn man sich zurück erinnert an Heiner Geißler, der schon kurz nach Harrisburg gemeint hat, dass die Kernkraft politisch nicht mehr durchsetzbar sei. War der damals schon ein verkappter Grüner. Wurde er deshalb Schlichter bei S21?
Jedenfalls hat kein Politiker die Eier in der Hose und getraut sich so ei Statement abzugeben. Irgendeine Mutti, die der Grünpisspropaganda glaubt, dass Kleinkinder in der Nähe von “AKW“ eine erhöhte Leukämierate hätten, könnte ihn ja nicht mehr wähle. Die Pappnasen sollten sich mal überlegen, wie viele Nichtwähler es mittlerweile gibt, weil sie der grünsozialistische Einheitsbrei sie anödet.
Irgendwann werden diese Gutmenschen mal wieder Steckrüben essen und sich überlegen, wie sie mehr vom Leben haben könnten. Und dann werden die Priester hoffentlich auf ihrem eigenen Altar geopfert.
Grüße in die Runde
Kommentar 96 Glatting
Von der Technik her gesehen kann man Ihnen aber nur Widersprechen. Wollen Sie Wirklich die aus minderwertigen Werkstoffen zusammengeschusterten KKWs der DDR (Die Grundwerkstoffe waren ja i.O. aber die Schweißungen aufgrund der Zusatzwerkstoffe nicht) ohne Containment und deshalb auch ohne gefilterte Entlüftung mit westdeutschen und französischen Kernkraftwerken vergleichen?
Ihre Aussage zu den russischen KKW erinnert mich an den Bericht den die Panzerinspektion des Heeres zum Auftauchen des T34 geschrieben hatten. Lauter Kritik an der Ausführung..Optiken miserabel..Schweissnähte nicht verputzt..das Getriebe muss mit dem Hammer geschaltet werden…Antriebe nicht fluchtend..in der Realität war jedoch der T34 preiswerter und allen damaligen Deutschen Panzern auf eine Entfernung über 100m haushoch überlegen.
Die russischen WWER Kernkraftwerke sind preiswert, funktionell und erreichen z.B. in Finnland (gerade in IAEA Pris nachgesehen) eine Verfügbarkeit von z.B. 89%. Uebrigens die DDR KKW waren mit Ausnahme der ersten beiden Blöcke in Greifswald vom Typ WWER 440 – 213 und hatten ein Containment. Es mag Schwachstellen geben, Wärmetauscher undicht, Leittechnik miserabel aber dies lässt sich beheben.
Ich meine es gilt von dem hohen Ross herabzusteigen und die Technik wo möglich ein wenig zu vereinfachen.
Vandale
#96: D. Glatting,
danke für den wichtigen und einfach verständlichen Überblick. Es hilft bei dem gefährlichen Abenteuer, selbst zu denken 🙂
Gruß
Hallo Herr Burowski,
Von der Technik her gesehen kann man Ihnen aber nur Widersprechen. Wollen Sie Wirklich die aus minderwertigen Werkstoffen zusammengeschusterten KKWs der DDR (Die Grundwerkstoffe waren ja i.O. aber die Schweißungen aufgrund der Zusatzwerkstoffe nicht) ohne Containment und deshalb auch ohne gefilterte Entlüftung mit westdeutschen und französischen Kernkraftwerken vergleichen?
Da ist aber der Vergleich der Rennpappe mit ne S-Klasse mit ABS und Airbag mindestens genauso weit her geholt. Ich erkläre es jetzt mal Ihnen und anderen, die die Technik nicht verstehen.
Tschernobyl:
Kein Containemnt, keine Filter und dazu noch brennbares Material im Kernbereich.
Bei einem Kernschaden fängt das Graphit an zu brennen und verteilt Uran und Plutonium im näheren Umkreis (Deshalb ist die Umgebung auch nicht mehr gut zu besiedeln). Die Spaltprodukte (Jod, Cäsium, Strontium etc.) verteilen sich weiträumig in der Atmosphäre.
Fukushima
Containment aber keine Filter. Uran und Plutonium bleiben im Reaktor oder kommen höchstens bis zum Containment. Durch den Kernschaden ist der Druck im Containment derart angestiegen, dass man Entlasten musste. Da man keine Filter hatte, hat man auf die Brennelementebühne entlastet, damit sich dort wenigstens ein Teil der Spaltprodukte niederschlägt. Das war denn auch so. Leider auch das Wasser womit sich ein zündfähiges Knallgasgemisch bilden konnte. Im Nachhinein also eine schlechte Idee. Die Spaltprodukte haben sich in der Atmosphäre verteilt.
Greifswald
Kein Containment, keine Filter. Im Kernschadensfall also mindestens die Auswirkungen von Fukushima und wenn es schlecht läuft, tritt auch noch der Kernbrennstoff aus und liegt unter freiem Himmel. Das war nach den Weststandart nicht annehmbar. Deshalb wurden die Anlagen still gelegt.
D/CH/F/USA etc.
Containment mit Filter im Abluftsystem und mehrere unabhängige Abschaltsysteme, die redundant vorhanden sind. Zum einen ist es extrem unwahrscheinlich, dass es zum Kernschadensfall kommt und zum anderen ist durch Containment und Filter jederzeit sicher gestellt, dass der Unfall auf ein INES 5 Ereignis beschränkt bleibt. Siehe Harrisburg.
Es kann schon sein, dass die Ausbildung der Bedienmannschaften im Osten, mit denen im Westen vergleichbar war. Ob man im Osten auch Simulatoren der Warten im Maßstab 1:1 hatte, an denen man seltene Betriebsfälle üben konnte, weiß ich nicht.
Scheinbar wurde dort auch sehr umsichtig mit der fragilen Technik umgegangen was nach http://tinyurl.com/65wt3t4
und wie dargelegt den fehlenden Barrieren auch zu verständlich war.
Zum Bergbau
Wenn in Deutschland irgendein Bergbau betrieben wird, dann ist der an etliche Auflagen gebunden. Egal ob dies nun Uran, Neodym oder sonst was ist. Diese Auflagen dienen zum Schutz der Arbeiter, Anwohner und der Natur. Die Vorschriften, die diesen Auflagen zugrunde liegen erscheinen in vielen Fällen sehr restriktiv und sind daher meist mit hohen Kosten verbunden. Daher kann man immer nur mit Verwunderung feststellen, wie einfach es ist einen Vogelschredder aufzustellen, wo man sonst nicht mal die Erlaubnis für eine Parkbank bekäme.
Meinen Sie wirklich, dass man heute noch so eine Sauerei veranstalten könnte, wie seinerzeit die Rote Arme in der DDR? Es macht halt einen Unterschied wie das Gestein gefördert wird und wie der Abraum abgelagert wird. Versuchen Sie mal Uranbergbau „deutscher Prägung“ durchzuführen.
Wie nun im Ausland Uran, Kohle oder Neodym gefördert unterliegt den dortigen Behörden. Die entsprechenden Zustände kann man anprangern. Da bekommt man aber viel zu tun.
Grüße
Herr Trummler, Sie bringen da leider einige Begriffe durcheinander.
Ein AKW verdient vom ersten Tag an cash flows. Und mit diesen cash flows werden die Abschreibungen verdient sowie die Tilgung und Zinsen der Finanzierung des Neubaus bezahlt. Danach sollte noch ein Gewinn pro Jahr übrig bleiben.
Kleines Beispiel (mit erfundenen Zahlen):
Cash flow pro Jahr aus Stromverkauf: 1000
Abschreibungen pro Jahr: 200
Zinsen pro Jahr: 100
Macht einen betriebswirtschaftlichen Gewinn von 700
Tilgung pro Jahr: 200
Es bleibt bei einem Gewinn von 700. In der Kasse sind noch drin 1000 (aus Stromvekauf) – 100 (Zinsen) minus 200 (Tilgung) = 700
Dass das jetzt auch 700 sind, ist Zufall wegen der von mir gewählten Zahlen.
Dazu kommen dann noch Personalkosten, Instandhaltung usw…
Aber die Abschreibungen fallen nach 30 Jahren als Aufwandsposten weg und damit erhöht sich der Gewinn pro Jahr nach 30 Jahren um die weggefallenen Abschreibungen.
Aber das war jetzt nur zur Klärung der Begrifflichkeiten, ansonsten stimme ich mit ihrer Kritik der „EE“ völlig überein.
MfG
Peter Jensen
Kommentar 85 Herr Glatting
Sie schreiben…
Und mit der Wirtschaftlichkeit der neuen KKW bleibe ich optimistisch. Nach 30 Jahren sind die auch abgeschrieben und werden dann so lange Strom liefern bis das Gebäude morsch ist. Und das kann dauern.
Das ist exakt das Problem. Kein mit Vernunft begabter Mensch wird ein Projekt beginnen, dass erst nach 10 Jahren Planungs- und Bauphase und 25 Jahren Abschreibungsphase verspricht richtig Gewinn zu machen.
Innerhalb von 35 Jahren ändert sich eine Gesellschaft vollständig. In 35 Jahren wird die Deutsche Urbevölkerung vielleicht schon in der Minderheit sein wenn die Zuwanderer nicht aufgrund einer Verarmung wieder abwandern. In 35 Jahren gibt es, sofern es das politische System dann noch gibt, 9 Bundestagswahlen. Eine jede birgt die Gefahr das ein Amokläufer analog Merkel, Khan eine derartige Anlage zerstört, oder diese enteignet.
Kernkraftwerke sind nur dann erste Wahl wenn diese vom ersten Betriebstag an einen Cash Flow erwirtschaften der die Augen der Betriebswirte leuchten lässt.
Vandale
@ E. Teufel #86
„Anti-WKA-Religion“
Was ist das?
Kommentar 83 Holger Burowski
Es ist richtig, dass man die Energiedichte unterschiedlich definieren kann.
Sinnvoll erachte ich im Fall der Sonnenenergie die durchschnittliche Einstrahlung x 0,1 (realer Wirkungsgrad) und komme so auf ca. 120 kwh/m2/yr in Deutschland. Bei einem Stromwert von ca. 1c/kWh für den gewonnenen Zufallsstrom erbringt ein m2 1€/Jahr. Es dürfte für die Ingenieure sehr sehr herausfordernd sein dafür eine rentable Anlage zu bauen.
Bei Kernkraftwerken könnte man z.B. den gesamten Bau betrachten und kommt ohne Kühlturm auf ca. 300000to Material, AP1000. Die 12000to Uran die das Kraftwerk in 60 Jahren verbraucht sind nicht massgeblich.
Im Fall Ronneburg sprechen Sie von der Förderung von 1000to Gestein um 1 to Uran zu gewinnen. Das sind 1000ppm. Das entspricht in etwa auch den Werten der Kupfergewinnung, s. Geschäftsbericht XSTRATA. Wenn man davon ausgeht dass es eine zig-fache Menge Kupfer erfordert um mittels Windmühlen dieselbe Menge Strom zu erzeugen ergibt sich demzufolge eine entsprechend grössere Umweltbelastung. Als Gedankenstütze…Windmühlen verzeichnen eine durchschnittliche Auslastung von 15-16%. Damit bedarf es z.B. einer 6-fach höheren Menge an Transformatoren und Generatoren…
Vandale
Kommentar 86 Herr Teufel
Die Lebensdauer von Kernkraftwerken wird auf 60 und mehr Jahre geschätzt. Das gilt natürlich nicht für alle Komponenten.
Die Lebensdauer von Windmühlen wird sehr häufig mit 20 Jahren angegeben. Der Windenergieverband spricht von einem zunehmenden Reperaturbedarf im 2. Jahrzehnt. Es mag sein, dass man eine Windmühle mit entsprechenden Reperaturen länger betreiben kann. Allerdings stellt sich dann die Frage der „Wirtschaftlichkeit“ abseits des Subventionsregimes.
Vandale
.
Nur gibt es kein einziges AKW, das jemals die 60 und mehr Jahre erreicht hat, so der Sachstand am 24.12.2024.
#62: Wolfgang Krab:
„Es ist nicht gerade selten in unseren Breitengraden, dass über gesamt DE in einer Folge von 20 Tagen der Wind schläft und die Sonne nicht durch die dichte Wolkendecke dringt“
Das heißt über ganz Deutschland herrschen 20 Tage lang dieselben Druck- und Temperaturverhältnisse und das stellt sich nach 10 Tagen Wind- und Sonnenwetter zur „Speicherfüllung“ mehrfach im Jahr ein. Bis heute warte ich darauf, dass endlich mal jemand diese kühne Behauptung beweist, Zahlen dafür dürfte es ja mehr als genügend geben.
Gruß Holger Burowski
#67: Herr Glatting
„ich hatte aufgrund des Masseverhältnisses von Kohle zu Uran beim Energieinhalt den Bergbau zur Urangewinnung ausgeblendet. Da wir aktuell keinen Uranbergbau zur Versorgung Deutschlands mit Energie haben, werde ich das auch weiterhin tun. Wo aktuell auch immer das Uran für deutsche Reaktoren her kommt, mache ich mir auch keine Gedanken. Das ist einfach nur ein Metall, das auf dem Weltmarkt angeboten wird.“
So kann man das auch sehen, Neodym kommt irgendwo vor, aber bei uns nicht und wird aber auf dem Weltmarkt angeboten.
„Des Weiteren reden wir von kommerzieller Kerntechnik “westlicher Prägung“.“
Also ich halte die Druckwasserreaktoren, die in der DDR verwendet wurden, weder für besser noch für schlechter, als die, die zur gleichen Zeit mit „westlicher Prägung“ hergestellt wurden. Ich halte auch die Ausbildung der Bedienmannschaften weder für schlechter noch für besser.
Desweiteren ist es uninteressant, wo man Uran abbaut, auch bei „westlicher Prägung“ müssen für 1 Kilogramm Uran, 1000 Kilogramm Gestein zutage gefördert und irgendwo abgelagern.
Gruß Holger Burowski
#61:Her Mühsam:
„Ich möchte Sie mal kurz auf Regel Nr. 4 des Forums hinweisen, damit Sie etwas in Ihrer Dreistigkeit gedämpft werden.
Ich weiß ja nicht, was Kollege Hartung Ihnen Schlimmes angetan hat, aber SO eine „Argumentationsweise“ muß nicht sein!
Herr Hartung meinte unter dem Kostenaspekt sicher dieses:
http://tinyurl.com/ceummlt“
Das mit der Regel 4 sehe ich anders. Ich habe keine Ahnung von Architektur, trotzdem erlaube ich ich mir eine Meinung zu Bauwerken zu haben. Wenn man davon ausgeht, dass Einstein der letzte Universalgelehrte war, dürften wir also nur noch selektiv zu unseren Fachgebieten (Beruf, semiprofessionelle Hobbies) eine Meinung haben und zum Rest keine. Ein Herr Pfarrer darf sich, genauso wie der Oberstudienrat, der Mediziner oder Lieschen Müller, eine Meinung zur Kernenergie bilden, unabhängig davon, dass ein Physiker sicher eine noch andere und wesentlich fundiertere hat. Es ist ein „Nachteil“ der Demokratie, dass sich jeder eine Meinung zu jedem Thema bilden darf und kann, unabhängig davon, was für ein Bildungsstand er/sie hat bzw. wie die Meinungsbildung erfolgte. Diesen „Nachteil“ können Sie nur durch eine Technokratiediktatur beseitigen. Insofern halte ich eine Herangehensweise, wie von Herrn Hartung erläutert, dass sich nur der eine Meinung über Kernenergie haben darf, die abweichend von seiner ist, wer vorher eine Physikprüfung abgelegt hat, für antidemokratisch.
„Und wenn Sie dann mit „Solarakkus“ unbekannter max. Ladezyklenanzahl aus dem Baumarkt kommen, ist das ein Äpfel-Birnen-Vergleich.“
1000 Ladezyklen. Da Sie ja rein rechnerisch keine Gegenargumente mehr finden, mäkeln Sie also am Hersteller rum, nennen Sie sowas inhaltliche Diskussionsführung? Ein Äpfel-Birnen-Vergleich ist es insofern, dass es Unfug ist, Akkus, die speziell für Autos konzipiert sind, in Solaranlagen einzusetzen
Gruß Holger Burowski
#84:Herr Heinzow
„Was ist denn nun teurer: Eigenkapital oder Fremdkapital?“
Das fragen Sie als Ökonom? Auf jeden Fall Fremdkapital – denn als Eigentümer einer Immobilie will das Grundbuchamt für einen Eintrag in der Abteilung 3 des Grundbuches einen Obolus haben und den Eintrag wiederum will der Fremdfinanzierer haben, damit er ganz sicher sein Geld wiederbekommt ;-).
Wenn Sie natürlich Ihr Eigenkapital zu einem höhren Zinssatz anlegen können, als der Fremdfinanzierer für seine Finanzierung haben will, ist es überlegenswert, sein Eigenkapital nicht zu nutzen. Des weiteren spielen unzählige steuerliche Aspekte eine Rolle, sodass eine allgemeine Aussage kaum möglich ist. Aber Sie werden sicher die geniale Lösung haben, auf die die Welt schon lange wartet?
„Lebensdauer meines letzten Bleiakkus 10 Jahre. Nur im Betrieb mit ner Solarzelle zur Fahrenergiebereitstellung hätte der nicht so lange durchgehalten. Warum wohl?“
Wozu wollen Sie den Akku eines Nicht-E-Autos an eine Solarzelle hängen? Welcher „Fahrenergie“ stellt der Akku bei einen Nicht-E-Auto denn zur Verfügung? In der Regel dürften der Akku in einem Auto den Ladezustand „voll“ haben, sonst würde er kaum 10 Jahre halten.
Gruß Holger Burowski
@ Herr Trummler #59
Zitat:
„Lebensdauer 20 vs. 60 Jahre“
Was vergleichen Sie denn da. Den Tag, bis zu dem der Generator* ausgewechselt/erneuert werden muss? Warum hält denn der Generator in einem KKW 3mal so lang?
*) ‚Generator‘ kann durch jedes andere Betriebsmittel ersetzt werden (z.B. Trafo)
„Der Hauptpunkt ist das die Energiedichte von Wind und Sonne auf diesem Planeten einfach unzureichend ist für eine moderne Energieerzeugung.“
‚Unzureichend‘, ist wohl ihre eigene religiöse Meinung?
„Dafür muss man im Falle (umweltschädlicher) Windmühlen sehr viele seltenen Erden, Kupfer, Eisen, Nickel, Chrom, ausgraben.“
Adjektivitis? Dann erzählen Sie uns doch mal, wie Sie eine Stromerzeugung ohne Kupfer und Eisen aufbauen wollen. Über seltene Erden hatten wir auch schon lang und breit geredet. Aber in einer Anti-WKA-Religion muss man das anscheinend mantramäßig immer wiederholen.
@#75: Horst Trummler,
Hallo Herr Trummler,
ich sehe mich zwar nicht als die Verkörperung (Inkarnation) des Problems der deutschen Kerntechnik ;-), aber ich weiß schon was Sie meinen. Und ich gebe ihnen Recht.
Technik, Kommerz und politische Verantwortung liegen in Deutschland in unterschiedlichen Händen, die nicht zusammen sondern gegeneinander arbeiten.
Wenn ich mir die Kommentarbereiche einiger Online Medien so anschaue, wo dem Ökosozialismus der Wind ins Gesicht bläst und darüber hinaus bedenke, dass der € vor dem aus steht und eine 1,2*10^15 $ Derivateblase zu platzen droht, stehen uns Zeiten ins Haus, die nur mit Kriegen zu vergleichen sind bei denen die Häuser stehen bleiben.
Wo die politische Entwicklung in den Zeiten des Hungers hinführen wird, kann ich nicht sagen. Bin ja kein Astrologe. Aber wir leben in spannenden Zeiten und mit jedem Vogelschreder und mit jeder Strompreiserhöhung wird mehr Menschen klar, dass es das nicht sein kann.
Und mit der Wirtschaftlichkeit der neuen KKW bleibe ich optimistisch. Nach 30 Jahren sind die auch abgeschrieben und werden dann so lange Strom liefern bis das Gebäude morsch ist. Und das kann dauern.
Noch zu den Dämmstoffen. Das scheinen handelsübliche Mineralwollen zu sein. Die üblichen Firmen, die man auch in anderen Branchen sieht machen dies auch hier.
Aus Harrisburg hat man jedoch zwei Lehren gezogen.
Die Dämmmaterialien werden in Kissen abgesteppt, auf das sie nicht die Sumpfpumpen beim Kühlmittelverlustfall schädigen können sondern in den Sieben hängen bleiben.
Die Abdeckbleche werden aus Aluminium hergestellt, da das Borsäurehaltige Primärkreismedium mit dem Zink reagiert und sich H2 bildet. Daher sind auch Gitterroste nicht aus verzinktem Stahl sondern aus Austenit hergestellt.
Wie gesagt, am Geld klemmt es nicht.
Grüße
@ H. Burowski
„5 bis 25 Euro/Monat, wenn nichts fremdfinanziert ist“
Was ist denn nun teurer: Eigenkapital oder Fremdkapital?
Lebensdauer meines letzten Bleiakkus 10 Jahre. Nur im Betrieb mit ner Solarzelle zur Fahrenergiebereitstellung hätte der nicht so lange durchgehalten. Warum wohl?
#59: herr Trummler:
„Der Hauptpunkt ist das die Energiedichte von Wind und Sonne auf diesem Planeten einfach unzureichend ist für eine moderne Energieerzeugung. Dadurch ergeben sich neben den hohen Kosten (dabei ist nicht berücksichtigt dass der Strom aus Wind und Sonne weitgehend wertlos ist), enorme Umweltschäden und grosse Gefahren. Bitte bedenken Sie dass es ca. 10 Millionen Solardächer von 5 KW peak bedarf um ein Kernkraftwerksblock zu ersetzen (Lebensdauer 20 vs. 60 Jahre, Nutzung 8% vs. 92% der Nennleistung).
Der Urantagebau von Ronneberg hat etwa 100000to Uran ergeben. Dies ergibt etwa 5.000.000 GWh Strom in Leichtwasserkraftwerken ohne Wiederaufbereitung. In Schnellen Brütern ergäbe dies 1.000.000.000GWh Strom. Dafür muss man im Falle umweltschädlicher Windmühlen sehr viele seltenen Erden, Kupfer, Eisen, Nickel, Chrom, ausgraben. Ich hatte im Falle der umweltschädlichen Windmühlen ein Gesamtverhältnis der Materialmengen, AP1000 zu 2 MW Windmühlen von 34:1 errechnet. Sehr wahrscheinlich bedarf es mehr Energie Wind- und Solarstrom zu erzeugen als diese sinnvoll an Strom erzeugen.
Sie sprachen davon dass die meisten Unfälle bei den umweltschädlichen Solarzellen und Windmühlen aus Unachtsamkeit geschehen. Dies ist auch bei anderen Energieerzeugungsarten so. Dennoch zählt man dies zu den Unfällen.
Meine persönliche Schätzung liegt bei etwa 5 – 10 Unfällen pro Monat, Wind und Solar in Deutschland. Der nutzbar erzeugte Strom ist gering. Insofern ist ein nicht nachgerüsteter RBMK Reaktor sehr sicher im Vergleich zu Windmühlen und Solarzellen.“
Ronneburg: Zusätzlich kommt noch hinzu, dass man eine Tonne Gestein abbauen muss, um 1 Kilogramm Uran zu erhalten, also sind in Ronneburg 100.000.000 Tonnen Gestein abgebaut wurden. Auch Ihre Energiedichterechnung hinkt gewaltig. Die im Reaktor herrschende Energiedichte ist eine künstlich erzeugte, genauso gut können Sie die Energiedichte mit einer Linse vor dem PV-Modul steigern. Wenn Sie schon unbedingt Energiedichten vergleichen wollen, die in der Natur vorkommen, dann sollten Sie auch die Energiedichte des in der Natur vorkommenden Uranerzes als Vergleich nehmen.
Ihre Unfallschätzung halte ich für viel zu hoch, zudem können Sie absolute Wahrscheinlichkeiten nur vergleichen, wenn Sie die gleiche Anzahl von Objekten haben. Gäbe es Deutschland soviele Autos, wie Reaktoren, gäbe es mit sicherheit keine tödlichen Verkehrsunfälle. Oder anders ausgedrückt – abolute Wahrscheinlichkeiten dürfen nur bei gleicher Anzahl von Objekten verglichen werden, anderenfalls müssen sie mit relativen Wahrscheinlichkeiten arbeiten. lernt ,man alles bis zur 10. Klasse.
Gruß Holger Burowski
#59: Herr Trummler
„Das Ihrerseits erwähnte Angebot betrifft stationäre Batterien.“
Natürlich, die PV-Anlage soll ja auch stationär betrieben werden.
„Die Autobatterien müssen wohl etwas besser gegen Erschütterungen und Unfall geschützt werden. Es bedarf eines Reglers und eines Wechselrichters so dass man am Ende je nach Quelle, z.B. Bosch Vorstand 750 €/kWh, andere Quelle 1000$/kWh kommt.
Haben Sie den Regler hinzuaddiert? Wie sieht es mit dem Wechselrichter aus? Ist die Installation und der Raum inkludiert? 1m2 im Eigenheim kostet 1000 € (Osten) – 6000 € (München). Haben Sie den Platz eingerechnet?“
Einen Speicher aus Autobatterien mit einer PV Anlage zu kombinieren, ist Unfug, da an Autobatterien ganz andere Anforderungen gestellt werden. Deshalb gibt es ja spezielle Akkus für jede Anwendung. Laderegler für eine PV-Anlage mit 5kW-Peakleistung sind für 800 – 900Euro möglich, der Wechselrichter muss maximal für 100 Watt je 1KW Peakleistung ausgelegt sein; weil 1kW Peak pro Jahr soviel Energie erzeugt, dass man von 100Watt Dauerleistung ausgehen kann, wenn alles gespeichert wird.
Preis Wohnfläche: 5 bis 25 Euro/Monat, wenn nichts fremdfinanziert ist, alles andere setzt schon ein paar mehr Infos voraus.
Gruß Holger Burowski
Kommentar 79 Herr Glatting
Danke für die Information…
Darf ich fragen welche Isolationsmaterialien zum Einsatz kommen?
Viele Grüsse
Vandale
#76: Horst Trummler
„Ein Reaktorgebäude steht in D unter Unterdruck. Die Atmosphäre ist auf einen Restsauerstoffwert von 5% eingestellt. “
5% Sauerstoff sind bereits tödlich.
Offenkundig hat es bei Ihnen noch nicht gehagelt und daher tragen Sie noch immer Ihr Brett vor dem Kopf.
Ihre Dummfragen beantworte ich wegen ihres zu hohen Schwachsinnsgehaltes (83 Vol. Prozent) nicht.
@#76: Horst Trummler,
bei den SWR Anlagen ist die Kugel im Betrieb mit Stickstoff gefüllt. Das Containment von DWR Anlagen ist im Betrieb normalerweise begehbar.
Alle Komponenten der Primärseitigen sowie der Sekundärseitigen Systeme (Speisewasser und Frischdampf) sind isoliert. Selbst bei den Halterungen ist man um geringen Wärmeübertrag bemüht. Systeme die häufig Wiederkehrend geprüft werden und/oder hoher Dosisleitung ausgesetzt sind, wurden und werden ggf. mit schnell montierbaren Isolationskassetten versehen.
Das Problem der Wärmeabfuhr existiert also nicht.
Grüße
@ W. Krab
„Und, wie schon gesagt, die Räumung geht ja relativ schnell.“
Das ist Unfug, denn das nötige Bergungsequipment steht gar nicht zur Verfügung. Deutschland war noch nicht einmal in der Lage die Pallas zu bergen. Bereits beim zusammenstoß zweier Fähren auf der Trave gab es Koordinierungsschwierigkeiten.
„Die einschlägigen Speditionen stehen in den großen Häfen mit „Kratzfuß“ vor der Tür.“ Keine Spedition hält die notwendigen Kapazitäten vor, denn wer das täte, wäre sehr schnell insolvent.
„**zitat –„ Na dann viel Spaß beim Sprengen und Wegräumen eines chinesischen Contaierschiffs “-tatiz**
Warum? Meinen Sie, dass chinesische Schiffe unter besonderem internationalen Artenschutz stehen, oder aus besonders widerständigem Stahl gebaut sind?
So etwas (das Wegräumen) geht heutzutage ggf. ruckzuck,“
Wenn das Deutschland täte, würden die Chinesen Hamburg und Deutschland nie wieder ansteuern. Bremerhaven hat die Chinesen an Hamburg verloren, weil jemand aus der Hafenbürokratie ein chinesisches Schiff von der vertraglich zugesicherten Pier wegen eines Kreuzliners gegen den Willen des Kapitäns hat woanders hin hat verholen lassen.
„Och wissen Sie, vor Gott und auf See gelten ganz andere Zeitbegriffe.“
Das war einmal. Aber träumen Sie ruhig weiter von der glorreichen Vergangenheit, wo Zeit angeblich keine Rolle spielte. Selbst Hilgendorf hat mit der Potosi durch Optimierung seiner Segelrouten mit Hilfe der Seewarte die Rentabilität der Flying-P-Liner gerade noch so erhalten.
Kommentar 64 A. Marie
Ich hatte Sie im März mehrfach um eine Antwort gebeten und nie eine solche erhalten. Bevor ich auf weitere Kommentare Ihrerseits antworte bitte ich zunächst um die Beantwortung der offenstehenden Frage.
Vandale
Fr. A. Marie:
Ich würde mich freuen wenn Sie den ökologischen Strahlenschutz erläutern könnten. Dies ist sicherlich interessant als alle Deutschsprachigen Massenmedien deren „Erkenntnisse“ für Ihre Berichterstattung nutzen.
Welche Hauptakteure, Rof. Lengfelder, Pflugbeil sind aktiv, in welchem Verband sind diese organisiert. Wie finanziert sich die ökologische Strahlenforschung?
Gibt es irgendwelche innerhalb der Oekologie anerkannten Erkenntnisse?
Welche Verbindungen gibt es zwischen den „Oekostrahlenforschern“ und den Oekoaktivisten in den Ausichtsbehörden, z.B. zu Wolfram K, Michael S.
Gibt es derartige Oekostrahlenforscher auch ausserhalb des deutschsprachigen Raums, ich kenne niemanden?
Vandale
Kommentar 65 Herr Glatting
Was ich Sie fragen wollte ist…
Ein Reaktorgebäude steht in D unter Unterdruck. Die Atmosphäre ist auf einen Restsauerstoffwert von 5% eingestellt.
Andererseits sind die Komponenten des Primärkreislaufs nicht wärmeisoliert. Reaktorbehälter und Dampferzeuger strahlen bei einer Temperatur von gut 300°C sehr viel Wärme ab.
Wie führen Sie dieses Wärme aus dem Gebäude ab?
Vandale
Kommentar 65 Glatting
Ich meine Sie verkörpern das Problem der Kernenergie in Deutschland.
Sie und die Kernenergiegemeinde in Deutschland haben die Kritik der Gegner als Sachkritik aufgenommen. Man hat viele teure technische Features realisiert um dieser Kritik technisch den Wind aus den Segeln zu nehmen. Allerdings haben diese Features kommunikativ eher den Eindruck verstärkt das die Kernenergie eine Risikotechnologie ist. Man hat die Probleme auf Wunsch der Gegner offen benannt, anstatt analog von Wind- und Solarenergie einfach keine Fakten zu Risiken und Giftmüll zu veröffentlichen. .
Am Ende ist heute ein neues KKW nur mehr unter idealen Bedingungen wirtschaftlich womit diese Technik in Europa in dieser Form weitgehend aus dem Rennen ist.
Dabei haben Sie vollkommen den religiösen Charakter der Kritik verkannt. Ein KKW könnte alle Krebsfälle im 30Km Umkreis heilen und würde dennoch verurteilt.
Ich hatte hierzu einen Artikel „Kommunikation“ geschrieben den EIKE nicht veröffentlicht hat.
Besser wäre es das Sicherheitsniveau auf dem Stand anderer Verfahren der Energieerzeugung zu halten und freie Mittel eher in eine Kommunikation…Kernenergie…Zukunft…Wohlstand zu stecken.
Vandale
@ Thomas Heinzow #73
Ich will hier kein neues Fass aufmachen, daher nur kurze Antwort auf Ihre Einwände.
**zitat –„ Das ist richtig, aber es fehlen die Transportkapazitäten. Die hält nämlich niemand vor. Und natürlich fehlen die Anlandungskapazitäten. “-tatiz**
Wie heißt es doch so schön?: ‚Wo ein Wille, da ein Gebüsch‘
Sie werden lachen, aber den Empfängern ist es auch schnurz, welche Spedition die Transporte durchführt. Da brauch es keine großartigen Vorhaltungen. Die einschlägigen Speditionen stehen in den großen Häfen mit „Kratzfuß“ vor der Tür.
**zitat –„ Na dann viel Spaß beim Sprengen und Wegräumen eines chinesischen Contaierschiffs “-tatiz**
Warum? Meinen Sie, dass chinesische Schiffe unter besonderem internationalen Artenschutz stehen, oder aus besonders widerständigem Stahl gebaut sind?
So etwas (das Wegräumen) geht heutzutage ggf. ruckzuck,
**zitat –„ Vor der Weser lag mal ein russisches Wrack, auf das die Maasdamm rauffuhr und havarierte.“-tatiz**
Oh Mann, das war Anfang 1963, zu einer Zeit, als die Spatzen noch Gamaschen trugen. Das war auf dem internationalen seinerzeitigen sog. Zwangsweg (-Relikt aus dem WKII minengeräumt) vor Wangerooge.
**zitat –„ Es hat lange gedauert, bis das Wrack beseitigt werden konnte.“-tatiz**
Das lag daran, dass das Wrack außerhalb der 3 Meilen-Zone lag und somit nicht mehr unter das sog. Strandrecht bzw. die sog. Strandordnung fiel. Inzwischen gilt auch hier rechtliche Erweiterung des Staatsgebietes auf 12 sm. Das bedeutet im Ernstfall sofortige Räumung zu Lasten des Schiffseigners.
**zitat –„ Keine Reederei kann es sich auf Dauer leisten auch nur 1 Tide Verzug zu haben. “-tatiz**
Och wissen Sie, vor Gott und auf See gelten ganz andere Zeitbegriffe.
Und von Bremerhaven, Wilhelmshaven oder Rotterdam nach China ist der Weg sogar etwas kürzer als von Hamburg.
Und, wie schon gesagt, die Räumung geht ja relativ schnell.
@ W. Krab #70
„Den Empfängern ist es auch schnurz, auf welcher Straße die Ware zu ihnen gelangt.“
Das ist richtig, aber es fehlen die Transportkapazitäten. Die hält nämlich niemand vor. Und natürlich fehlen die Anlandungskapazitäten.
„Abgesehen davon, dass die Fahrrinne der Elbe innerhalb weniger Tage wieder frei sein würde“
Na dann viel Spaß beim Sprengen und Wegräumen eines chinesischen Contaierschiffs. Vor der Weser lag mal ein russisches Wrack, auf das die Maasdamm rauffuhr und havarierte. Es hat lange gedauert, bis das Wrack beseitigt werden konnte.
„Die Fahrpläne für diese großen Container-Eimer sind da ausreichend flexibel“
Das sind sie nicht. Keine Reederei kann es sich auf Dauer leisten auch nur 1 Tide Verzug zu haben.
#39: Johannes Hartung, Irrtum!
Lithiumzellen sind die derzeit ökonomischeste chemische Stromspeicherung, an Umwandlungsverlusten und Dauerhaftigkeit, da kann ansonst keine andere Batterietechnologie mithalten.
In Zukunft wird es nur den aperiodischen Strom, gespeichert in Akklumulatoren, zum Fahren geben.
Erdöl und andere fossile Brennstoffe werden der Vergangenheit gehören.
Daher ist es ein Versäumnis, solche Batterien, nach dem Stand der Technik, NICHT in Europa zu produzieren.
Auch für kleinere Stationäranlagen ist dieser Akku die Wahl. Neuere Entwicklöungen versprechen Serienprodukte, womit Autos biszu 800km mittels einer Ladung fahren können (ENVIA)
Die hier erhältlichen Akkus sind deswegen zu teuer, weil sie aus CHina importiert werden müssen, aber Envia hat die 400Wh/kg Zelle schon entwickelt und sie kostet 180$/kWh.
Lithium ist deswegen so ökonomisch, da eslediglich für die Beweglichkeit der Ladungsträger (im Promillebereich) nötig ist, das andere besteht aus Kohle, Alu und Plastik und wird auf M;aschinen gewickelt, wie zB. gewöhnliche Kondensatoren auch.
Einmalnach Envia googeln!
@#64: A. Marie
Der war gut!
Werden Sie damit bei Harald Schmidt auftreten? 😉
@ Thomas Heinzow #49
Sorry Herr Heinzow, wenn ich aus diesem Ballon die Luft raus lasse.
**zitat –„Was meinen Sie wohl, was mit der Wirtschaft in Hamburg und den davon abhängigen Ländern und Bundesländern passieren würde, würde in der Elbe ein Containerschiff havarieren und die Fahrrinne blockieren?“-tatiz**
Nichts wird passieren, zumindest nichts was irgendwie zur Sorge Anlass geben könnte.
Den Handelskontoren ist es völlig gleichgültig ob die eingehenden oder ausgehenden Waren über Hamburg, Bremerhaven, Wilhelmshaven, Rotterdam oder Antwerpen gelöscht oder geladen werden. Den Empfängern ist es auch schnurz, auf welcher Straße die Ware zu ihnen gelangt.
Abgesehen davon, dass die Fahrrinne der Elbe innerhalb weniger Tage wieder frei sein würde (oftmals praktiziert und daher erprobt) ist die zeitliche Verzögerung für die bei einer solchen Havarie im Hamburger Hafen festliegenden Schiffe keineswegs uneinbringbar. Die Fahrpläne für diese großen Container-Eimer sind da ausreichend flexibel. Und Jan Maat hätte sicherlich nichts gegen ein paar freie Tage in Hamburg.
Nix für ungut und schöne Pfingsten
Es ist wieder da, das grüne, pöbelnde Funkenmariechen. Kaum, dass man es sieht, keift es wieder rum und bezichtigt andere Mitblogger, ein Brett vor dem Kopf zu haben:
…Klar, das Wetter kann auch lebensgefährlich sein, wenn es Hühnereier hagelt. Aber Sie können sich leicht schützen, wenn Sie das Brett vor Ihrem Kopf einfach mal über den Kopf halten!…
Aber wehe, man geht das Grüne selbst an- dann wird gewinselt. Klar- Grüne haben in dieser Bananenrepublik nun mal Sonderrechte…
Was die Rechtschreibung des Mariechens angeht- dafür gibt es Kurse (Volkshochschule). Und die nehmen sogar armselige grüne Funkenmariechen….
@ H. Trummler # 57
Hamburg liegt üblicherweise im Lee von Stade und Brodorf. Man hat damals am MI der Uni Ausbreitungsrechnungen gemacht. Bei entsprechender Schichtung der Atmosphäre und entsprechendem Wind sind 20 km ein Klacks. Konnte ich übrigens vorgestern sehr gut beobachten, als ein Recycling-Lager mit Plastikmüll abbrannte. Nur gut, daß keine Thermik herrschte und der Qualm in der Inversion hängenblieb. Die mehr als 50 km lange Rauchfahne war noch aus 80 km Entfernung zu sehen.
„Die Region um Stuttgart ist wirtschaftlich sehr stark, vielfältig, die Arbeitslosigkeit traditionell niedrig, so dass Arbeitnehmer potentiell schnell andere Arbeitsplätze im Raum Stuttgart finden.“
So ein Blödsinn. Ihre Vorstellungen bzgl. des Arbeitsmarktes und der Kosten der Schaffung weiterer Arbeitsplätze sind absurd. Fragen Sie mal eine Kfz-Werkstatt, was die Einrichtung eines neuen Arbeitsplatzes an Investitionen erfordert.
@52: Holger Burowski,
Hallo Herr Buowski,
ich hatte aufgrund des Masseverhältnisses von Kohle zu Uran beim Energieinhalt den Bergbau zur Urangewinnung ausgeblendet. Da wir aktuell keinen Uranbergbau zur Versorgung Deutschlands mit Energie haben, werde ich das auch weiterhin tun. Wo aktuell auch immer das Uran für deutsche Reaktoren her kommt, mache ich mir auch keine Gedanken. Das ist einfach nur ein Metall, das auf dem Weltmarkt angeboten wird.
Des Weiteren reden wir von kommerzieller Kerntechnik “westlicher Prägung“.
Was kann man in diesem Geschäft für die Umweltsünden der Roten Armee oder deren Stellvertreter in der DDR?
Was immer die Russen zur Versorgung ihrer Reaktoren und zum Bau ihrer Bomben gemacht haben müssen Sie die dafür verantwortlich machen und nicht die Betreiber, Befürworter und sonstige Menschen, die Kerntechnik als Option für die Energieversorgung Deutschlands halten.
Das Russen eine ganz besondere Auffassung zu Themen wie Ordnung und Sauberkeit haben, drückt sich ja in dem Spruch:
“Hier sieht es ja aus, wie bei den Russen“
aus. Ich kannte den Spruch aus meinen Kindertagen. Doch als wir 1988 an einem total versifften Gelände mit Unterkünften in der DDR vorbei gefahren sind, ist genau dieser Spruch meinem Freund entfahren. Daraufhin wurden wir darüber aufgeklärt, dass es sich hierbei um die Wohnanlage der russischen Kaserne handelt.
Seit jener Zeit ist mir die Begrifflichkeit dieses Spruches in mein Gehirn eingebrannt.
Die Art und Weise wie in der deutschen Kerntechnik gearbeitet wird steht diametral zu der russischen Auffassung von Ordnung und Sauberkeit.
Ihr Vergleich ist somit weder zulässig noch zielführend. Beschweren Sie sich bei den ehemaligen Besatzern anstatt sich von deren Gas abhängig zu machen.
Grüße
Mein Kommentar #60 wurde abgeschnitten
(Fehler in der Forensoftware?)
hier noch einmal:
@ #53, H. Burowski:
“
Nur zu Ihrer Info.
Hersteller: Winner-Batterien
Type: SOLAR SMF 230Ah Solarbatterie
Kapazität: 230 Ah
Spannung: 12 Volt
Preis; 244,90 Euro + Versand“
——
Sie haben noch eine Kleinigkeit vergessen:
Gewicht: 55 kg
Demnach werden die Elektroautos der neuesten Generation wieder mit Bleiakkumulatoren ausgestattet?
Gruß
B. Keseler
@54: Horst Trummler,
Hallo Herr Trummler,
mit der passiven Kühlung des Containments habe ich mich eigentlich noch nie so richtig beschäftigt. Wie das bei den KWU/Areva Anlagen angedacht ist weiß ich im Moment nicht. Ich könnte mich aber bei Gelegenheit schlau machen. Bei den Westinghouse Anlagen habe ich schon Illustrationen mit Beregnungen des Containments gesehen.
Aber der Aufwand ein Containment zu beregnen halte ich für deutlich größer als mit, notfalls mobilen Pumpen, direkt Wasser über das Notspeisesystem in die Dampfererzeuger einzuspeisen.
Das nicht Entlasten müssen kommt aus der Berechnung, dass sämtliches Primärkreiswasser als Dampf bei ca. 150 °C vorliegen könnte und damit immer noch nicht der zulässige Containmentdruck erreicht wäre.
Zu versuchen das Contaiment zu verkleinern, wäre kann im anbetracht der anderen Erfordernisse nicht der richtige Weg sein. Alleine schon die KTA Forderungen hinsichtlich
Fertigungsgerecht und
Prüfgerecht
bedingen vernünftige Zugänge zu den Komponenten. Wenn an mehreren Komponenten gleichzeitig gearbeitet werden kann ergibt darüber hinaus eine deutliche Zeitersparnis. Es wäre alleine schon mal ein Fortschritt wenn die Laien unter den Kommentatoren sowie Pressefuzzies mal realisieren würden, dass in deutschen Kernkraftwerken die Abgabe größerer Mengen dämonischer Partikel nur eine Phantasievorstellung ist.
Es war bisher für jede Sicherheitsmaßnahme Geld da. Warum sollte man jetzt mit der Größen des Containments anfangen zu sparen. Absolut der falsche Platz.
Die Frage mit dem Unterdruck während des Betriebs ist leider nicht vollständig angekommen. Das dient zur Sicherstellung, dass alles was entweicht über den Kamin geht und somit erfasst werden kann.
Grüße